×
Close
Sign Up
Login
Home
SCI Abstract
Library D
Events & Partner
WeMed
MDLA Events Platform
Events
Media Partners
Educational Partner
User Tools
FAQ/USER GUIDE
Language
English
中文/ Chinese
French
Português
Español
Arabic
Russian
Contact Us
×
Close
mdla_1
mdla_2
mdla_3
mdla_4
mdla_5
mdla_6
Categories
Nutrition & Dietetics
7849
Global Medical University
5141
Allergy
1792
Anatomy & Morphology
1584
Andrology
379
Anesthesia & Intensive Care
1300
Anesthesiology
5399
Audiology & Speech-Language Pathology
347
Behavioral Sciences
105
Biochemical Research Methods
7243
Biochemistry & Molecular Biology
30077
Biodiversity Conservation
330
Biology
8515
Biophysics
8292
Biotechnology & Applied Microbiology
8662
Cardiac & Cardiovascular Systems
31125
Cardiovascular & Respiratory Systems
1413
Cell & Tissue Engineering
704
Cell Biology
11182
Chemistry, Analytical
4301
Chemistry, Applied
10948
Chemistry, Medicinal
8755
Chemistry, Multidisciplinary
18521
Clinical Immunology & Infectious Disease
423
Clinical Medicine
8962
Clinical Neurology
16636
Clinical Psychology & Psychiatry
1294
Critical Care Medicine
3163
Dentistry, Oral Surgery & Medicine
13544
Dermatology
7485
Developmental Biology
6954
Ecology
633
Education, Scientific Disciplines
2050
Emergency Medicine
4117
Endocrinology, Metabolism & Nutrition
24622
Engineering, Biomedical
3729
Entomology
489
Environmental Medicine & Public Health
4669
Evolutionary Biology
276
Gastroenterology & Hepatology
12236
General & Internal Medicine
7013
Genetics & Heredity
15196
Geriatrics & Gerontology
5075
Gerontology
382
Health Care Sciences & Services
16165
Health Policy & Services
604
Hematology
5578
Immunology
24850
Infectious Diseases
14017
Integrative & Complementary Medicine
2943
Medical Ethics
1239
Medical Informatics
2232
Medical Laboratory Technology
419
Medicine, General & Internal
44379
Medicine, Legal
532
Medicine, Research & Experimental
17792
Microbiology
23387
Mycology
0
Nanoscience & Nanotechnology
5388
Neuroimaging
1365
Neurology
4562
Neurosciences
39861
Nursing
9787
Obstetrics & Gynecology
8277
Oncology
52506
Ophthalmology
9749
Optics
4279
Orthopedics
11803
Orthopedics, Rehabilitation & Sports Medicine
1828
Otolaryngology
1583
Otorhinolaryngology
4894
Parasitology
1167
Pathology
5148
Pediatrics
21618
Peripheral Vascular Disease
4767
Pharmacology & Pharmacy
35500
Pharmacology/Toxicology
12212
Physiology
8922
Polymer Science
542
Primary Health Care
837
Psychiatry
19132
Psychology
5240
Psychology, Applied
111
Psychology, Biological
390
Psychology, Clinical
811
Psychology, Developmental
273
Psychology, Educational
164
Psychology, Experimental
171
Psychology, Mathematical
0
Psychology, Multidisciplinary
1694
Psychology, Psychoanalysis
30
Psychology, Social
131
Public Health & Health Care Science
2225
Public, Environmental & Occupational Health
27291
Quantum Science & Technology
0
Radiology, Nuclear Medicine & Imaging
12500
Radiology, Nuclear Medicine & Medical Imaging
8264
Rehabilitation
3074
Remote Sensing
0
Reproductive Biology
2872
Reproductive Medicine
1212
Research/Laboratory Medicine & Medical Technology
4029
Respiratory System
7421
Rheumatology
6029
Social Sciences, Biomedical
1178
Substance Abuse
2771
Surgery
33948
Toxicology
4445
Transplantation
938
Tropical Medicine
300
Urology & Nephrology
12890
Veterinary Sciences
35
Virology
2551
Zoology
0
Channels
Medrxiv - Nutrition
287
ANNALS OF NUTRITION AND METABOLISM
113
APPLIED PHYSIOLOGY NUTRITION AND METABOLISM
270
EUROPEAN JOURNAL OF CLINICAL NUTRITION
465
EUROPEAN JOURNAL OF NUTRITION
596
INNOVATIVE FOOD SCIENCE & EMERGING TECHNOLOGIES
701
INTERNATIONAL JOURNAL OF OBESITY
568
NUTRIENTS
3817
NUTRITION & METABOLISM
189
NUTRITION JOURNAL
188
NUTRITION REVIEWS
5
BENEFICIAL MICROBES
59
REVISTA DE NUTRICAO-BRAZILIAN JOURNAL OF NUTRITION
0
TOPICS IN CLINICAL NUTRITION
90
JOURNAL OF RENAL NUTRITION
18
BMC NUTRITION
328
CLINICAL NUTRITION ESPEN
85
CURRENT NUTRITION & FOOD SCIENCE
45
NUTRITION AND METABOLIC INSIGHTS
25
SCI Abstract
search
ALL
RECOMMENDED
+
Saturated fat from dairy sources and cardio-metabolic health: insights from the STANISLAS cohort
The health impact of dairy products is debated due to their high saturated fatty acid (SFA) content. Emerging evidence sug...
