×
Close
Sign Up
Login
Home
SCI Abstract
Library D
Events & Partner
WeMed
MDLA Events Platform
Events
Media Partners
Educational Partner
User Tools
FAQ/USER GUIDE
Language
English
中文/ Chinese
French
Português
Español
Arabic
Russian
Contact Us
×
Close
mdla_1
mdla_2
mdla_3
mdla_4
mdla_5
mdla_6
Categories
Psychology, Developmental
273
Global Medical University
5141
Allergy
1792
Anatomy & Morphology
1584
Andrology
379
Anesthesia & Intensive Care
1300
Anesthesiology
5399
Audiology & Speech-Language Pathology
347
Behavioral Sciences
105
Biochemical Research Methods
7248
Biochemistry & Molecular Biology
30077
Biodiversity Conservation
330
Biology
8515
Biophysics
8297
Biotechnology & Applied Microbiology
8663
Cardiac & Cardiovascular Systems
31125
Cardiovascular & Respiratory Systems
1413
Cell & Tissue Engineering
704
Cell Biology
11182
Chemistry, Analytical
4301
Chemistry, Applied
10962
Chemistry, Medicinal
8755
Chemistry, Multidisciplinary
18521
Clinical Immunology & Infectious Disease
423
Clinical Medicine
8963
Clinical Neurology
16636
Clinical Psychology & Psychiatry
1294
Critical Care Medicine
3163
Dentistry, Oral Surgery & Medicine
13544
Dermatology
7485
Developmental Biology
6954
Ecology
633
Education, Scientific Disciplines
2050
Emergency Medicine
4120
Endocrinology, Metabolism & Nutrition
24626
Engineering, Biomedical
3729
Entomology
489
Environmental Medicine & Public Health
4669
Evolutionary Biology
276
Gastroenterology & Hepatology
12247
General & Internal Medicine
6993
Genetics & Heredity
15197
Geriatrics & Gerontology
5075
Gerontology
382
Health Care Sciences & Services
16168
Health Policy & Services
604
Hematology
5578
Immunology
24852
Infectious Diseases
14018
Integrative & Complementary Medicine
2943
Medical Ethics
1239
Medical Informatics
2232
Medical Laboratory Technology
419
Medicine, General & Internal
44379
Medicine, Legal
532
Medicine, Research & Experimental
17793
Microbiology
23388
Mycology
0
Nanoscience & Nanotechnology
5368
Neuroimaging
1366
Neurology
4562
Neurosciences
39862
Nursing
9787
Nutrition & Dietetics
7849
Obstetrics & Gynecology
8278
Oncology
52499
Ophthalmology
9752
Optics
4279
Orthopedics
11803
Orthopedics, Rehabilitation & Sports Medicine
1828
Otolaryngology
1584
Otorhinolaryngology
4894
Parasitology
1167
Pathology
5149
Pediatrics
21618
Peripheral Vascular Disease
4767
Pharmacology & Pharmacy
35501
Pharmacology/Toxicology
12212
Physiology
8922
Polymer Science
542
Primary Health Care
837
Psychiatry
19134
Psychology
5240
Psychology, Applied
111
Psychology, Biological
390
Psychology, Clinical
811
Psychology, Educational
164
Psychology, Experimental
171
Psychology, Mathematical
0
Psychology, Multidisciplinary
1694
Psychology, Psychoanalysis
30
Psychology, Social
131
Public Health & Health Care Science
2225
Public, Environmental & Occupational Health
27292
Quantum Science & Technology
0
Radiology, Nuclear Medicine & Imaging
12500
Radiology, Nuclear Medicine & Medical Imaging
8264
Rehabilitation
3076
Remote Sensing
0
Reproductive Biology
2872
Reproductive Medicine
1212
Research/Laboratory Medicine & Medical Technology
4029
Respiratory System
7421
Rheumatology
6031
Social Sciences, Biomedical
1178
Substance Abuse
2771
Surgery
33928
Toxicology
4445
Transplantation
938
Tropical Medicine
300
Urology & Nephrology
12873
Veterinary Sciences
35
Virology
2554
Zoology
0
Channels
ADOLESCENT RESEARCH REVIEW
82
ADVANCES IN NEURODEVELOPMENTAL DISORDERS
87
JOURNAL OF YOUTH DEVELOPMENT
104
SCI Abstract
search
ALL
RECOMMENDED
+
Considering the Importance of Attachment in Outcomes: The Case of Summer Camp
Abraham, M. M., & Kerns, K. A. (2013). Positive and negative emotions and coping a mediators of ...
Journal Of Youth Development
comment
0
thumb_up
0
Can We Efficiently Help Adults Strengthen their Relational Practice?
Akiva, T., Li, J., Martin, K. M., Horner, C. G., & McNamara, A. R. (2016). Simple interactions: ...
Journal Of Youth Development
comment
0
thumb_up
0
Pupil Voice Groups: The Impact on Schools and Students
Bandura, A. (1986). Social foundations of thought and action: A social cognitive theory. Prentice-Ha...
