×
Close
Sign Up
Login
Home
SCI Abstract
Library D
Events & Partner
WeMed
MDLA Events Platform
Events
Media Partners
Educational Partner
User Tools
FAQ/USER GUIDE
Language
English
中文/ Chinese
French
Português
Español
Arabic
Russian
Contact Us
×
Close
mdla_1
mdla_2
mdla_3
mdla_4
mdla_5
mdla_6
Categories
Oncology
52506
Global Medical University
5141
Allergy
1792
Anatomy & Morphology
1584
Andrology
379
Anesthesia & Intensive Care
1300
Anesthesiology
5399
Audiology & Speech-Language Pathology
347
Behavioral Sciences
105
Biochemical Research Methods
7243
Biochemistry & Molecular Biology
30077
Biodiversity Conservation
330
Biology
8515
Biophysics
8292
Biotechnology & Applied Microbiology
8662
Cardiac & Cardiovascular Systems
31125
Cardiovascular & Respiratory Systems
1413
Cell & Tissue Engineering
704
Cell Biology
11182
Chemistry, Analytical
4301
Chemistry, Applied
10948
Chemistry, Medicinal
8755
Chemistry, Multidisciplinary
18521
Clinical Immunology & Infectious Disease
423
Clinical Medicine
8962
Clinical Neurology
16636
Clinical Psychology & Psychiatry
1294
Critical Care Medicine
3163
Dentistry, Oral Surgery & Medicine
13544
Dermatology
7485
Developmental Biology
6954
Ecology
633
Education, Scientific Disciplines
2050
Emergency Medicine
4117
Endocrinology, Metabolism & Nutrition
24622
Engineering, Biomedical
3729
Entomology
489
Environmental Medicine & Public Health
4669
Evolutionary Biology
276
Gastroenterology & Hepatology
12236
General & Internal Medicine
7013
Genetics & Heredity
15196
Geriatrics & Gerontology
5075
Gerontology
382
Health Care Sciences & Services
16165
Health Policy & Services
604
Hematology
5578
Immunology
24850
Infectious Diseases
14017
Integrative & Complementary Medicine
2943
Medical Ethics
1239
Medical Informatics
2232
Medical Laboratory Technology
419
Medicine, General & Internal
44379
Medicine, Legal
532
Medicine, Research & Experimental
17792
Microbiology
23387
Mycology
0
Nanoscience & Nanotechnology
5388
Neuroimaging
1365
Neurology
4562
Neurosciences
39861
Nursing
9787
Nutrition & Dietetics
7849
Obstetrics & Gynecology
8277
Ophthalmology
9749
Optics
4279
Orthopedics
11803
Orthopedics, Rehabilitation & Sports Medicine
1828
Otolaryngology
1583
Otorhinolaryngology
4894
Parasitology
1167
Pathology
5148
Pediatrics
21618
Peripheral Vascular Disease
4767
Pharmacology & Pharmacy
35500
Pharmacology/Toxicology
12212
Physiology
8922
Polymer Science
542
Primary Health Care
837
Psychiatry
19132
Psychology
5240
Psychology, Applied
111
Psychology, Biological
390
Psychology, Clinical
811
Psychology, Developmental
273
Psychology, Educational
164
Psychology, Experimental
