×
Close
Sign Up
Login
Home
SCI Abstract
Library D
Events & Partner
WeMed
MDLA Events Platform
Events
Media Partners
Educational Partner
User Tools
FAQ/USER GUIDE
Language
English
中文/ Chinese
French
Português
Español
Arabic
Russian
Contact Us
×
Close
mdla_1
mdla_2
mdla_3
mdla_4
mdla_5
mdla_6
Categories
Psychology
5240
Global Medical University
5141
Allergy
1792
Anatomy & Morphology
1584
Andrology
379
Anesthesia & Intensive Care
1300
Anesthesiology
5399
Audiology & Speech-Language Pathology
347
Behavioral Sciences
105
Biochemical Research Methods
7248
Biochemistry & Molecular Biology
30077
Biodiversity Conservation
330
Biology
8515
Biophysics
8297
Biotechnology & Applied Microbiology
8663
Cardiac & Cardiovascular Systems
31125
Cardiovascular & Respiratory Systems
1413
Cell & Tissue Engineering
704
Cell Biology
11182
Chemistry, Analytical
4301
Chemistry, Applied
10962
Chemistry, Medicinal
8755
Chemistry, Multidisciplinary
18521
Clinical Immunology & Infectious Disease
423
Clinical Medicine
8963
Clinical Neurology
16636
Clinical Psychology & Psychiatry
1294
Critical Care Medicine
3163
Dentistry, Oral Surgery & Medicine
13544
Dermatology
7485
Developmental Biology
6954
Ecology
633
Education, Scientific Disciplines
2050
Emergency Medicine
4120
Endocrinology, Metabolism & Nutrition
24626
Engineering, Biomedical
3729
Entomology
489
Environmental Medicine & Public Health
4669
Evolutionary Biology
276
Gastroenterology & Hepatology
12247
General & Internal Medicine
7013
Genetics & Heredity
15197
Geriatrics & Gerontology
5075
Gerontology
382
Health Care Sciences & Services
16168
Health Policy & Services
604
Hematology
5578
Immunology
24852
Infectious Diseases
14018
Integrative & Complementary Medicine
2943
Medical Ethics
1239
Medical Informatics
2232
Medical Laboratory Technology
419
Medicine, General & Internal
44379
Medicine, Legal
532
Medicine, Research & Experimental
17793
Microbiology
23388
Mycology
0
Nanoscience & Nanotechnology
5368
Neuroimaging
1366
Neurology
4562
Neurosciences
39862
Nursing
9787
Nutrition & Dietetics
7849
Obstetrics & Gynecology
8278
Oncology
52499
Ophthalmology
9752
Optics
4279
Orthopedics
11803
Orthopedics, Rehabilitation & Sports Medicine
1828
Otolaryngology
1584
Otorhinolaryngology
4894
Parasitology
1167
Pathology
5149
Pediatrics
21618
Peripheral Vascular Disease
4767
Pharmacology & Pharmacy
35501
Pharmacology/Toxicology
12212
Physiology
8922
Polymer Science
542
Primary Health Care
837
Psychiatry
19134
Psychology, Applied
111
Psychology, Biological
390
Psychology, Clinical
811
Psychology, Developmental
273
Psychology, Educational
164
Psychology, Experimental
171
Psychology, Mathematical
0
Psychology, Multidisciplinary
1694
Psychology, Psychoanalysis
30
Psychology, Social
131
Public Health & Health Care Science
2225
Public, Environmental & Occupational Health
27292
Quantum Science & Technology
0
Radiology, Nuclear Medicine & Imaging
12500
Radiology, Nuclear Medicine & Medical Imaging
8264
Rehabilitation
3076
Remote Sensing
