×
Close
Sign Up
Login
Home
SCI Abstract
Library D
Events & Partner
WeMed
MDLA Events Platform
Events
Media Partners
Educational Partner
User Tools
FAQ/USER GUIDE
Language
English
中文/ Chinese
French
Português
Español
Arabic
Russian
Contact Us
×
Close
mdla_1
mdla_2
mdla_3
mdla_4
mdla_5
mdla_6
Categories
Oncology
52506
Global Medical University
5141
Allergy
1792
Anatomy & Morphology
1584
Andrology
379
Anesthesia & Intensive Care
1300
Anesthesiology
5399
Audiology & Speech-Language Pathology
347
Behavioral Sciences
105
Biochemical Research Methods
7243
Biochemistry & Molecular Biology
30077
Biodiversity Conservation
330
Biology
8515
Biophysics
8292
Biotechnology & Applied Microbiology
8662
Cardiac & Cardiovascular Systems
31125
Cardiovascular & Respiratory Systems
1413
Cell & Tissue Engineering
704
Cell Biology
11182
Chemistry, Analytical
4301
Chemistry, Applied
10948
Chemistry, Medicinal
8755
Chemistry, Multidisciplinary
18521
Clinical Immunology & Infectious Disease
423
Clinical Medicine
8962
Clinical Neurology
16636
Clinical Psychology & Psychiatry
1294
Critical Care Medicine
3163
Dentistry, Oral Surgery & Medicine
13544
Dermatology
7485
Developmental Biology
6954
Ecology
633
Education, Scientific Disciplines
2050
Emergency Medicine
4117
Endocrinology, Metabolism & Nutrition
24622
Engineering, Biomedical
3729
Entomology
489
Environmental Medicine & Public Health
4669
Evolutionary Biology
276
Gastroenterology & Hepatology
12236
General & Internal Medicine
7013
Genetics & Heredity
15196
Geriatrics & Gerontology
5075
Gerontology
382
Health Care Sciences & Services
16165
Health Policy & Services
604
Hematology
5578
Immunology
24850
Infectious Diseases
14017
Integrative & Complementary Medicine
2943
Medical Ethics
1239
Medical Informatics
2232
Medical Laboratory Technology
419
Medicine, General & Internal
44379
Medicine, Legal
532
Medicine, Research & Experimental
17792
Microbiology
23387
Mycology
0
Nanoscience & Nanotechnology
5388
Neuroimaging
1365
Neurology
4562
Neurosciences
39861
Nursing
9787
Nutrition & Dietetics
7849
Obstetrics & Gynecology
8277
Ophthalmology
9749
Optics
4279
Orthopedics
11803
Orthopedics, Rehabilitation & Sports Medicine
1828
Otolaryngology
1583
Otorhinolaryngology
4894
Parasitology
1167
Pathology
5148
Pediatrics
21618
Peripheral Vascular Disease
4767
Pharmacology & Pharmacy
35500
Pharmacology/Toxicology
12212
Physiology
8922
Polymer Science
542
Primary Health Care
837
Psychiatry
19132
Psychology
5240
Psychology, Applied
111
Psychology, Biological
390
Psychology, Clinical
811
Psychology, Developmental
273
Psychology, Educational
164
Psychology, Experimental
171
Psychology, Mathematical
0
Psychology, Multidisciplinary
1694
Psychology, Psychoanalysis
30
Psychology, Social
131
Public Health & Health Care Science
2225
Public, Environmental & Occupational Health
27291
Quantum Science & Technology
0
Radiology, Nuclear Medicine & Imaging
12500
Radiology, Nuclear Medicine & Medical Imaging
8264
Rehabilitation
3074
Remote Sensing
0
Reproductive Biology
2872
Reproductive Medicine
1212
Research/Laboratory Medicine & Medical Technology
4029
Respiratory System
7421
Rheumatology
6029
Social Sciences, Biomedical
1178
Substance Abuse
2771
Surgery
33948
Toxicology
4445
Transplantation
938
Tropical Medicine
300
Urology & Nephrology
12890
Veterinary Sciences
35
Virology
2551
Zoology
