×
Close
Sign Up
Login
Home
SCI Abstract
Library D
Events & Partner
WeMed
MDLA Events Platform
Events
Media Partners
Educational Partner
User Tools
FAQ/USER GUIDE
Language
English
中文/ Chinese
French
Português
Español
Arabic
Russian
Contact Us
×
Close
mdla_1
mdla_2
mdla_3
mdla_4
mdla_5
mdla_6
Categories
Neurosciences
39862
Global Medical University
5141
Allergy
1792
Anatomy & Morphology
1584
Andrology
379
Anesthesia & Intensive Care
1300
Anesthesiology
5399
Audiology & Speech-Language Pathology
347
Behavioral Sciences
105
Biochemical Research Methods
7248
Biochemistry & Molecular Biology
30077
Biodiversity Conservation
330
Biology
8515
Biophysics
8297
Biotechnology & Applied Microbiology
8663
Cardiac & Cardiovascular Systems
31125
Cardiovascular & Respiratory Systems
1413
Cell & Tissue Engineering
704
Cell Biology
11182
Chemistry, Analytical
4301
Chemistry, Applied
10962
Chemistry, Medicinal
8755
Chemistry, Multidisciplinary
18521
Clinical Immunology & Infectious Disease
423
Clinical Medicine
8963
Clinical Neurology
16636
Clinical Psychology & Psychiatry
1294
Critical Care Medicine
3163
Dentistry, Oral Surgery & Medicine
13544
Dermatology
7485
Developmental Biology
6954
Ecology
633
Education, Scientific Disciplines
2050
Emergency Medicine
4120
Endocrinology, Metabolism & Nutrition
24626
Engineering, Biomedical
3729
Entomology
489
Environmental Medicine & Public Health
4669
Evolutionary Biology
276
Gastroenterology & Hepatology
12247
General & Internal Medicine
6993
Genetics & Heredity
15197
Geriatrics & Gerontology
5075
Gerontology
382
Health Care Sciences & Services
16168
Health Policy & Services
604
Hematology
5578
Immunology
24852
Infectious Diseases
14018
Integrative & Complementary Medicine
2943
Medical Ethics
1239
Medical Informatics
2232
Medical Laboratory Technology
419
Medicine, General & Internal
44379
Medicine, Legal
532
Medicine, Research & Experimental
17793
Microbiology
23388
Mycology
0
Nanoscience & Nanotechnology
5368
Neuroimaging
1366
Neurology
4562
Nursing
9787
Nutrition & Dietetics
7849
Obstetrics & Gynecology
8278
Oncology
52499
Ophthalmology
9752
Optics
4279
Orthopedics
11803
Orthopedics, Rehabilitation & Sports Medicine
1828
Otolaryngology
1584
Otorhinolaryngology
4894
Parasitology
1167
Pathology
5149
Pediatrics
21618
Peripheral Vascular Disease
4767
Pharmacology & Pharmacy
35501
Pharmacology/Toxicology
12212
Physiology
8922
Polymer Science
542
Primary Health Care
837
Psychiatry
19134
Psychology
5240
Psychology, Applied
111
Psychology, Biological
390
Psychology, Clinical
811
Psychology, Developmental
273
Psychology, Educational
164
Psychology, Experimental
171
Psychology, Mathematical
0
Psychology, Multidisciplinary
1694
Psychology, Psychoanalysis
30
Psychology, Social
131
Public Health & Health Care Science
2225
Public, Environmental & Occupational Health
27292
Quantum Science & Technology
0
Radiology, Nuclear Medicine & Imaging
12500
Radiology, Nuclear Medicine & Medical Imaging
8264
Rehabilitation
3076
Remote Sensing
0
Reproductive Biology
2872
Reproductive Medicine
1212
Research/Laboratory Medicine & Medical Technology
4029
Respiratory System
7421
Rheumatology
6031
Social Sciences, Biomedical
1178
Substance Abuse
2771
Surgery
33928
Toxicology
4445
Transplantation
938
Tropical Medicine
300
Urology & Nephrology
12873
Veterinary Sciences
35
Virology
2554
Zoology
0
Channels
PAIN REPORTS
184
BRAIN RESEARCH BULLETIN
0