171
Psychology, Mathematical
0
Psychology, Multidisciplinary
1694
Psychology, Psychoanalysis
30
Psychology, Social
131
Public Health & Health Care Science
2225
Public, Environmental & Occupational Health
27291
Quantum Science & Technology
0
Radiology, Nuclear Medicine & Imaging
12500
Radiology, Nuclear Medicine & Medical Imaging
8264
Rehabilitation
3074
Remote Sensing
0
Reproductive Biology
2872
Reproductive Medicine
1212
Research/Laboratory Medicine & Medical Technology
4029
Respiratory System
7421
Rheumatology
6029
Social Sciences, Biomedical
1178
Substance Abuse
2771
Surgery
33948
Toxicology
4445
Transplantation
938
Tropical Medicine
300
Urology & Nephrology
12890
Veterinary Sciences
35
Virology
2551
Zoology
0
Channels
MEMO-MAGAZINE OF EUROPEAN MEDICAL ONCOLOGY
241
Pathology Society Understanding disease
52
Asian Journal of Oncology
57
Medrxiv - Oncology
840
AMERICAN JOURNAL OF CLINICAL ONCOLOGY-CANCER CLINICAL TRIALS
217
BONE MARROW TRANSPLANTATION
778
BREAST CANCER RESEARCH
303
BREAST CANCER RESEARCH AND TREATMENT
736
BRITISH JOURNAL OF CANCER
1008
CA-A CANCER JOURNAL FOR CLINICIANS
24
CANCER
419
CANCER AND METASTASIS REVIEWS
221
CANCER CELL INTERNATIONAL
906
CANCER DISCOVERY
156
CANCER MEDICINE
456
CANCER PREVENTION RESEARCH
62
CANCER RESEARCH
277
CANCER RESEARCH AND TREATMENT
20
CANCER SCIENCE
237
CANCERS
4428
CLINICAL CANCER RESEARCH
292
CLINICAL EPIGENETICS
439
CURRENT ONCOLOGY REPORTS
425
CURRENT OPINION IN ONCOLOGY
227
CURRENT TREATMENT OPTIONS IN ONCOLOGY
325
EXPERIMENTAL CELL RESEARCH
799
HEMATOLOGICAL ONCOLOGY
152
INTERNATIONAL JOURNAL OF CANCER
292
JOURNAL FOR IMMUNOTHERAPY OF CANCER
1358
JOURNAL OF CANCER
20
JOURNAL OF CANCER RESEARCH AND CLINICAL ONCOLOGY
978
JOURNAL OF CLINICAL ONCOLOGY
966
JOURNAL OF EXPERIMENTAL & CLINICAL CANCER RESEARCH
777
JOURNAL OF HEMATOLOGY & ONCOLOGY
384
JOURNAL OF NEURO-ONCOLOGY
734
JOURNAL OF PATHOLOGY
39
JOURNAL OF SURGICAL ONCOLOGY
240
LEUKEMIA
757
LIVER CANCER
135
MEDICAL ONCOLOGY
400
MOLECULAR CANCER
472
MOLECULAR CANCER THERAPEUTICS
157
MOLECULAR ONCOLOGY
196
NATURE REVIEWS CANCER
313
NATURE REVIEWS CLINICAL ONCOLOGY
340
NEOPLASIA
294
ONCOGENE
982
ONCOGENESIS
188
ONCOLOGIST
204
ONCOLOGY-NEW YORK
72
ONCOTARGETS AND THERAPY
611
PSYCHO-ONCOLOGY
158
SURGICAL ONCOLOGY-OXFORD
349
THERAPEUTIC ADVANCES IN MEDICAL ONCOLOGY
86
ASIA-PACIFIC JOURNAL OF CLINICAL ONCOLOGY
143
BMC CANCER
1878
CANCER EPIDEMIOLOGY
462
CANCER GENETICS
31
CANCER MANAGEMENT AND RESEARCH
1012
CURRENT ONCOLOGY
803
FRONTIERS IN ONCOLOGY
10028
FUTURE ONCOLOGY
111
GENES CHROMOSOMES & CANCER
50
HEREDITARY CANCER IN CLINICAL PRACTICE
98
INFECTIOUS AGENTS AND CANCER
183