0
Channels
FAMILIAL CANCER
180
Pathology Society Understanding disease
52
Asian Journal of Oncology
57
Medrxiv - Oncology
840
AMERICAN JOURNAL OF CLINICAL ONCOLOGY-CANCER CLINICAL TRIALS
217
BONE MARROW TRANSPLANTATION
778
BREAST CANCER RESEARCH
303
BREAST CANCER RESEARCH AND TREATMENT
736
BRITISH JOURNAL OF CANCER
1008
CA-A CANCER JOURNAL FOR CLINICIANS
24
CANCER
419
CANCER AND METASTASIS REVIEWS
221
CANCER CELL INTERNATIONAL
906
CANCER DISCOVERY
156
CANCER MEDICINE
456
CANCER PREVENTION RESEARCH
62
CANCER RESEARCH
277
CANCER RESEARCH AND TREATMENT
20
CANCER SCIENCE
237
CANCERS
4428
CLINICAL CANCER RESEARCH
292
CLINICAL EPIGENETICS
439
CURRENT ONCOLOGY REPORTS
425
CURRENT OPINION IN ONCOLOGY
227
CURRENT TREATMENT OPTIONS IN ONCOLOGY
325
EXPERIMENTAL CELL RESEARCH
799
HEMATOLOGICAL ONCOLOGY
152
INTERNATIONAL JOURNAL OF CANCER
292
JOURNAL FOR IMMUNOTHERAPY OF CANCER
1358
JOURNAL OF CANCER
20
JOURNAL OF CANCER RESEARCH AND CLINICAL ONCOLOGY
978
JOURNAL OF CLINICAL ONCOLOGY
966
JOURNAL OF EXPERIMENTAL & CLINICAL CANCER RESEARCH
777
JOURNAL OF HEMATOLOGY & ONCOLOGY
384
JOURNAL OF NEURO-ONCOLOGY
734
JOURNAL OF PATHOLOGY
39
JOURNAL OF SURGICAL ONCOLOGY
240
LEUKEMIA
757
LIVER CANCER
135
MEDICAL ONCOLOGY
400
MOLECULAR CANCER
472
MOLECULAR CANCER THERAPEUTICS
157
MOLECULAR ONCOLOGY
196
NATURE REVIEWS CANCER
313
NATURE REVIEWS CLINICAL ONCOLOGY
340
NEOPLASIA
294
ONCOGENE
982
ONCOGENESIS
188
ONCOLOGIST
204
ONCOLOGY-NEW YORK
72
ONCOTARGETS AND THERAPY
611
PSYCHO-ONCOLOGY
158
SURGICAL ONCOLOGY-OXFORD
349
THERAPEUTIC ADVANCES IN MEDICAL ONCOLOGY
86
ASIA-PACIFIC JOURNAL OF CLINICAL ONCOLOGY
143
BMC CANCER
1878
CANCER EPIDEMIOLOGY
462
CANCER GENETICS
31
CANCER MANAGEMENT AND RESEARCH
1012
CURRENT ONCOLOGY
803
FRONTIERS IN ONCOLOGY
10028
FUTURE ONCOLOGY
111
GENES CHROMOSOMES & CANCER
50
HEREDITARY CANCER IN CLINICAL PRACTICE
98
INFECTIOUS AGENTS AND CANCER
183
INTEGRATIVE CANCER THERAPIES
69
INTERNATIONAL JOURNAL OF GYNECOLOGICAL CANCER
649
JOURNAL OF BUON
25
JOURNAL OF CANCER RESEARCH AND THERAPEUTICS
294
JOURNAL OF HEPATOCELLULAR CARCINOMA
424
ONCOLOGY
91
ONCOLOGY RESEARCH AND TREATMENT
163
PEDIATRIC BLOOD & CANCER
403
SEMINARS IN ONCOLOGY NURSING
319
TECHNOLOGY IN CANCER RESEARCH & TREATMENT
204
THORACIC CANCER
271
TUMORI J
67
INDIAN JOURNAL OF CANCER
122
JOURNAL OF ONCOLOGY PRACTICE
434
PHOTODIAGNOSIS AND PHOTODYNAMIC THERAPY
965
RADIATION ONCOLOGY
521
WORLD CANCER RESEARCH JOURNAL
137
SOUTH ASIAN JOURNAL OF CANCER
314
BREAST CANCER-BASIC AND CLINICAL RESEARCH
19
CANCER REPORTS
164
CASE REPORTS IN ONCOLOGY
348
CLINICAL CANCER INVESTIGATION JOURNAL
10
CURRENT BREAST CANCER REPORTS
120
CURRENT CANCER THERAPY REVIEWS
16
CURRENT COLORECTAL CANCER REPORTS
28
INDIAN JOURNAL OF SURGICAL ONCOLOGY
552
INTERNATIONAL CANCER CONFERENCE JOURNAL
212
INTERNATIONAL JOURNAL OF SURGERY-ONCOLOGY
18
JMIR CANCER
218
JOURNAL OF GASTROINTESTINAL CANCER
408
JOURNAL OF KIDNEY CANCER AND VHL
94
JOURNAL OF THE EGYPTIAN NATIONAL CANCER INSTITUTE
138
RARE TUMORS
23
REHABILITATION ONCOLOGY
107
MEMO-MAGAZINE OF EUROPEAN MEDICAL ONCOLOGY
241
MIDDLE EAST JOURNAL OF CANCER
200
NATURE CANCER
438
ONCOLOGY AND THERAPY
156
ONCOLOGY REVIEWS
36
ONKOLOGIJA
39
HORMONES & CANCER / DISCOVER ONCOLOGY
235
INTERNATIONAL JOURNAL OF CLINICAL ONCOLOGY
539
JOURNAL OF MAMMARY GLAND BIOLOGY AND NEOPLASIA
99
MEDICAL ONCOLOGY
379