European Journal Of Nutrition
comment
0
thumb_up
0
Dietary vitamin D and gastric cancer risk within the stomach cancer pooling (stop) project
The evidence regarding the role of vitamin D on gastric cancer (GC) is controversial. Within the Stomach cancer Pooling (S...
European Journal Of Nutrition
comment
0
thumb_up
0
Correlates of serum holo-Transcobalamin in the elderly general population
Holo-Transcobalamin (holo-TC) is the biologically active form of vitamin B12, an essential vitamin that is only c...
European Journal Of Nutrition
comment
0
thumb_up
0
Metabolomic profiles of an atherogenic TMAO-dietary pattern among postmenopausal women
We previously identified a dietary pattern (DP) associated with plasma trimethylamine n-oxide (TMAO) and choline, the TMAO...
European Journal Of Nutrition
comment
0
thumb_up
0
Anti-colorectal cancer effect and mechanism of a polysaccharide from
Colorectal cancer (CRC) is the most common malignant tumor with a persistently high mortality rate worldwide. This study a...
European Journal Of Nutrition
comment
0
thumb_up
0
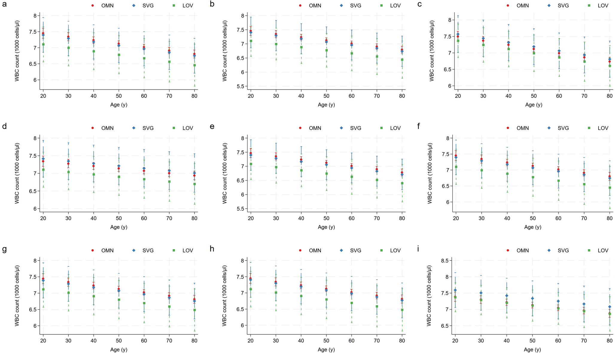
Whole blood count data and hematological parameters in US vegetarians: a cross-sectional study
Lower white blood cell, neutrophil and lymphocyte counts have been reported in vegetarians. However, studies on this topic...
European Journal Of Nutrition
comment
0
thumb_up
0
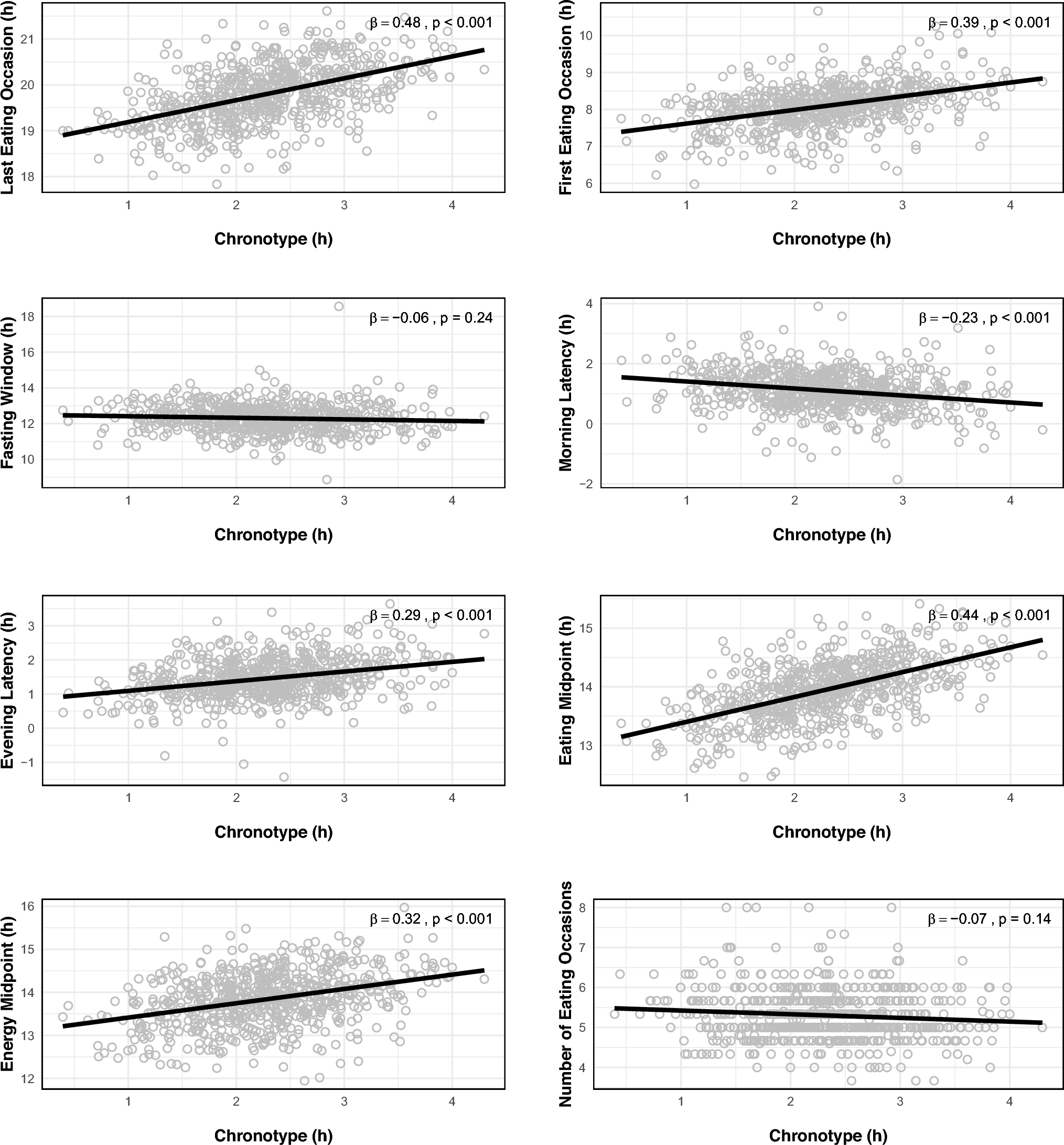
Associations of chronotype and socio-demographic factors with timing of eating in finnish preschool-aged children
Chrononutrition, encompassing timing, frequency, and regularity of dietary intake, may affect metabolic health and chronic...
European Journal Of Nutrition
comment
0
thumb_up
0
Long-term cognitive benefits of human milk phospholipids in breastfed children at preschool age: results from MUAI study
To examine the associations between human milk phospholipids (PLs) concentrations and neurocognitive development in presch...
European Journal Of Nutrition
comment
0
thumb_up
0