INTEGRATIVE CANCER THERAPIES
69
INTERNATIONAL JOURNAL OF GYNECOLOGICAL CANCER
649
JOURNAL OF BUON
25
JOURNAL OF CANCER RESEARCH AND THERAPEUTICS
294
JOURNAL OF HEPATOCELLULAR CARCINOMA
424
ONCOLOGY
91
ONCOLOGY RESEARCH AND TREATMENT
163
PEDIATRIC BLOOD & CANCER
403
SEMINARS IN ONCOLOGY NURSING
319
TECHNOLOGY IN CANCER RESEARCH & TREATMENT
204
THORACIC CANCER
271
TUMORI J
67
INDIAN JOURNAL OF CANCER
122
JOURNAL OF ONCOLOGY PRACTICE
434
PHOTODIAGNOSIS AND PHOTODYNAMIC THERAPY
965
RADIATION ONCOLOGY
521
WORLD CANCER RESEARCH JOURNAL
137
SOUTH ASIAN JOURNAL OF CANCER
314
BREAST CANCER-BASIC AND CLINICAL RESEARCH
19
CANCER REPORTS
164
CASE REPORTS IN ONCOLOGY
348
CLINICAL CANCER INVESTIGATION JOURNAL
10
CURRENT BREAST CANCER REPORTS
120
CURRENT CANCER THERAPY REVIEWS
16
CURRENT COLORECTAL CANCER REPORTS
28
INDIAN JOURNAL OF SURGICAL ONCOLOGY
552
INTERNATIONAL CANCER CONFERENCE JOURNAL
212
INTERNATIONAL JOURNAL OF SURGERY-ONCOLOGY
18
JMIR CANCER
218
JOURNAL OF GASTROINTESTINAL CANCER
408
JOURNAL OF KIDNEY CANCER AND VHL
94
JOURNAL OF THE EGYPTIAN NATIONAL CANCER INSTITUTE
138
RARE TUMORS
23
REHABILITATION ONCOLOGY
107
MIDDLE EAST JOURNAL OF CANCER
200
NATURE CANCER
438
ONCOLOGY AND THERAPY
156
ONCOLOGY REVIEWS
36
ONKOLOGIJA
39
HORMONES & CANCER / DISCOVER ONCOLOGY
235
FAMILIAL CANCER
180
INTERNATIONAL JOURNAL OF CLINICAL ONCOLOGY
539
JOURNAL OF MAMMARY GLAND BIOLOGY AND NEOPLASIA
99
MEDICAL ONCOLOGY
379
PATHOLOGY & ONCOLOGY RESEARCH
21
PSYCHO-ONCOLOGIE
20
STRAHLENTHERAPIE UND ONKOLOGIE
410
SUPPORTIVE CARE IN CANCER
1162
TARGETED ONCOLOGY
248
SCI Abstract
search
ALL
RECOMMENDED
+
Biomarkers and treatment updates in renal cell carcinoma
At this year’s ASCO Annual Meeting, researchers presented detailed findings concerning biomarkers and rare subtypes ...
Memo-magazine Of European Medical Oncology
comment
0
thumb_up
0
ASCO highlights: neoadjuvant immunotherapy in mismatch repair deficient colorectal cancer
Despite recent advances in therapy, certain subtypes of colorectal cancer, such as those that are microsatellite instabili...
Memo-magazine Of European Medical Oncology
comment
0
thumb_up
0
Diffuse large B-cell lymphoma of the right upper extremity misdiagnosed as soft tissue infection
Diffuse large B‑cell lymphoma (DLBCL) is the most common subtype of non-Hodgkin lymphoma (NHL). It can originate in ...
Memo-magazine Of European Medical Oncology
comment
0
thumb_up
0
Prognostic tools and risk factors in early-stage CLL—time for a change in treatment paradigm?
Chronic lymphocytic leukemia (CLL) is one of the most common lymphoid malignancies. Due to its biological heterogeneity, t...