PATHOLOGY & ONCOLOGY RESEARCH
21
PSYCHO-ONCOLOGIE
20
STRAHLENTHERAPIE UND ONKOLOGIE
410
SUPPORTIVE CARE IN CANCER
1162
TARGETED ONCOLOGY
248
SCI Abstract
search
ALL
RECOMMENDED
+
Genetics, genomics and clinical features of adenomatous polyposis
Adenomatous polyposis syndromes are hereditary conditions characterised by the development of multiple adenomas in the gas...
Familial Cancer
comment
0
thumb_up
0
A review of somatic mosaicism and specific variants - I1307K and promotor variants
In the majority of patients with a classical Familial Adenomatous Polyposis (FAP) a pathogenic APC germline variant is ide...
Familial Cancer
comment
0
thumb_up
0
The clinicopathological features of breast cancer in Peutz-Jeghers syndrome: results from an international survey
Background: Female patients with Peutz-Jeghers syndrome (PJS) have an increased risk of breast cancer (BrCa), and surveill...
Familial Cancer
comment
0
thumb_up
0
Intestinal transplantation in Familial Adenomatous Polyposis
In patients with Familial Adenomatous Polyposis (FAP), large desmoid tumors can develop all over the body. However, the mo...
Familial Cancer
comment
0
thumb_up
0
A series of reviews in familial cancer: genetic cancer risk in context variants of uncertain significance in MMR genes: which procedures should be followed?
Interpreting variants of uncertain significance (VUS) in mismatch repair (MMR) genes remains a major challenge in managing...
Familial Cancer
comment
0
thumb_up
0
Evaluation of testing rates in epithelial ovarian cancer patients: lessons learned from real-world clinical data
Identification of somatic and germline BRCA1/2 pathogenic variants in epithelial ovarian cancer (EOC) patients is essentia...
Familial Cancer
comment
0
thumb_up
0
Upper GI polyposis and cancer in FAP: diagnosis, surveillance and treatment
Colorectal cancer can be prevented in most patients with FAP by performing (procto)colectomy and lifelong endoscopic surve...
Familial Cancer
comment
0
thumb_up
0
Pancreatic adenocarcinoma in a patient with a germline pathogenic variant
Germline pathogenic variants (GPVs) in RB1 are associated with the pediatric-onset intra-ocular malignancy retinoblastoma ...
Familial Cancer
comment
0
thumb_up
0
Screening of biobank SNP-array genotyping data to detect Lynch syndrome predisposing copy number variants
Efficient use of genetic biobank data in support of clinical care would enhance the adoption of personalized medicine. Ide...
Familial Cancer
comment
0
thumb_up
0
Strategic Plan of the Collaborative Group of the Americas on Inherited Gastrointestinal Cancer (CGA-IGC): A practical roadmap to move the hereditary gastrointestinal cancer field forward
The Collaborative Group of the Americas on Inherited Gastrointestinal Cancer (CGA-IGC) is an organization of healthcare pr...
Familial Cancer
comment
0
thumb_up
0
Redefining familial adenomatous polyposis: competition, cooperation, and the path to monoclonality
Familial adenomatous polyposis (FAP) is a hereditary cancer syndrome characterized by germline mutations in the APC gene t...
Familial Cancer
comment
0
thumb_up
0
Familial adenomatous polyposis: non-surgical management of large bowel disease: endoscopic and chemoprevention strategies
Familial adenomatous polyposis (FAP) is a hereditary disorder caused by constitutional pathogenic variants in the APC gene...
