×
Close
Sign Up
Login
Home
SCI Abstract
Library D
Events & Partner
WeMed
MDLA Events Platform
Events
Media Partners
Educational Partner
User Tools
FAQ/USER GUIDE
Language
English
中文/ Chinese
French
Português
Español
Arabic
Russian
Contact Us
×
Close
mdla_1
mdla_2
mdla_3
mdla_4
mdla_5
mdla_6
Categories
Psychology
5240
Global Medical University
5141
Allergy
1792
Anatomy & Morphology
1584
Andrology
379
Anesthesia & Intensive Care
1300
Anesthesiology
5399
Audiology & Speech-Language Pathology
347
Behavioral Sciences
105
Biochemical Research Methods
7243
Biochemistry & Molecular Biology
30077
Biodiversity Conservation
330
Biology
8515
Biophysics
8292
Biotechnology & Applied Microbiology
8662
Cardiac & Cardiovascular Systems
31125
Cardiovascular & Respiratory Systems
1413
Cell & Tissue Engineering
704
Cell Biology
11182
Chemistry, Analytical
4301
Chemistry, Applied
10948
Chemistry, Medicinal
8755
Chemistry, Multidisciplinary
18521
Clinical Immunology & Infectious Disease
423
Clinical Medicine
8962
Clinical Neurology
16636
Clinical Psychology & Psychiatry
1294
Critical Care Medicine
3163
Dentistry, Oral Surgery & Medicine
13544
Dermatology
7485
Developmental Biology
6954
Ecology
633
Education, Scientific Disciplines
2050
Emergency Medicine
4117
Endocrinology, Metabolism & Nutrition
24622
Engineering, Biomedical
3729
Entomology
489
Environmental Medicine & Public Health
4669
Evolutionary Biology
276
Gastroenterology & Hepatology
12236
General & Internal Medicine
7013
Genetics & Heredity
15196
Geriatrics & Gerontology
5075
Gerontology
382
Health Care Sciences & Services
16165
Health Policy & Services
604
Hematology
5578
Immunology
24850
Infectious Diseases
14017
Integrative & Complementary Medicine
2943
Medical Ethics
1239
Medical Informatics
2232
Medical Laboratory Technology
419
Medicine, General & Internal
44379
Medicine, Legal
532
Medicine, Research & Experimental
17792
Microbiology
23387
Mycology
0
Nanoscience & Nanotechnology
5388
Neuroimaging
1365
Neurology
4562
Neurosciences
39861
Nursing
9787
Nutrition & Dietetics
7849
Obstetrics & Gynecology
8277
Oncology
52506
Ophthalmology
9749
Optics
4279
Orthopedics
11803
Orthopedics, Rehabilitation & Sports Medicine
1828
Otolaryngology
1583
Otorhinolaryngology
4894
Parasitology
1167
Pathology
5148
Pediatrics
21618
Peripheral Vascular Disease
4767
Pharmacology & Pharmacy
35500
Pharmacology/Toxicology
12212
Physiology
8922
Polymer Science
542
Primary Health Care
837
Psychiatry
19132
Psychology, Applied
111
Psychology, Biological
390
Psychology, Clinical
811
Psychology, Developmental
273
Psychology, Educational
164
Psychology, Experimental
171
Psychology, Mathematical
0
Psychology, Multidisciplinary
1694
Psychology, Psychoanalysis
30
Psychology, Social
131
Public Health & Health Care Science
2225
Public, Environmental & Occupational Health
27291
Quantum Science & Technology
0
Radiology, Nuclear Medicine & Imaging
12500
Radiology, Nuclear Medicine & Medical Imaging
8264
Rehabilitation
3074
Remote Sensing
0
Reproductive Biology
2872
Reproductive Medicine
1212
Research/Laboratory Medicine & Medical Technology
4029
Respiratory System
7421
Rheumatology
6029
Social Sciences, Biomedical
1178