0
Reproductive Biology
2872
Reproductive Medicine
1212
Research/Laboratory Medicine & Medical Technology
4029
Respiratory System
7421
Rheumatology
6031
Social Sciences, Biomedical
1178
Substance Abuse
2771
Surgery
33940
Toxicology
4445
Transplantation
938
Tropical Medicine
300
Urology & Nephrology
12873
Veterinary Sciences
35
Virology
2554
Zoology
0
Channels
ACTA NEUROPATHOLOGICA
348
COGNITIVE PSYCHOLOGY
89
FRONTIERS IN HUMAN NEUROSCIENCE
1825
INTERNATIONAL JOURNAL OF EATING DISORDERS
140
JOURNAL OF CHILD PSYCHOLOGY AND PSYCHIATRY
154
JOURNAL OF MATHEMATICAL PSYCHOLOGY
129
NEUROBIOLOGY OF LEARNING AND MEMORY
271
PSYCHOPHYSIOLOGY
128
PSYCHOTHERAPY AND PSYCHOSOMATICS
81
WORLD PSYCHIATRY
33
EVOLUTION AND HUMAN BEHAVIOR
202
HEALTH PSYCHOLOGY
71
INTERNATIONAL JOURNAL OF INDUSTRIAL ERGONOMICS
0
INTERNATIONAL JOURNAL OF PSYCHOPHYSIOLOGY
0
JOURNAL OF THE EXPERIMENTAL ANALYSIS OF BEHAVIOR
34
PHYSIOLOGY & BEHAVIOR
0
SPORT PSYCHOLOGIST
115
STRESS AND HEALTH
109
ACTUALIDADES EN PSICOLOGIA
22
AUSTRALIAN JOURNAL OF CAREER DEVELOPMENT
13
BEHAVIOR ANALYSIS IN PRACTICE
349
CANADIAN JOURNAL OF CAREER DEVELOPMENT
67
CONTEMPORARY FAMILY THERAPY
132
COUNSELING AND VALUES
9
COUNSELLING & PSYCHOTHERAPY RESEARCH
106
COUNSELOR EDUCATION AND SUPERVISION
17
EUROPEAN JOURNAL OF INVESTIGATION IN HEALTH PSYCHOLOGY AND EDUCATION
147
EUROPEAN JOURNAL OF MENTAL HEALTH
48
HEALTH PSYCHOLOGY OPEN
13
HEALTH PSYCHOLOGY RESEARCH
5
INTERNATIONAL JOURNAL FOR THE ADVANCEMENT OF COUNSELLING
126
JOURNAL OF CONTEMPORARY PSYCHOTHERAPY
119
PSYCHOLOGICAL INJURY & LAW
94
RESEARCH IN PSYCHOTHERAPY-PSYCHOPATHOLOGY PROCESS AND OUTCOME
72
ORGANIZATSIONNAYA PSIKOLOGIYA
172
SCI Abstract
search
ALL
RECOMMENDED
+
The Marriage and Family Therapy Practice Research Network: Current Findings and a Call for Collaboration
Anderson, S. R., Johnson, L. N., Miller, R. B., & Barham, C. C. (2021). The couple relationship ...
European Journal Of Mental Health
comment
0
thumb_up
0
Coparenting Relationship Scale (CRS): Validation and Psychometric Properties of the Hungarian Version
Abbass-Dick, J., Stern, S. B., Nelson, L. E., Watson, W., & Dennis, C.-L. (2015). Coparenting br...
European Journal Of Mental Health
comment
0
thumb_up
0
Artificial Intelligence (AI) in the Family System: Possible Positive and Detrimental Effects on Parenting, Communication and Family Dynamics
Ahmed, H. O. K. (2020). A suggested strategic roadmap for public Egyptian universities to adopt and ...
European Journal Of Mental Health
comment
0
thumb_up
0
The Role of Majority Status in Shaping Self-Esteem: A Comparative Study of Muslim and Christian College Students in Indonesia
Abdel-Khalek, A. M. (2011). Religiosity, subjective well-being, self-esteem, and anxiety among Kuwai...
European Journal Of Mental Health
comment
0
thumb_up
0
Navigating Global Family Diversity: Theory, Research, and Implications for Policy – A Narrative Review
Abalos, J. B. (2023). Do Filipinos still say “I do”? The continuing increase in non-marriage and coh...