Memo-magazine Of European Medical Oncology
comment
0
thumb_up
0
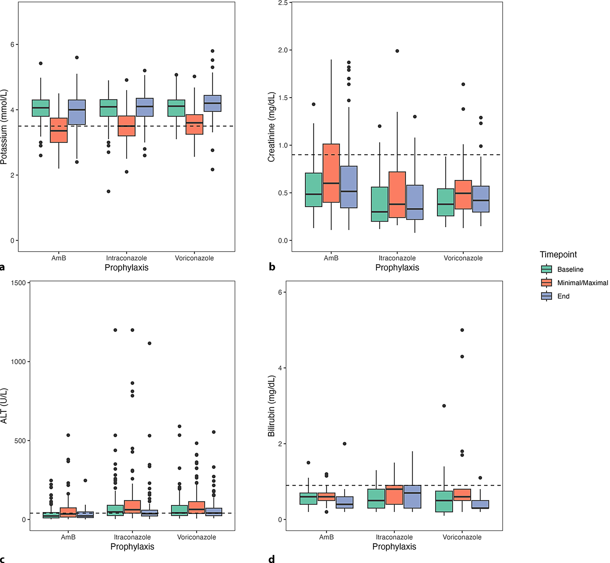
Evaluating antifungal prophylaxis strategies in pediatric acute myeloid leukemia: a retrospective, single-center analysis of amphotericin B, itraconazole, and voriconazole
Invasive fungal disease (IFD) represents a major cause of morbidity and mortality in pediatric patients with acut...
Memo-magazine Of European Medical Oncology
comment
0
thumb_up
0
Cure for multiple myeloma?
Advances in our knowledge of the pathogenesis of multiple myeloma and the resultant development of novel therapies have si...
Memo-magazine Of European Medical Oncology
comment
0
thumb_up
0
EffiXane—Non-interventional study on safety and effectiveness of -paclitaxel (Abraxane®) + gemcitabine as first-line treatment of metastatic PDAC in a daily routine setting
Metastatic adenocarcinoma of the pancreas (PDAC) was one of the most common causes of cancer-associated death in Europe an...
Memo-magazine Of European Medical Oncology
comment
0
thumb_up
0
Too frail or not too frail? Prognosis and treatment options in older CLL patients
Chronic lymphocytic leukemia (CLL) is a disease that primarily affects older patients, with a median age...
Memo-magazine Of European Medical Oncology
comment
0
thumb_up
0
A short review on the current status of PSMA ligands used for PSMA-PET/CT imaging
In recent years, prostate-specific membrane antigen (PSMA)-targeted positron emission tomography/computed tomography (PET/...
Memo-magazine Of European Medical Oncology
comment
0
thumb_up
0
American Society of Hematology (ASH) update 2023—chronic lymphocytic leukemia
In recent years, there has been massive advances in the treatment of chronic lymphocytic leukemia (CLL) from chemoimmunoth...
Memo-magazine Of European Medical Oncology
comment
0
thumb_up
0
Unclassifiable acute leukemia with blastic plasmacytoid dendritic cell neoplasm: deciding on the appropriate therapy
Blastic plasmacytoid dendritic cell neoplasm (BPDCN) is a rare, clinically aggressive tumor derived from the precursors of...
Memo-magazine Of European Medical Oncology
comment
0
thumb_up
0
BACE (Bendamustine, Cytarabine, Cyclophosphamide and Etoposide) conditioning regime for patients with lymphoma undergoing autologous stem cell transplant
Autologous stem cell transplant (ASCT) is a curative treatment for lymphomas. BEAM conditioning (Carmustine, Etoposide, Cy...
Memo-magazine Of European Medical Oncology
comment
0
thumb_up
0
Implantable catheter chambers: a 14-year descriptive study
Implantable catheter chambers are widely used devices during the treatment of cancer whether for taking blood samples or f...
Memo-magazine Of European Medical Oncology
comment
0
thumb_up
0
State-of-the-art therapy and innovative treatment strategies in esophageal squamous cell cancer
Recent advances in the development of new therapeutic agents and the execution of numerous randomized controlled trials ha...
Memo-magazine Of European Medical Oncology
comment
0
thumb_up
0
Impact of the WHO-5 classification of haematolymphoid tumours on clinical practice
The long-awaited 2022 World Health Organization Classification of Haematolymphoid Tumours (WHO-5-HAEM) has finally been pu...