CELLULAR AND MOLECULAR NEUROBIOLOGY
484
CEREBELLUM
402
CLINICAL NEUROPHYSIOLOGY
0
COGNITIVE COMPUTATION
423
COGNITIVE NEURODYNAMICS
401
CORTEX
596
CURRENT OPINION IN BEHAVIORAL SCIENCES
235
EUROPEAN JOURNAL OF NEUROLOGY
383
EXPERIMENTAL NEUROLOGY
658
FRONTIERS IN AGING NEUROSCIENCE
2724
FRONTIERS IN BEHAVIORAL NEUROSCIENCE
989
FRONTIERS IN CELLULAR NEUROSCIENCE
1420
FRONTIERS IN MOLECULAR NEUROSCIENCE
1437
FRONTIERS IN NEUROENDOCRINOLOGY
158
FRONTIERS IN NEUROLOGY
5459
FRONTIERS IN NEUROROBOTICS
612
FRONTIERS IN NEUROSCIENCE
4539
FRONTIERS IN SYSTEMS NEUROSCIENCE
303
GENES BRAIN AND BEHAVIOR
31
HUMAN BRAIN MAPPING
261
JOURNAL OF CEREBRAL BLOOD FLOW AND METABOLISM
101
JOURNAL OF COMPARATIVE NEUROLOGY
102
JOURNAL OF HEADACHE AND PAIN
401
JOURNAL OF NEURAL ENGINEERING
608
JOURNAL OF NEUROCHEMISTRY
206
JOURNAL OF NEUROSCIENCE
1687
JOURNAL OF NEUROSCIENCE RESEARCH
113
JOURNAL OF PAIN
16
JOURNAL OF PARKINSONS DISEASE
6
JOURNAL OF PINEAL RESEARCH
29
JOURNAL OF SLEEP RESEARCH
185
MOLECULAR AUTISM
137
MOLECULAR BRAIN
166
MOLECULAR NEUROBIOLOGY
920
MOLECULAR NEURODEGENERATION
227
MOLECULAR PAIN
34
MOLECULAR PSYCHIATRY
1010
NATURE NEUROSCIENCE
635
NATURE REVIEWS NEUROSCIENCE
317
NEUROBIOLOGY OF DISEASE
782
NEUROSCIENCE
0
NEUROSCIENCE AND BIOBEHAVIORAL REVIEWS
0
PAIN
599
PROGRESS IN NEUROBIOLOGY
0
PSYCHOPHARMACOLOGY
1156
ASN NEURO
24
BEHAVIORAL AND BRAIN FUNCTIONS
54
BIOLOGICAL PSYCHIATRY-COGNITIVE NEUROSCIENCE AND NEUROIMAGING
0
BRAIN AND BEHAVIOR
270
BRAIN AND COGNITION
0
BRAIN BEHAVIOR AND EVOLUTION
83
BRAIN RESEARCH
0
EUROPEAN JOURNAL OF NEUROSCIENCE
356
FRONTIERS IN INTEGRATIVE NEUROSCIENCE
268
FRONTIERS IN NEUROINFORMATICS
314
INTERNATIONAL CLINICAL PSYCHOPHARMACOLOGY
49
JOURNAL OF CHILD NEUROLOGY
77
JOURNAL OF NEUROPHYSIOLOGY
531
JOURNAL OF NEUROPSYCHIATRY AND CLINICAL NEUROSCIENCES
187
JOURNAL OF NEUROSCIENCE METHODS
1
JOURNAL OF THE PERIPHERAL NERVOUS SYSTEM
25
MOLECULAR AND CELLULAR NEUROSCIENCE
70
NEUROLOGY INDIA
414
NEUROPSYCHOLOGIA
0
NEUROREPORT
261
NEUROSCIENCE LETTERS
0
SYNAPSE
9
INTERNATIONAL REVIEW OF NEUROBIOLOGY
325
JOURNAL OF COMPARATIVE PHYSIOLOGY A-NEUROETHOLOGY SENSORY NEURAL AND BEHAVIORAL PHYSIOLOGY
233
JOURNAL OF STROKE & CEREBROVASCULAR DISEASES
35
REVUE NEUROLOGIQUE
483
TRENDS IN NEUROSCIENCE AND EDUCATION
81
BRAIN-BROAD RESEARCH IN ARTIFICIAL INTELLIGENCE AND NEUROSCIENCE
126
EGYPTIAN JOURNAL OF NEUROLOGY PSYCHIATRY AND NEUROSURGERY
389
INDIAN JOURNAL OF NEUROTRAUMA
120
INTERNATIONAL JOURNAL OF TRYPTOPHAN RESEARCH
11
NEUROSCIENCE INSIGHTS
18
EXPERIMENTAL BRAIN RESEARCH
606
INVERTEBRATE NEUROSCIENCE
20
JARO-JOURNAL OF THE ASSOCIATION FOR RESEARCH IN OTOLARYNGOLOGY
186
JOURNAL OF COMPUTATIONAL NEUROSCIENCE
106
JOURNAL OF MOLECULAR NEUROSCIENCE
392
JOURNAL OF NEURAL TRANSMISSION
419
NEUROCHEMICAL JOURNAL
194
NEUROINFORMATICS
201
NEUROMOLECULAR MEDICINE
201
NEUROPSYCHOLOGY REVIEW
179
NEUROSCIENCE BULLETIN
482
NEUROTOXICITY RESEARCH
319
PSYCHOPHARMACOLOGY
389
PURINERGIC SIGNALLING
219
SCI Abstract
search
ALL
RECOMMENDED
+
Harnessing spectra of pain psychology treatment design to improve patient access to care
Commentary on: Darnall BD, Burns JW, Hong J, Roy A, Slater K, Poupore-King H, Ziadni MS, You DS, Jun
Pain Reports
comment
0
thumb_up
0
Quantitative sensory testing for assessment of somatosensory function in children and adolescents: a scoping review
Quantitative sensory testing (QST) refers to a group of noninvasive psychophysical tests that examin
