×
Close
Sign Up
Login
Home
SCI Abstract
Library D
Events & Partner
WeMed
MDLA Events Platform
Events
Media Partners
Educational Partner
User Tools
FAQ/USER GUIDE
Language
English
中文/ Chinese
French
Português
Español
Arabic
Russian
Contact Us
×
Close
mdla_1
mdla_2
mdla_3
mdla_4
mdla_5
mdla_6
Categories
Reproductive Biology
2872
Global Medical University
5141
Allergy
1792
Anatomy & Morphology
1584
Andrology
379
Anesthesia & Intensive Care
1300
Anesthesiology
5399
Audiology & Speech-Language Pathology
347
Behavioral Sciences
105
Biochemical Research Methods
7248
Biochemistry & Molecular Biology
30077
Biodiversity Conservation
330
Biology
8515
Biophysics
8297
Biotechnology & Applied Microbiology
8663
Cardiac & Cardiovascular Systems
31125
Cardiovascular & Respiratory Systems
1413
Cell & Tissue Engineering
704
Cell Biology
11182
Chemistry, Analytical
4301
Chemistry, Applied
10962
Chemistry, Medicinal
8755
Chemistry, Multidisciplinary
18521
Clinical Immunology & Infectious Disease
423
Clinical Medicine
8963
Clinical Neurology
16636
Clinical Psychology & Psychiatry
1294
Critical Care Medicine
3163
Dentistry, Oral Surgery & Medicine
13544
Dermatology
7485
Developmental Biology
6954
Ecology
633
Education, Scientific Disciplines
2050
Emergency Medicine
4120
Endocrinology, Metabolism & Nutrition
24626
Engineering, Biomedical
3729
Entomology
489
Environmental Medicine & Public Health
4669
Evolutionary Biology
276
Gastroenterology & Hepatology
12247
General & Internal Medicine
7013
Genetics & Heredity
15197
Geriatrics & Gerontology
5075
Gerontology
382
Health Care Sciences & Services
16168
Health Policy & Services
604
Hematology
5578
Immunology
24852
Infectious Diseases
14018
Integrative & Complementary Medicine
2943
Medical Ethics
1239
Medical Informatics
2232
Medical Laboratory Technology
419
Medicine, General & Internal
44379
Medicine, Legal
532
Medicine, Research & Experimental
17793
Microbiology
23388
Mycology
0
Nanoscience & Nanotechnology
5368
Neuroimaging
1366
Neurology
4562
Neurosciences
39862
Nursing
9787
Nutrition & Dietetics
7849
Obstetrics & Gynecology
8278
Oncology
52499
Ophthalmology
9752
Optics
4279
Orthopedics
11803
Orthopedics, Rehabilitation & Sports Medicine
1828
Otolaryngology
1584
Otorhinolaryngology
4894
Parasitology
1167
Pathology
5149
Pediatrics
21618
Peripheral Vascular Disease
4767
Pharmacology & Pharmacy
35501
Pharmacology/Toxicology
12212
Physiology
8922
Polymer Science
542
Primary Health Care
837
Psychiatry
19134
Psychology
5240
Psychology, Applied
111
Psychology, Biological
390
Psychology, Clinical
811
Psychology, Developmental
273
Psychology, Educational
164
Psychology, Experimental
171
Psychology, Mathematical
0
Psychology, Multidisciplinary
1694
Psychology, Psychoanalysis
30
Psychology, Social
131
Public Health & Health Care Science
2225
Public, Environmental & Occupational Health
27292
Quantum Science & Technology
0
Radiology, Nuclear Medicine & Imaging
12500
Radiology, Nuclear Medicine & Medical Imaging
8264
Rehabilitation
3076
Remote Sensing
0
Reproductive Medicine
1212
Research/Laboratory Medicine & Medical Technology
4029
Respiratory System
7421
Rheumatology
6031
Social Sciences, Biomedical
1178
Substance Abuse
2771
Surgery
33940
Toxicology
4445
Transplantation
938
Tropical Medicine
300
Urology & Nephrology
12873
Veterinary Sciences
35
Virology
2554
Zoology
0
Channels
FERTILITY AND STERILITY
53
FETAL DIAGNOSIS AND THERAPY
149
JOURNAL OF OVARIAN RESEARCH
446
THERIOGENOLOGY
1036
JOURNAL OF REPRODUCTIVE IMMUNOLOGY
449
JOURNAL OF ASSISTED REPRODUCTION AND GENETICS
739
SCI Abstract
search
ALL
RECOMMENDED
+
Impact of repeated vitrification and biopsy on the developmental potential of blastocysts and clinical outcomes: A retrospective propensity-score-matched cohort study
This study aimed to investigate the effects of repeated vitrification and trophectoderm (TE) biopsy procedures during prei...