Effect of probiotics on intestinal permeability in critically ill children with sepsis: preliminary results from a double-blind, placebo-controlled trial
The objective of this study was to evaluate whether probiotics have effects on intestinal permeability in children with se...
European Journal Of Nutrition
comment
0
thumb_up
0
Eastern healthy dietary patterns in relation to all-cause mortality
Existing studies have mainly focused on healthy dietary patterns proposed based on Western populations, whereas the Easter...
European Journal Of Nutrition
comment
0
thumb_up
0
Association between fish consumption and mortality risk from overall cardiovascular disease and its subtypes: a 20-year prospective cohort analysis by sex
To investigate the association between fish consumption and mortality risk related to cardiovascular disease (CVD) and its...
European Journal Of Nutrition
comment
0
thumb_up
0
Glycemic responses of three mango varieties in subjects with and without T2D: a pilot crossover study using OTT and CGM
Mango consumption is often restricted in diet consumed by people with diabetes due to concerns about its glycemic impact. ...
European Journal Of Clinical Nutrition
comment
0
thumb_up
0
Real-world assessment of Multi-Frequency Bioelectrical Impedance Analysis (MFBIA) for measuring body composition in healthy physically active populations
Multi-frequency bioelectrical impedance analysis (MFBIA) methods offer reliable and moderately accurate estimates of body ...
European Journal Of Clinical Nutrition
comment
0
thumb_up
0
Intake of total and selected carotenoids and colorectal cancer risk: An Italian case-control study
Colorectal cancer (CRC) risk is influenced by diet. Carotenoids are naturally occurring pigments primarily found in fruits...
European Journal Of Clinical Nutrition
comment
0
thumb_up
0
Effects of probiotics on cognitive function across the human lifespan: a meta-analysis
In recent years, probiotics have become one of the research hotspots in the scientific community, and its potential role i...