Memo-magazine Of European Medical Oncology
comment
0
thumb_up
0
Pulmonary puzzles: salivary gland-type tumors of the lung and their metastatic equivalents
In the last decade, the understanding of lung neoplasms, particularly rare salivary gland-type tumors (SGT), has deepened ...
Memo-magazine Of European Medical Oncology
comment
0
thumb_up
0
Liquid profiling for patients with advanced cancer is ready for clinical integration
Molecular profiling of circulating tumor DNA (ctDNA) to guide treatment decisions has found its way into routine managemen...
Memo-magazine Of European Medical Oncology
comment
0
thumb_up
0
GATA2 deficiency: a mystery myelodysplasia
GATA2 deficiency, arising from mutations in the GATA2 gene, is a rare genetic disorder with profound implications...
Memo-magazine Of European Medical Oncology
comment
0
thumb_up
0
Novel mutated Dubin–Johnson syndrome diagnosed during acute promyelocytic leukemia treatment
Coexistence of acute promyelocytic leukemia and Dubin–Johnson syndrome (DJS) has not been previously reported in the...
Memo-magazine Of European Medical Oncology
comment
0
thumb_up
0
Importance of allogeneic stem cell transplantation in myelofibrosis
Allogeneic stem cell transplantation (alloSCT) is the only curative treatment option for patients with high-risk myelofibr...
Memo-magazine Of European Medical Oncology
comment
0
thumb_up
0
KRAS (Kirsten rat sarcoma) in modern oncology—The molecular pathological point of view
The Rat sarcoma protein (RAS) was the first proto-oncogene to be discovered and is one of the best researched tumor driver...
Memo-magazine Of European Medical Oncology
comment
0
thumb_up
0
ASCO 2023: highlights in breast cancer
The 2023 annual meeting of the American Society of Clinical Oncology (ASCO) was again held in June 2023 in Chicag...
Memo-magazine Of European Medical Oncology
comment
0
thumb_up
0
Cancer of unknown primary—state of the art
The Cancer of Unknown Primary (CUP) syndrome does not represent a single clinical entity but comprises a diverse group of ...
Memo-magazine Of European Medical Oncology
comment
0
thumb_up
0
Emerging treatment strategies in chronic B-cell malignancies—News from ICML 2023
Implementation of targeted drugs in the treatment landscape of indolent B‑cell malignancies has facilitated long-ter...
Memo-magazine Of European Medical Oncology
comment
0
thumb_up
0
Supportive management
The introduction of checkpoint inhibitor therapy and advances in targeted therapy...
Memo-magazine Of European Medical Oncology
comment
0
thumb_up
0
Prostate cancer special—part 1
Conflict of interest S.F. Shariat declares the following competing interes...
Memo-magazine Of European Medical Oncology
comment
0
thumb_up
0
HER2 in focus—gastric cancer
Conflict of interest A. Ilhan-Mutlu: Participation in advisory boards orga...
Memo-magazine Of European Medical Oncology
comment
0
thumb_up
0
ASCO 2023—partnering with patients: the cornerstone of cancer care and research
For the 2023 annual meeting of the American Society of Clinical Oncology (ASC...
Memo-magazine Of European Medical Oncology
comment
0
thumb_up
0
WNT3 and LEF1 as markers for diagnosis and survival prediction in chronic lymphocytic leukemia patients
The Wnt pathway is aberrantly activated in chronic lymphocytic leukemia (CLL) and contributes to the antiapoptotic and mit...
Memo-magazine Of European Medical Oncology
comment
0
thumb_up
0
A CONGRESS DIGEST ON RADIOLABELED THERANOSTICS FOR SOLID TUMORS. Report from the 36th Annual Congress of the European Association of Nuclear Medicine (EANM), September 9th – 13th, 2023, Vienna
Share this articleAnyone you share the following link with will be able to read this content:Get shareable linkSorry, a sh...
Memo-magazine Of European Medical Oncology
comment
0
thumb_up
0
Load More
Modal title
×
Modal title
×
Share
Login
Global News and Health Forum
Join Now!
Member Login
Remember me
Forgot password?
Or using
Linkedin