Substance Abuse
2771
Surgery
33936
Toxicology
4445
Transplantation
938
Tropical Medicine
300
Urology & Nephrology
12890
Veterinary Sciences
35
Virology
2551
Zoology
0
Channels
CONTEMPORARY FAMILY THERAPY
132
ACTA NEUROPATHOLOGICA
348
COGNITIVE PSYCHOLOGY
89
FRONTIERS IN HUMAN NEUROSCIENCE
1825
INTERNATIONAL JOURNAL OF EATING DISORDERS
140
JOURNAL OF CHILD PSYCHOLOGY AND PSYCHIATRY
154
JOURNAL OF MATHEMATICAL PSYCHOLOGY
129
NEUROBIOLOGY OF LEARNING AND MEMORY
271
PSYCHOPHYSIOLOGY
128
PSYCHOTHERAPY AND PSYCHOSOMATICS
81
WORLD PSYCHIATRY
33
EVOLUTION AND HUMAN BEHAVIOR
202
HEALTH PSYCHOLOGY
71
INTERNATIONAL JOURNAL OF INDUSTRIAL ERGONOMICS
0
INTERNATIONAL JOURNAL OF PSYCHOPHYSIOLOGY
0
JOURNAL OF THE EXPERIMENTAL ANALYSIS OF BEHAVIOR
34
PHYSIOLOGY & BEHAVIOR
0
SPORT PSYCHOLOGIST
115
STRESS AND HEALTH
109
ACTUALIDADES EN PSICOLOGIA
22
AUSTRALIAN JOURNAL OF CAREER DEVELOPMENT
13
BEHAVIOR ANALYSIS IN PRACTICE
349
CANADIAN JOURNAL OF CAREER DEVELOPMENT
67
COUNSELING AND VALUES
9
COUNSELLING & PSYCHOTHERAPY RESEARCH
106
COUNSELOR EDUCATION AND SUPERVISION
17
EUROPEAN JOURNAL OF INVESTIGATION IN HEALTH PSYCHOLOGY AND EDUCATION
147
EUROPEAN JOURNAL OF MENTAL HEALTH
48
HEALTH PSYCHOLOGY OPEN
13
HEALTH PSYCHOLOGY RESEARCH
5
INTERNATIONAL JOURNAL FOR THE ADVANCEMENT OF COUNSELLING
126
JOURNAL OF CONTEMPORARY PSYCHOTHERAPY
119
PSYCHOLOGICAL INJURY & LAW
94
RESEARCH IN PSYCHOTHERAPY-PSYCHOPATHOLOGY PROCESS AND OUTCOME
72
ORGANIZATSIONNAYA PSIKOLOGIYA
172
SCI Abstract
search
ALL
RECOMMENDED
+
The Association Between Relationship Status and Health: The Role of Relationship Quality, Past Relationship Experiences, and Gender
Given inconsistencies in the literature, we examined the role of relationship quality, past relationship experiences (i.e....
Contemporary Family Therapy
comment
0
thumb_up
0
This Smokey Thing Called Healing: A Grounded Theory Analysis of Recovery from Self-Identified C-PTSD
Complex posttraumatic stress disorder (C-PTSD) encompasses a set of symptoms associated with prolonged or chronic trauma e...
Contemporary Family Therapy
comment
0
thumb_up
0
Parents’ Proclivity to Apologize to Their Romantic Partner is Associated with Positive Parental Attitudes on Apologies and Parental Apology Prompting
The willingness to apologize and forgive is robustly associated with relational and personal wellbeing, and thus, it may b...
Contemporary Family Therapy
comment
0
thumb_up
0
An Exploratory Longitudinal Dyadic Analysis of Couple Attachment Trajectories
The purpose of this exploratory study was to first examine the dyadic trajectory of attachment change over a longer period...
Contemporary Family Therapy
comment
0
thumb_up
0
Mentalization and Parenting: Preliminary Validation of the - (PDI-B): Optimizing the Assessment of Parental Reflective Functioning
Parental Reflective Functioning is considered a critical variable, both for the exercise of parenthood and for child devel...
Contemporary Family Therapy
comment
0
thumb_up
0
From Dharma to Dialogue: A Scoping Review of Couple Interventions Based on Buddhist Wisdom
There has been a surge of interest in interventions based on Buddhist traditions in the domain of relational therapy resea...