European Journal Of Clinical Nutrition
comment
0
thumb_up
0
Association of a high-protein and low-glycemic-index diet during pregnancy with offspring growth and obesity until the age of 18 years – a target trial emulation
Maternal pre-pregnancy BMI and excessive gestational weight gain (GWG) are associated with offspring obesity. Moreover, ma...
European Journal Of Clinical Nutrition
comment
0
thumb_up
0
Vitamin D status of adults in the North of the Netherlands: cross-sectional results from the Lifelines cohort study
Maintaining an adequate vitamin D status is challenging for part of the Dutch adults; therefore, use of vitamin D suppleme...
European Journal Of Clinical Nutrition
comment
0
thumb_up
0
Dietary intake of folate, vitamin B6, vitamin B12, and riboflavin and the risk of incident dementia
Low intake of B vitamins may increase dementia; However, epidemiological evidence, particularly for riboflavin (vitamin B&...
European Journal Of Clinical Nutrition
comment
0
thumb_up
0
Characterization of liposomes containing Ascorbyl-6-O-conjugated linoleate: Perspective on phase transition and release behavior
Update your browser to view ScienceDirect correctly. Your technical details and browser version: Request ID: 9754e...
Innovative Food Science & Emerging Technologies
comment
0
thumb_up
0
Sequential fermentation with Kluyveromyces marxianus and yogurt starter cultures produces stirred fermented milk with reduced lactose and enhanced natural flavor
Update your browser to view ScienceDirect correctly. Your technical details and browser version: Request ID: 9754e...
Innovative Food Science & Emerging Technologies
comment
0
thumb_up
0
Homologous non-covalent binding mechanism of potato protein and purple potato anthocyanins: Insights into structural and functional benefits
Update your browser to view ScienceDirect correctly. Your technical details and browser version: Request ID: 9754e...
Innovative Food Science & Emerging Technologies
comment
0
thumb_up
0
Innovative bio-based active packaging: Functional composite films reinforced with biochar for meat preservation
Update your browser to view ScienceDirect correctly. Your technical details and browser version: Request ID: 9754e...
Innovative Food Science & Emerging Technologies
comment
0
thumb_up
0
Preparation of CAB/FMWCNT nanocomposite membranes for barberry juice concentration in forward osmosis process
Update your browser to view ScienceDirect correctly. Your technical details and browser version: Request ID: 9754e...
Innovative Food Science & Emerging Technologies
comment
0
thumb_up
0
Process-function assessment of Pleurotus and Auricularia powders as wheat flour substitutes
Update your browser to view ScienceDirect correctly. Your technical details and browser version: Request ID: 9754e...
Innovative Food Science & Emerging Technologies
comment
0
thumb_up
0
Optimizing crispness and nutrient retention in carrot snacks: Multi-stage drying via microwave-infrared and negative pressure puffing with moisture-dependent transition
Update your browser to view ScienceDirect correctly. Your technical details and browser version: Request ID: 9754e...
Innovative Food Science & Emerging Technologies
comment
0
thumb_up
0
Lactose removal in dairy products using immobilized on glass plates polyelectrolyte microcapsules with encapsulated β-galactosidase
Update your browser to view ScienceDirect correctly. Your technical details and browser version: Request ID: 9754e...
Innovative Food Science & Emerging Technologies
comment
0
thumb_up
0
Quorum sensing mediated kefir grain extracellular matrix formation hypothesis based on biofilm
Update your browser to view ScienceDirect correctly. Your technical details and browser version: Request ID: 9754e...
Innovative Food Science & Emerging Technologies
comment
0
thumb_up
0
Cortex degradation plays a critical role in modulating the pressure resistance of Bacillus spores and their inactivation under high-pressure treatments
Update your browser to view ScienceDirect correctly. Your technical details and browser version: Request ID: 9754e...
Innovative Food Science & Emerging Technologies
comment
0
thumb_up
0
Solid-state microwave phase control for improved heating patterns in single-mode cavities
Update your browser to view ScienceDirect correctly. Your technical details and browser version: Request ID: 9754e...
Innovative Food Science & Emerging Technologies
comment
0
thumb_up
0
Characterization of a low-phytate pea protein isolate obtained by electroacidification, and comparison with conventional pea protein extracts
Update your browser to view ScienceDirect correctly. Your technical details and browser version: Request ID: 9754e...
Innovative Food Science & Emerging Technologies
comment
0
thumb_up
0
Load More
Modal title
×
Modal title
×
Share
Login
Global News and Health Forum
Join Now!
Member Login
Remember me
Forgot password?
Or using
Linkedin