Pain Reports
comment
0
thumb_up
0
Preliminary development of a measure of parental behavioral responses to everyday pains in young children: the PREP
Introduction: Everyday pains are experienced frequently by young children. Parent responses shape
Pain Reports
comment
0
thumb_up
0
The course of acute low back pain: a community-based inception cohort study
Introduction: Acute low back pain (LBP) is increasingly recognized for its potential recurrent na
Pain Reports
comment
0
thumb_up
0
Systemic low-grade C-reactive protein is associated with proximal symptom spread in carpal tunnel syndrome
Introduction: Neuropathic pain is a highly prevalent condition associated with persistent disabil
Pain Reports
comment
0
thumb_up
0
Abstracts from the International Pelvic Pain Society (IPPS) annual scientific meeting on pelvic pain 2022
Effect of multidose ibuprofen on intrauterine device insertional pain level Quach, Ha, Ouyang, Cb, Wang, Ab, Ca...
Pain Reports
comment
0
thumb_up
0
Non-obese lipedema patients show a distinctly altered quantitative sensory testing profile with high diagnostic potential
Introduction and Objectives: Lipedema is a widespread severe chronic disease affecting mostly wom
Pain Reports
comment
0
thumb_up
0
Integrated pain care models and the importance of aligning stakeholder values
In a report from the Agency for Healthcare Research and Quality, 5% of the US population with complex chronic diseases acc...
Pain Reports
comment
0
thumb_up
0
A domain-oriented approach to characterizing movement-evoked pain
Introduction: Movement-evoked pain (MEP) impacts a substantial proportion of US adults living wit
Pain Reports
comment
0
thumb_up
0
Investigating the fluctuating nature of post-COVID pain symptoms in previously hospitalized COVID-19 survivors: the LONG-COVID-EXP multicenter study
Objective: This cohort study used Sankey plots and exponential bar plots for visualizing the fluc
Pain Reports
comment
0
thumb_up
0
The role of sleep disturbance in reduced accuracy on a divided attention task among patients with fibromyalgia
Introduction: Patients with fibromyalgia show impaired cognitive performance compared with health
Pain Reports
comment
0
thumb_up
0
Reconceptualizing sensitization in pain: back to basics
Associated commentary: Fillingim RB. Redefining sensitization could be a sensitive issue. PAIN Re
Pain Reports
comment
0
thumb_up
0
Redefining sensitization could be a sensitive issue
Commentary on: van den Broeke EN, Crombez G, Vlaeyen JWS. Reconceptualizing sensitization in pain: b
Pain Reports
comment
0
thumb_up
0
Secondary analysis: heat and self-report pain sensitivity associate with biological sex and racialized sociocultural group but may not be mediated by anxiety or pain catastrophizing
Introduction: Previous studies have demonstrated associations between sex and racialized group on
Pain Reports
comment
0
thumb_up
0
Pathology of knee osteoarthritis pain: contribution of joint structural changes and pain sensitization to movement-evoked pain in knee osteoarthritis
Introduction: Movement-evoked pain (MEP) is the primary symptom in patients with knee osteoarthri
Pain Reports
comment
0
thumb_up
0
Distinguishing fibromyalgia syndrome from small fiber neuropathy: a clinical guide
Introduction: Fibromyalgia syndrome (FMS) and small fiber neuropathy (SFN) are distinct pain cond
Pain Reports
comment
0
thumb_up
0
Thank you to PAIN Reports reviewers!