European Journal Of Mental Health
comment
0
thumb_up
0
The Relationship between Lutheran Pastors’ Well-Being and Depression and the Professional Support Available to Them: A Quantitative Study in the Hungarian Lutheran Church
Adams, C., & Bloom, M. (2017). Flourishing in ministry: Wellbeing at work in helping professions...
European Journal Of Mental Health
comment
0
thumb_up
0
Necessary Condition Analysis on the Relationship between Fear of Missing Out, Social Networking Addiction, and Psychological Well-Being
Agnihotri, S., & Ravi Shanker, D. (2023). Association between cognitive distortions and problema...
European Journal Of Mental Health
comment
0
thumb_up
0
Self-Oriented and Socially Prescribed Perfectionism Among Hungarian Professional Folk Dancers
Arslan, İ., & Altan-Atalay, A. (2023). Too perfectionist to flow: The roles of perfectionistic s...
European Journal Of Mental Health
comment
0
thumb_up
0
Enhancing User Empowerment and Agency through Co-Creation of a Nonattachment-Based Post-Traumatic Stress Reduction Intervention
Banushi, B., Brendle, M., Ragnhildstveit, A., Murphy, T., Moore, C., Egberts, J., & Robison, R. ...
European Journal Of Mental Health
comment
0
thumb_up
0
XXV Yasinskaya (April) International Scientific Conference on Problems of Economic and Social Development
Уважаемые коллеги!Национальный исследовательский университет «Высшая школа экономики» открывает прием заявок с...
Organizatsionnaya Psikologiya
comment
0
thumb_up
0
Economic ethnopsychology and isomorphism as sources of resources for organizing communities and institutions of a multipolar world (in Russian)
В истории человечества существенную роль играли самоорганизующиеся объединения и сообщества, по психолого-экономической и ...
Organizatsionnaya Psikologiya
comment
0
thumb_up
0
Family career: Nature, basis for typology, and methods of support in professional and family self-determination (in Russian)
Цель. В статье обосновывается самостоятельный статус «семейной карьеры», на основании рассмотрения деятельност...
Organizatsionnaya Psikologiya
comment
0
thumb_up
0
The role of job autonomy and job involvement in work-life balance among the IT sector employees
Цель. В этой статье рассматривается, как автономность работы влияет на баланс между работой и личной жизнью для сотруднико...
Organizatsionnaya Psikologiya
comment
0
thumb_up
0
The contribution of interpersonal conflict and organizational justice to counterproductive work behavior and the moderating role of emotional intelligence
Цель. Целью данного исследования является изучение модерирующей роли эмоционального интеллекта на вклад межличностного кон...
Organizatsionnaya Psikologiya
comment
0
thumb_up
0
How is organizational citizenship behavior and job satisfaction today? Evidence on retail companies in Indonesia
Цель. Эпоха глобализации требует от компаний конкуренции в бизнесе. Организации нуждаются в адаптации и в компетентных кад...
Organizatsionnaya Psikologiya
comment
0
thumb_up
0
Unleashing intrapreneurial behavior: Cultivating an entrepreneurial mindset to meet the increasing demand for intrapreneurship
Цель. Это исследование направлено на изучение того, как предпринимательское мышление предсказывает внутрифирменное предпри...
Organizatsionnaya Psikologiya
comment
0
thumb_up
0
Organizational climate and job satisfaction of nurses: the mediating roles of job stress
Цель. Целью данного исследования является изучение роли рабочего стресса во взаимосвязи между организационным климатом и у...
Organizatsionnaya Psikologiya
comment
0
thumb_up
0
Role ambiguity and occupational stress as predictors of nurses’ job satisfaction
Цель. Целью исследования является изучение взаимосвязи неопределённости роли и профессионального стресса как предикторов у...
Organizatsionnaya Psikologiya
comment
0
thumb_up
0
Relationships of employee engagement and work motivation (in Russian)
В последнее время вовлечённость персонала стала одним из наиболее оцениваемых параметров в работе персонала организаций. К...