Journal Of Assisted Reproduction And Genetics
comment
0
thumb_up
0
Novel homozygous variants in and responsible for female infertility characterized by abnormal fertilization
To identify the disease-causing gene behind infertile couples with female infertility and abnormal fertilization. Whole-ex...
Journal Of Assisted Reproduction And Genetics
comment
0
thumb_up
0
Navigating fertility care in the telehealth era: association of consultation mode with patient engagement and pregnancy outcomes
To examine levels of patient engagement in fertility care by evaluating the association between initial visit type (in-per...
Journal Of Assisted Reproduction And Genetics
comment
0
thumb_up
0
Reconsidering the clinical value of 1PN-derived embryos: a systematic review and meta-analysis
To assess if 1PN-derived embryos are diploid/euploid and suitable for embryo transfer. This systematic review and meta-ana...
Journal Of Assisted Reproduction And Genetics
comment
0
thumb_up
0
Interpretable machine learning model for predicting MII oocyte retrieved following controlled ovarian stimulation: a retrospective cohort study of 24,976 IVF/ICSI cycles
Can machine learning effectively predict the number of mature oocytes retrieved after controlled ovarian stimulation in pa...
Journal Of Assisted Reproduction And Genetics
comment
0
thumb_up
0
Chronic endometritis and its association with implantation history, BCL6, and ERA in infertility patients
To compare the prevalence of chronic endometritis (CE) in patients with and without a history of implantation failure and ...
Journal Of Assisted Reproduction And Genetics
comment
0
thumb_up
0
The role of bioavailable inhibin B in predicting oocyte yield in expected poor responders: the forgotten marker?
Inhibin B (InhB) is secreted by granulosa cells and reflects early follicular activity. While anti-Müllerian hormone ...
Journal Of Assisted Reproduction And Genetics
comment
0
thumb_up
0
Advances in supplementation strategies for enhancing bovine in vitro embryo production: a review of growth factors and antioxidants
The optimization of bovine embryo culture media is crucial for enhancing reproductive efficiency in livestock production. ...
Journal Of Assisted Reproduction And Genetics
comment
0
thumb_up
0
LH prevents AMH action via receptor downregulation in human primary granulosa lutein cells
Gonadotropins and anti-Müllerian hormone (AMH) regulate reproductive development and ovarian function. While AMH play...
Journal Of Assisted Reproduction And Genetics
comment
0
thumb_up
0
Vaginal microbiota correlations to gynecological symptoms, intimate hygiene practices, and background parameters of IVF patients: a cross-sectional study
To investigate baseline parameters and vaginal intimate hygiene habits comparing IVF patients with and without vaginal dys...
Journal Of Assisted Reproduction And Genetics
comment
0
thumb_up
0
Correlation between AMH levels and embryonic aneuploidy rate in PGT-A patients: a retrospective study
The association between anti-Müllerian hormone (AMH) levels and embryonic aneuploidy rates was investigated by analyz...
Journal Of Assisted Reproduction And Genetics
comment
0
thumb_up
0
Screening for non-invasive rsRNA biomarkers to assess embryo quality utilizing ultra-sensitive pandora sequencing combined with machine learning
Accurate embryo selection is vital for the success of in vitro fertilization (IVF); however, existing morphological scorin...
Journal Of Assisted Reproduction And Genetics
comment
0
thumb_up
0
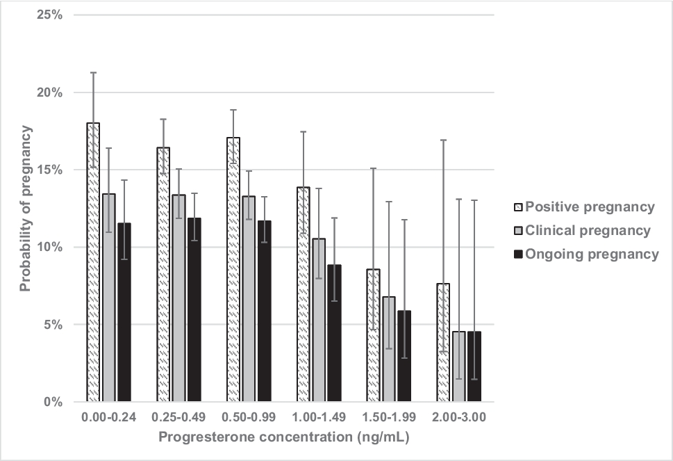
Ongoing pregnancy rate is associated with trigger-day progesterone level in letrozole/clomiphene intrauterine insemination cycles
Prior studies in fresh embryo transfer IVF cycles have associated elevated serum progesterone level on day of ovulatory tr...
Journal Of Assisted Reproduction And Genetics
comment
0
thumb_up
0
Protective effect of ammonium trichloride tellurate (AS101) on ovarian injury induced by chemotherapy drug doxorubicin in rats
To investigate the protective effect of ammonium trichloride tellurate (AS101) on doxorubicin induced ovarian function dam...