Journal Of Youth Development
comment
0
thumb_up
0
Ambiguous, Affective, and Arduous: Volunteers’ Invisible Work With Young Adults
Anttonen, A., & Karsio, O. (2017). Marketization from within: Changing governance of care servic...
Journal Of Youth Development
comment
0
thumb_up
0
Utilization of Positive Youth Development Framework by Youth-Facing Organizations in Baltimore City
Arnold, M., & Silliman, B. (2017). From theory to practice: A critical review of positive youth ...
Journal Of Youth Development
comment
0
thumb_up
0
A Pilot Study Exploring the Potential of Improv in Strengthening Youth—Adult Partnerships
Bandura A. (1977). Social learning theory. General Learning Press. Begun, S. (2022)....
Journal Of Youth Development
comment
0
thumb_up
0
Camp is for Everyone: Intentional Inclusion of Gender-Expansive Teens at Camp
Abramovich, & Cleverley, K. (2018). A call to action: The urgent need for trans inclusive measur...
Journal Of Youth Development
comment
0
thumb_up
0
Supporting Teens’ Professional Identities and Engagement in Mindfulness Practices Through Teens-as-Teachers Programming
Arnold, M. E. (2018). From Context to Outcomes : A thriving model for 4-H youth development. Journal...
Journal Of Youth Development
comment
0
thumb_up
0
Implementing Sexual Violence Primary Prevention Programs: A Case Study of Implementer Perspectives
Basile, K. C., Lang, K. S., Bartenfeld, T. A., & Clinton-Sherrod, M. (2005). Evaluability assess...
Journal Of Youth Development
comment
0
thumb_up
0
The Key to Engaging Every Student: Building Greater Linkages Between National, State, and Local System Leaders
Hillary Oravec is a Summer and Afterschool Project Lead for the National Comprehensive Center, contributing to t...
Journal Of Youth Development
comment
0
thumb_up
0
Family Diabetes Camp Amidst COVID-19: A Community of Practice Model
American Camp Association. (2011). Camp youth outcome battery: Measuring developmental ...
Journal Of Youth Development
comment
0
thumb_up
0
Youth Social and Emotional Learning in Quality-Enhanced, Out-of-School Time Programs
American Institutes for Research (2015). Supporting social and emotional development through quality...
Journal Of Youth Development
comment
0
thumb_up
0
After-School Connectedness, Racial–Ethnic Identity, Affirmation, and Problem Behaviors
Afterschool Alliance. (2021). America after 3pm for black families and communities. http://afterscho...
Journal Of Youth Development
comment
0
thumb_up
0
Book Review: (Re)Defining the Goal: The True Path to Career Readiness in the 21st Century
Bates, S., Anderson-Butcher, D., Ferrari, T., & Clary, C. (2020). A comparative examination of h...
Journal Of Youth Development
comment
0
thumb_up
0
Differential Reinforcement in Applied Settings for Individuals with Autism: A Systematic Literature Review
We conducted this systematic review to synthesize and assess studies employing differential reinforcement interventions im...
Advances In Neurodevelopmental Disorders
comment
0
thumb_up
0
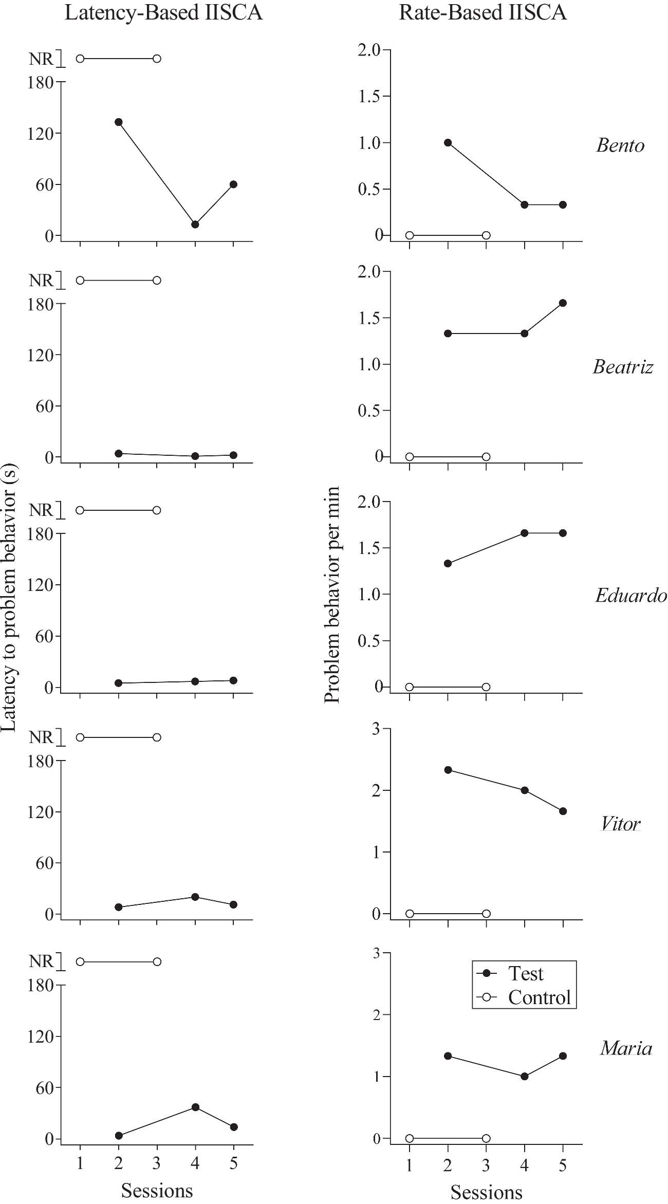
The Latency-Based Interview-Informed, Synthesized Contingency Analysis (IISCA): A Clinical Validation and Replication of 34 Applications in the USA and Brazil
Behavioral treatments for problem behavior are known to be more effective when informed by a functional analysis. However,...