Organizatsionnaya Psikologiya
comment
0
thumb_up
0
Change management: emotional-semantic constructs in organizational sensemaking (in Russian)
Цель исследования. Изучение эмоционально-смысловых конструктов организационной субкультуры для принятия организационных из...
Organizatsionnaya Psikologiya
comment
0
thumb_up
0
Ethical leadership and employee turnover intentionin the social exchange perspective: Exploring a dual pathway model
Цель. Это исследование направлено на основе теории социального обмена на проверку вклада этического лидерства в намерение ...
Organizatsionnaya Psikologiya
comment
0
thumb_up
0
The relationship between willingness to communicate and solidarity in Russian organizations
Цель. Цель представленного исследования заключается: во-первых, в переводе и адаптации к российскому контексту шкал межлич...
Organizatsionnaya Psikologiya
comment
0
thumb_up
0
Differences in perceptions of physical illnesses and workplace discrimination (in Russian)
Проблема дискриминации на рабочем месте сохраняет свою актуальность как зарубежом, так и в России. Цель исследования: срав...
Organizatsionnaya Psikologiya
comment
0
thumb_up
0
Socio-psychological features of social capital in Russian business organizations (in Russian)
Статья продолжает серию статей, подготовленных авторами по теории и методоло-гии социального капитала организации. Цель ст...
Organizatsionnaya Psikologiya
comment
0
thumb_up
0
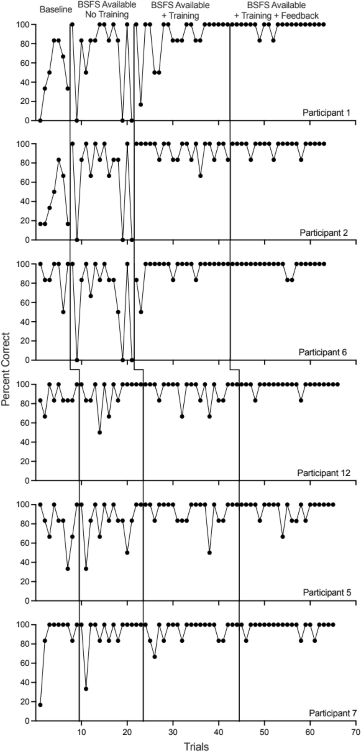
Teaching Practitioners to Use the Bristol Stool Form Scale
The Bristol Stool Form Scale (BSFS) is an empirically validated and reliable tool used to measure stool health. Stool heal...
Behavior Analysis In Practice
comment
0
thumb_up
0
School-Based Transdisciplinary Teaming to Maximize Behavioral Supports
In the United States school system, there is an increasing number of students who need behavioral support. Board Certified...
Behavior Analysis In Practice
comment
0
thumb_up
0
MIEBL: Measurement of Individualized, Evidence-Based Learning Criteria Designed for Discrete Trial Training
Informing the selection of a performance criterion for discrete trial training has been the subject of a growing body of e...
Behavior Analysis In Practice
comment
0
thumb_up
0
A Review of Behavior-Analytic Articles that Cite a Source of Misinformation about ABA
The misinformation that originated from the Wakefield et al. (1998, The Lancet, 351(9103), 637–641) paper t...
Behavior Analysis In Practice
comment
0
thumb_up
0
Using a Sequential Skills Training Model to Increase Oral-Motor Skills for Consuming Table-Textured Foods
Children are expected to advance their oral-motor skills through experiences with different types and textures of foods th...