Familial Cancer
comment
0
thumb_up
0
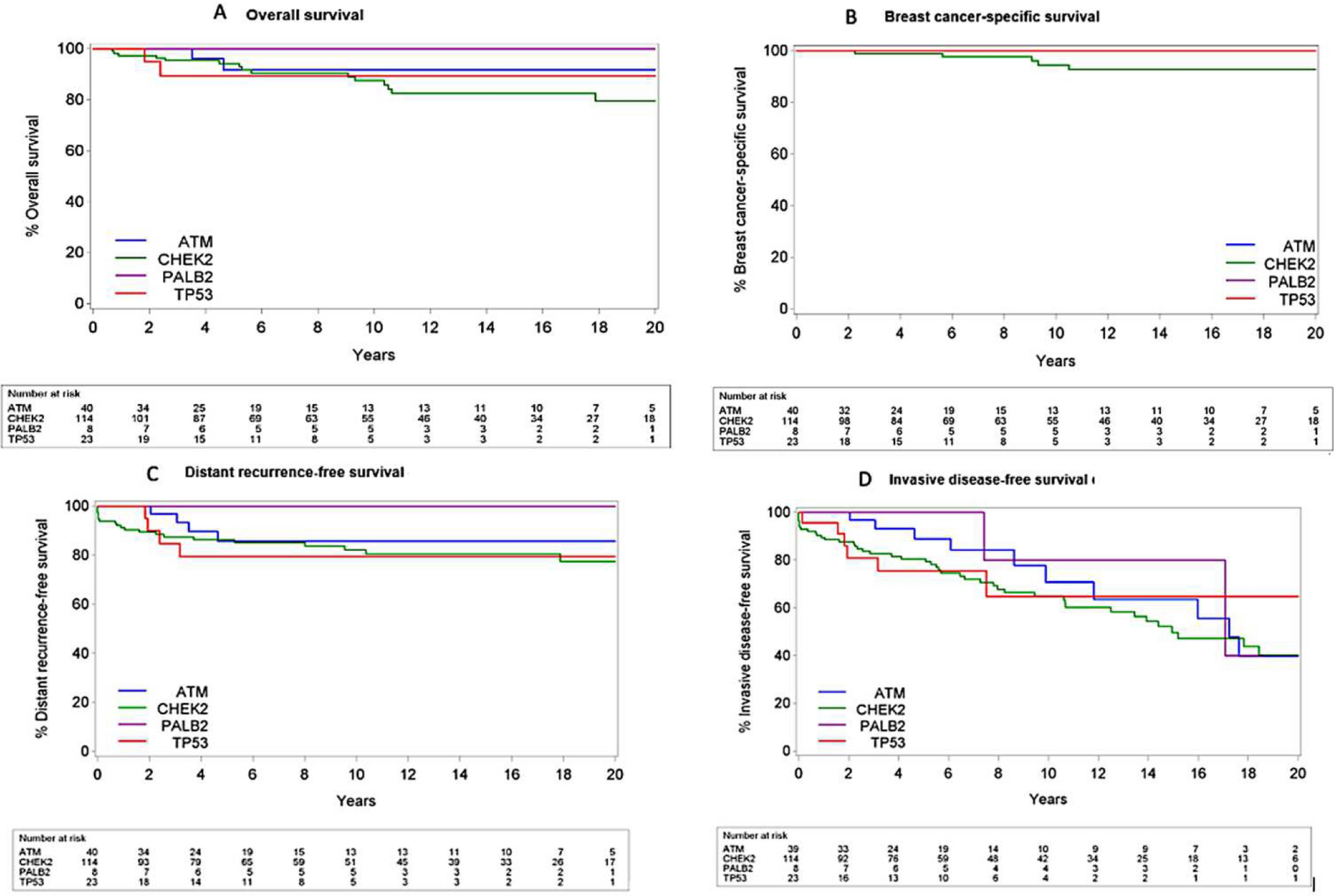
Hereditary breast cancer beyond : clinicopathological characteristics and long-term outcomes
Limited data exist on hereditary breast cancer characteristics and treatment driven by germline mutations beyond BRCA. Our...
Familial Cancer
comment
0
thumb_up
0
A coordinated multidisciplinary model of care is needed for child and family centered care in pediatric genetic cancer risk services: a scoping review
Cancer remains a leading cause of death in children/adolescents. Approximately 8–18% of children/adolescents with ca...
Familial Cancer
comment
0
thumb_up
0
Updates and controversies for desmoids in familial adenomatous polyposis
Desmoids are rare non-cancerous fibrous growths with variable behavior ranging from slow indolent growth or even regressio...