Journal Of Ovarian Research
comment
0
thumb_up
0
IL2RG knockout mitigates polycystic ovary syndrome pathogenesis by transitioning pyroptosis to apoptosis through the GSDME pathway
Polycystic ovary syndrome (PCOS) is a common endocrine disorder with significant impacts on women’s reproductive hea...
Journal Of Ovarian Research
comment
0
thumb_up
0
Patient-derived organoids as a model to study tubo-ovarian carcinoma: a pathologist’s perspective
Tubo-ovarian carcinoma, a leading cause of gynaecological-related mortality, holds substantial biological and clinical het...
Journal Of Ovarian Research
comment
0
thumb_up
0
Nicotinamide mononucleotide protects ovarian function and oocyte developmental competence during chemotherapy
Cyclophosphamide (CTX)-induced ovarian dysfunction and infertility represent significant concerns for reproductive-age or ...
Journal Of Ovarian Research
comment
0
thumb_up
0
STAT1β modulates the tumor immune microenvironment to improve prognosis in ovarian cancer: a comprehensive study of transcriptional and protein expression differences
As a central regulator of the JAK/STAT signaling pathway, STAT1 generates functionally distinct α and β protein ...
Journal Of Ovarian Research
comment
0
thumb_up
0
Intravenous immunoglobulin versus placebo in recurrent pregnancy loss: A systematic review and meta-analysis of randomized trials
Update your browser to view ScienceDirect correctly. Your technical details and browser version: Request ID: 972ec...
Journal Of Reproductive Immunology
comment
0
thumb_up
0
Association between red cell distribution width and erectile dysfunction: A cross-sectional study using NHANES 2001–2004 data
Update your browser to view ScienceDirect correctly. Your technical details and browser version: Request ID: 972ec...
Journal Of Reproductive Immunology
comment
0
thumb_up
0
Age-matched analysis of endometrial immune profile between frozen embryo transfer success and recurrent implantation failure cases with predictive model
Update your browser to view ScienceDirect correctly. Your technical details and browser version: Request ID: 972ec...
Journal Of Reproductive Immunology
comment
0
thumb_up
0
CD163 + M2-like monocytes increase in pregnant women with first-attempted frozen embryo transfer
Update your browser to view ScienceDirect correctly. Your technical details and browser version: Request ID: 972ec...
Journal Of Reproductive Immunology
comment
0
thumb_up
0
Complex causal association between immunophenotypes and adenomyosis: Univariable, bidirectional, and multivariable Mendelian randomization
Update your browser to view ScienceDirect correctly. Your technical details and browser version: Request ID: 972ec...
Journal Of Reproductive Immunology
comment
0
thumb_up
0
Decreased membrane-bound suppressor of tumorigenicity 2 (ST2) but not soluble ST2 was associated with women with recurrent pregnancy loss and recurrent implantation failure compared to controls
Update your browser to view ScienceDirect correctly. Your technical details and browser version: Request ID: 972ec...
Journal Of Reproductive Immunology
comment
0
thumb_up
0
Impact of the maternal microbiome on neonatal immune development
Update your browser to view ScienceDirect correctly. Your technical details and browser version: Request ID: 972ec...
Journal Of Reproductive Immunology
comment
0
thumb_up
0
Testicular macrophages: Sculpting male fertility through immune regulation and tissue interactions
Update your browser to view ScienceDirect correctly. Your technical details and browser version: Request ID: 972ec...
Journal Of Reproductive Immunology
comment
0
thumb_up
0
2023 ISIR Meeting as the Impetus for Centers for Reproductive Sciences (CERES): Driving reproductive health research forward in Germany
Update your browser to view ScienceDirect correctly. Your technical details and browser version: Request ID: 972ec...
Journal Of Reproductive Immunology
comment
0
thumb_up
0
Chronic endometritis: A neglected risk factor for recurrent pregnancy loss (RPL)
Update your browser to view ScienceDirect correctly. Your technical details and browser version: Request ID: 972ec...
Journal Of Reproductive Immunology
comment
0
thumb_up
0
Corrigendum to “Characteristics and functions of memory regulatory T cells in normal pregnancy cycle and pregnancy complications” [J. Reprod. Immunol. 163 (2024) 104235]
Update your browser to view ScienceDirect correctly. Your technical details and browser version: Request ID: 972ec...
Journal Of Reproductive Immunology
comment
0
thumb_up
0
SQSTM1/p62 Drives Radiosensitivity in Cervical Cancer via Autophagy-Independent Mechanisms
Update your browser to view ScienceDirect correctly. Your technical details and browser version: Request ID: 972ec...
Journal Of Reproductive Immunology
comment
0
thumb_up
0
Load More
Modal title
×
Modal title
×
Share
Login
Global News and Health Forum
Join Now!
Member Login
Remember me
Forgot password?
Or using
Linkedin