Behavior Analysis In Practice
comment
0
thumb_up
0
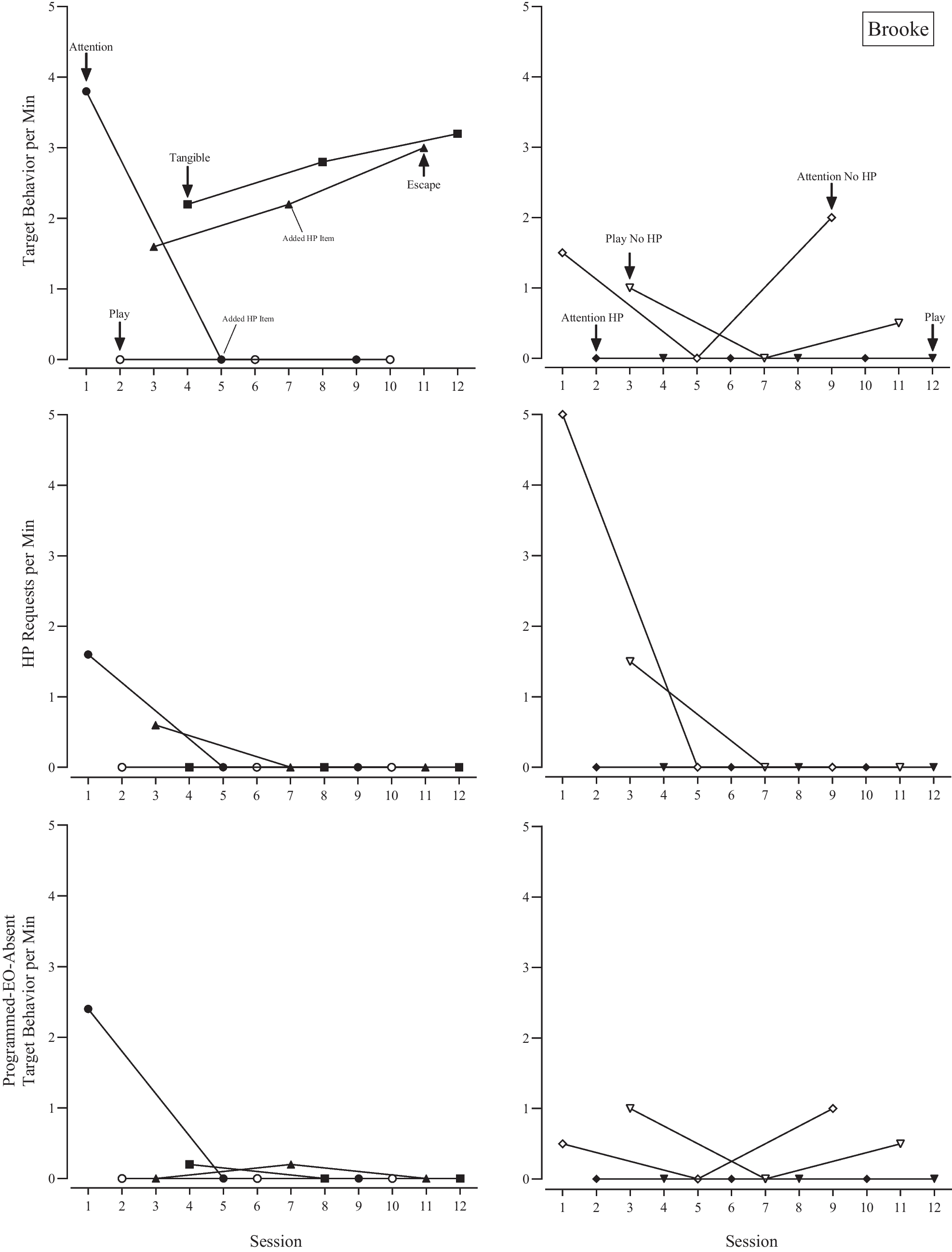
The Potential Evocative Effect of Leisure Item Omission in the Attention and Escape Conditions of a Functional Analysis
The potential suppressive effects of leisure items in the attention condition of functional analyses have been documented ...
Behavior Analysis In Practice
comment
0
thumb_up
0
Load More
Modal title
×
Modal title
×
Share
Login
Global News and Health Forum
Join Now!
Member Login
Remember me
Forgot password?
Or using
Linkedin