David Yarnitsky, Editor-in-Chief, PAIN Reports Dear PAIN Reports community I am pleased to convey th...
Pain Reports
comment
0
thumb_up
0
Empowered Relief, cognitive behavioral therapy, and health education for people with chronic pain: a comparison of outcomes at 6-month Follow-up for a randomized controlled trial
Introduction: We previously conducted a 3-arm randomized trial (263 adults with chronic low back
Pain Reports
comment
0
thumb_up
0
Tactile acuity improves during acute experimental pain of the limb
Introduction: Chronic pain is associated with poor tactile acuity, commonly measured with the 2-p
Pain Reports
comment
0
thumb_up
0
Understanding the pain experience of lionfish envenomation
Introduction: Stings from the lionfish (Pterois volitans) constitute one of the most painful woun
Pain Reports
comment
0
thumb_up
0
Sex and frequency of pain episodes are associated with acute pain trajectories in adolescents with sickle cell disease
Introduction/Objective: Acute pain episodes are a major cause of health care utilization (HCU) in
Pain Reports
comment
0
thumb_up
0
Big data, big consortia, and pain: UK Biobank, PAINSTORM, and DOLORisk
Chronic pain (CP) is a common and often debilitating disorder that has major social and economic imp
Pain Reports
comment
0
thumb_up
0
Pain associated with COVID-19 vaccination is unrelated to skin biopsy abnormalities
Introduction: Previous clinical observations raised the possibility that COVID-19 vaccination mig
Pain Reports
comment
0
thumb_up
0
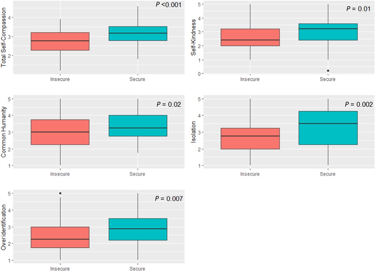
Attachment patterns, self-compassion, and coping strategies in patients with chronic pain
Introduction: In the recent year's literature, attachment insecurity is described as a vulnerabil
Pain Reports
comment
0
thumb_up
0
Thermal threshold testing: call for a balance between the number of measurements and abnormalities in the diagnosis of sarcoidosis-associated small fiber neuropathy
Introduction: Several recent studies of diagnosing small fiber neuropathy (SFN) have shown a lack
Pain Reports
comment
0
thumb_up
0
Increases in local skin temperature correlate with spontaneous foot lifting and heat hyperalgesia in both incisional inflammatory models of pain
Background: This study investigated if a localized increase in skin temperature in rat models of
Pain Reports
comment
0
thumb_up
0
Systematic review of topical interventions for the management of pain in chronic wounds
Chronic wounds adversely affect quality of life. Pain is associated with chronic wounds, and its imp
Pain Reports
comment
0
thumb_up
0
Changes in pain catastrophizing, fear-avoidance beliefs, and pain self-efficacy mediate changes in pain intensity on disability in the treatment of chronic low back pain
Introduction: Treatment of chronic low back pain (CLBP) based on the fear-avoidance model (FAM) h
Pain Reports
comment
0
thumb_up
0
The association of self-reported symptoms of central sensitization and sleep disturbances in neuropathic pain
Introduction: Patients with neuropathic pain (NP) report a higher impairment of quality of life a
Pain Reports
comment
0
thumb_up
0
Quantitative sensory testing as an assessment tool to predict the response to standard pain treatment in knee osteoarthritis: a systematic review and meta-analysis
Emerging evidence suggest that quantitative sensory testing (QST) may predict the treatment response
Pain Reports
comment
0
thumb_up
0
Load More
Modal title
×
Modal title
×
Share
Login
Global News and Health Forum
Join Now!
Member Login
Remember me
Forgot password?
Or using
Linkedin