Advances In Neurodevelopmental Disorders
comment
0
thumb_up
0
Neutrophil-Lymphocyte Ratio and Platelet-Lymphocyte Ratio in ADHD: A Systematic Scoping Review
Neutrophil-lymphocyte and platelet-lymphocyte ratio (NLR, PLR) are easily calculated from routine blood tests and are incr...
Advances In Neurodevelopmental Disorders
comment
0
thumb_up
0
The Double Empathy Problem: An Exploration of Trans-Neurotype Attitudes on Autistic–Non-Autistic Social Interactions and Communication
Despite socialisation difficulties making up a diagnostic criterion for autism, paradoxically, research on autistic social...
Advances In Neurodevelopmental Disorders
comment
0
thumb_up
0
“I Am Dyspraxic”: Self-Concept and Wellbeing in Adults with Developmental Coordination Disorder
Self-concept is underresearched in adults with developmental coordination disorder (DCD), as is the role of diagnosis. Sel...
Advances In Neurodevelopmental Disorders
comment
0
thumb_up
0
Association Between the Skeletal Muscle Mass Index and Physical Function in Adolescents with Intellectual and Developmental Disabilities
Children and adolescents with intellectual and developmental disabilities (IDD) often experience reduced health-related ph...
Advances In Neurodevelopmental Disorders
comment
0
thumb_up
0
Using Wearable Sensors to Measure Frequency and Force of Dangerous Behaviors: An Exploratory Study of Feasibility
Inertial measurement units (IMUs) are small wearable motion capture devices that incorporate accelerometers, gyroscopes, a...
Advances In Neurodevelopmental Disorders
comment
0
thumb_up
0
Theory of Change Logic Modeling to Support Trauma-Informed Program Design and Implementation
To explore the role of intentional, trauma-informed program planning and evaluation in intellectual and developmental disa...
Advances In Neurodevelopmental Disorders
comment
0
thumb_up
0
Emotion Awareness and Perceptions of Parental Response to Emotion in Children with Fetal Alcohol Spectrum Disorders: Development and Preliminary Testing of the Qualitative Emotion Interview
Fetal alcohol spectrum disorders (FASD) are a set of neurodevelopmental differences associated with prenatal exposure to a...
Advances In Neurodevelopmental Disorders
comment
0
thumb_up
0
Screening and Assessment of Posttraumatic Stress Disorder in Individuals with Intellectual Disabilities: A Scoping Review
Posttraumatic stress disorder (PTSD) in individuals with intellectual disabilities (ID) or borderline intellectual functio...
Advances In Neurodevelopmental Disorders
comment
0
thumb_up
0
Moderators of the Association Between Parental Divorce/Separation and Adolescent Externalizing Behaviors and Substance Use: A Systematic Review
While parental divorce/separation is a risk factor for adolescent externalizing behaviors—including substance use...
Adolescent Research Review
comment
0
thumb_up
0
Clustering of Lifestyle Habits and Association with Depressive Symptoms and Suicidal Behaviors in Adolescents: A Systematic Review and Meta-Analysis
Unhealthy lifestyle choices have long been linked with various health problems. Existing literature indicates that modifia...
Adolescent Research Review
comment
0
thumb_up
0
A Systematic Review of Social Media Use and Adolescent Identity Development
Social media have become a new context for adolescent identity development. However, it is challenging to build a thorough...
Adolescent Research Review
comment
0
thumb_up
0
Indicated Interventions for Youth Involved in Bullying and Victimization Behaviors: A Systematic Review
Reviews and meta-analyses were conducted on universal prevention on school bullying, but no systematic scientific attentio...
Adolescent Research Review
comment
0
thumb_up
0
The Association Between Distress Tolerance and Depressive Symptoms in Children and Adolescents: A Three-level Meta-analysis
Distress tolerance encompasses perceived and behavioral capacities essential for enduring adverse emotional experiences. P...
Adolescent Research Review
comment
0
thumb_up
0
The Effectiveness of Body Image Flexibility Interventions in Youth: A Systematic Review with Meta-Analysis
Prevention programs that focus on enhancing positive body image may improve health and well-being in young people. Body im...
Adolescent Research Review
comment
0
thumb_up
0
Load More
Modal title
×
Modal title
×
Share
Login
Global News and Health Forum
Join Now!
Member Login
Remember me
Forgot password?
Or using
Linkedin