Contemporary Family Therapy
comment
0
thumb_up
0
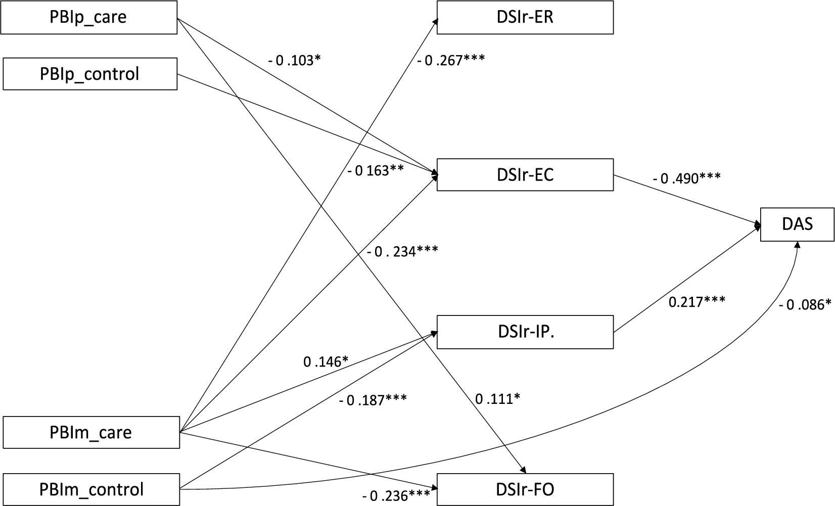
Parental Bonding and Dyadic Adjustment: The Mediating Role of the Differentiation of Self
Emotional connections with significant caregivers greatly influence how individuals perceive themselves and others in inti...
Contemporary Family Therapy
comment
0
thumb_up
0
Relationship Benefits of Gaming Together: A Phenomenological Approach
Video gaming (also called gaming) is a contemporary activity affecting individuals and romantic partnerships. Researchers ...
Contemporary Family Therapy
comment
0
thumb_up
0
A Physio-Relational Model of Couple Therapy
Relationship improvement and the treatment of mental health problems in a relational context focuses on what we can observ...
Contemporary Family Therapy
comment
0
thumb_up
0
Family Members’ Reward-Based Activation in Response to an AUD Loved-One
Family members of a loved-one with an alcohol use disorder (AUD) experience much stress and other adverse impacts, especia...
Contemporary Family Therapy
comment
0
thumb_up
0
The Role of Attachment Behaviors – Accessibility, Responsiveness, and Engagement in Perceived Emotional Relational Safety: A Deductive Grounded Theory Inquiry
There is a body of literature that examines and describes couples’ relational quality and emotional security through...
Contemporary Family Therapy
comment
0
thumb_up
0
Differential Impact of College Women’s Psychological and Physical IPV Victimization on Fathering and Mental Health
Intimate Partner Violence (IPV) is a public health problem that leaves lasting, distressing impacts on college women, yet ...
Contemporary Family Therapy
comment
0
thumb_up
0
Core Competencies in Family Therapy for Adolescent Behavior Problems: Systemic Stance and Systemic Skills
Although Systemic Family Therapy (SFT) is an evidence-based approach for adolescent behavior problems, manualized SFT mode...
Contemporary Family Therapy
comment
0
thumb_up
0
Development of a Subtle Screening for Suicidal Ideation: Psychometric Characteristics and Implications for Family Therapists
While 10 million U.S. adults experience suicidal thoughts and 1.7 million attempt suicide annually, candid, truthful endor...
Contemporary Family Therapy
comment
0
thumb_up
0
Is Resilience the Bridge Connecting Social and Family Factors to Mental Well-Being and Life Satisfaction?
Family and social support can enhance our perception of our ability to cope with stressful life events, as well as our psy...
Contemporary Family Therapy
comment
0
thumb_up
0
“Mom Just Forgot Me at a Gas Station”: A Qualitative Study of Parental ADHD in the Home
Existing literature suggests that the symptomatology for adults with attention-deficit/hyperactivity disorder (ADHD) may h...