Familial Cancer
comment
0
thumb_up
0
Completeness of colorectal cancer registration in the Danish hereditary non-polyposis colorectal cancer (HNPCC) register
The Danish Hereditary Non-Polyposis Colorectal Cancer Register (HNPCC-R) has formed the basis for many epidemiologic studi...
Familial Cancer
comment
0
thumb_up
0
In Memoriam: Steffen Bülow (1943–2023)
Last week, we received the sad news that Steffen Bülow had passed away at December 2...
Familial Cancer
comment
0
thumb_up
0
MSH6-proficient crypt foci in MSH6 constitutional mismatch repair deficiency: reversion of a frameshifted coding microsatellite to its wild-type sequence
The discovery of “mismatch repair deficient (MMRd)-crypt foci” in non-neoplastic intestinal mucosa in Lynch sy...
Familial Cancer
comment
0
thumb_up
0
Pilot study of a decision aid on BRCA1/2 genetic testing among Orthodox Jewish women
Orthodox Jewish women face unique social, cultural, and religious factors that may influence uptake of BRCA1/2 genetic tes...
Familial Cancer
comment
0
thumb_up
0
Digital innovation for cancer risk assessment allows large-scale service redevelopment of regional cancer genetics service delivery
Family-history assessment can identify individuals above population-risk for cancer to enable targeted Screening, Preventi...
Familial Cancer
comment
0
thumb_up
0
A retrospective cohort study of genetic referral and diagnosis of Birt-Hogg-Dubé Syndrome in patients with Trichodiscoma and Fibrofolliculoma skin lesions
Birt-Hogg-Dubé (BHD) syndrome is a genetic condition caused by pathogenic variants in the FLCN gene resulting in beni...
Familial Cancer
comment
0
thumb_up
0
Germline pathogenic variants in RNF43 in patients with and without serrated polyposis syndrome
Serrated Polyposis Syndrome (SPS) is characterized by multiple and/or large serrated polyps in the colon and an increased ...
Familial Cancer
comment
0
thumb_up
0
BRCAIndica: a resource for ACMG/AMP classified BRCA1 and BRCA2 variants
As genetic testing becomes increasingly accessible and affordable, the uniform and accurate interpretation of genetic vari...
Familial Cancer
comment
0
thumb_up
0
Prevalence of cardiometabolic outcomes in women who underwent salpingo-oophorectomy to prevent hereditary breast and ovarian cancer: a meta-analysis
Risk reduction salpingo-oophorectomy (RRSO) is usually performed in women with hereditary breast and ovarian cancer (HBOC)...
Familial Cancer
comment
0
thumb_up
0
Mainstreaming cancer genetics: feasibility of an advanced nurse practitioner-led service diagnosing Lynch syndrome from colorectal cancer in Ireland
Colorectal cancer (CRC) is a common cancer in Ireland. Of all CRCs, 2–4% are attributable to Lynch Syndrome (LS), th...
Familial Cancer
comment
0
thumb_up
0
The genetic landscape of Lynch syndrome in the Israeli population
Deciphering the spectrum and founder disease-causing variants (DCVs) in specific populations can shape and facilitate the ...
Familial Cancer
comment
0
thumb_up
0
Cascade genetic testing in hereditary cancer: exploring the boundaries of the Italian legal framework
Despite its clinical value, cascade genetic testing (CGT) in hereditary cancer syndromes remains underutilized for a numbe...
Familial Cancer
comment
0
thumb_up
0
Sarcomas arising in MEN1 patients: demonstrating LOH of the MEN1 locus and loss of menin expression
Multiple endocrine neoplasia type 1 (MEN1) is a hereditary tumor syndrome characterized by endocrine tumors, typically fro...
Familial Cancer
comment
0
thumb_up
0
The Italian registry of families at risk for pancreatic cancer (IRFARPC): implementation and evolution of a national program for pancreatic cancer surveillance in high-risk individuals
Screening programs for early detection and treatment of pancreatic cancer (PC) and its precursor lesions are increasingly ...
Familial Cancer
comment
0
thumb_up
0
Can our experience with surveillance for inherited pancreatic cancer help to identify early pancreatic cancer in the general population?
Screening of the general population for cancer is a matter of primary prevention reducing the burden of disease. Whilst th...
Familial Cancer
comment
0
thumb_up
0
Load More
Modal title
×
Modal title
×
Share
Login
Global News and Health Forum
Join Now!
Member Login
Remember me
Forgot password?
Or using
Linkedin