Contemporary Family Therapy
comment
0
thumb_up
0
A Mixed-Methods Study on Experiencing in Indian Couples During Gottman's Intervention of Dreams-Within-Conflict
In Gottman Couple Therapy (GCT), the intervention of Dreams-within-Conflict (DWC) helps break down a gridlocked issue betw...
Contemporary Family Therapy
comment
0
thumb_up
0
Dynamic Narrative Therapy: A Metamodern Integration of Narrative, and Strategic Family Therapy
Systemic models of couple and family therapy (CFT) are often categorized into two transtheoretical paradigms: modernism an...
Contemporary Family Therapy
comment
0
thumb_up
0
The Efficacy of Digital Help for Divorced Danes: Randomized Controlled Trial of Cooperation After Divorce (CAD) and Sick Days
Few digital divorce interventions have undergone rigorous randomized control trial study (RCT) testing of their physical a...
Contemporary Family Therapy
comment
0
thumb_up
0
Competency Guidelines for Family Collaboration in Behavioral Health Services for Adolescents
Although structural strategic family therapy (FT) is an evidence-based approach for adolescent behavior problems, manualiz...
Contemporary Family Therapy
comment
0
thumb_up
0
Bridging Parental Conflict: Findings from a Parent Education Course Developed by Family Therapists Working with High-Conflict Coparents
Finding effective interventions and best practices for families during the divorce or separation process has been prevalen...
Contemporary Family Therapy
comment
0
thumb_up
0
Effect of the Self-Worth Strengthening Group Psycho-Education Program Based on Systemic Therapy on the Self-Worth of Emerging Adults
The aim of this study was to examine the effect of the self-worth strengthening group psycho-education program based on sy...
Contemporary Family Therapy
comment
0
thumb_up
0
Understanding Transgender and Non-binary Youth Mental Health Through the Family Resilience Framework: A Literature Review
Transgender and nonbinary (TGNB) youth are at increased risk for poor mental health. Families significantly impact the men...
Contemporary Family Therapy
comment
0
thumb_up
0
Behavioral Indicators of the Therapeutic Alliance in Relation to Discontinuation in Couple Therapy
Client discontinuation is prevalent in psychotherapy with up to half discontinuing therapy before meeting the goals of the...
Contemporary Family Therapy
comment
0
thumb_up
0
The Relationships Among Parents’ Anxious and Avoidant Attachment, Emotion Dysregulation, and Parenting
Despite the conceptual assumption that attachment-related anxiety or avoidance negatively affects parenting, studies have ...
Contemporary Family Therapy
comment
0
thumb_up
0
Common Themes Among CSA Survivors: A Content Analysis
Although there have been policies implemented across universities that aid in providing safety and transparency to student...
Contemporary Family Therapy
comment
0
thumb_up
0
“Mixed:” Exploring Narratives of Single Mothers and Adult Children in Multiple Heritage Families
The current study explored the experiences of families including single mothers of multiple heritage children. Through nar...
Contemporary Family Therapy
comment
0
thumb_up
0
Contributing Factors to Reporting Intimate Partner Violence as a Clinical Concern
Intimate partner violence (IPV) is a prevalent problem in clinical populations. However, many couples experiencing IPV do ...
Contemporary Family Therapy
comment
0
thumb_up
0
Childhood Abuse and Chronic Physical Health Conditions in Adulthood: A Longitudinal Analysis of Familial Support and Strain as Mediators
Parentally perpetrated childhood abuse is associated with physical health difficulties and familial support and strain may...
Contemporary Family Therapy
comment
0
thumb_up
0
Therapeutic Work with Parents’ Childhood Experiences in the Context of Intensive Home-Based Treatment for High-Risk Youth: Practical Mentalization-Based and Trauma-Informed Interventions
Although childhood experiences are widely recognized for their potential impact on adult health and happiness, clinical pr...
Contemporary Family Therapy
comment
0
thumb_up
0
Load More
Modal title
×
Modal title
×
Share
Login
Global News and Health Forum
Join Now!
Member Login
Remember me
Forgot password?
Or using
Linkedin