×
Close
Sign Up
Login
Home
SCI Abstract
Library D
Events & Partner
WeMed
MDLA Events Platform
Events
Media Partners
Educational Partner
User Tools
FAQ/USER GUIDE
Language
English
中文/ Chinese
French
Português
Español
Arabic
Russian
Contact Us
×
Close
mdla_1
mdla_2
mdla_3
mdla_4
mdla_5
mdla_6
Categories
Pharmacology & Pharmacy
35500
Global Medical University
5141
Allergy
1792
Anatomy & Morphology
1584
Andrology
379
Anesthesia & Intensive Care
1300
Anesthesiology
5399
Audiology & Speech-Language Pathology
347
Behavioral Sciences
105
Biochemical Research Methods
7243
Biochemistry & Molecular Biology
30077
Biodiversity Conservation
330
Biology
8515
Biophysics
8292
Biotechnology & Applied Microbiology
8662
Cardiac & Cardiovascular Systems
31125
Cardiovascular & Respiratory Systems
1413
Cell & Tissue Engineering
704
Cell Biology
11182
Chemistry, Analytical
4301
Chemistry, Applied
10948
Chemistry, Medicinal
8755
Chemistry, Multidisciplinary
18521
Clinical Immunology & Infectious Disease
423
Clinical Medicine
8962
Clinical Neurology
16636
Clinical Psychology & Psychiatry
1294
Critical Care Medicine
3163
Dentistry, Oral Surgery & Medicine
13544
Dermatology
7485
Developmental Biology
6954
Ecology
633
Education, Scientific Disciplines
2050
Emergency Medicine
4117
Endocrinology, Metabolism & Nutrition
24622
Engineering, Biomedical
3729
Entomology
489
Environmental Medicine & Public Health
4669
Evolutionary Biology
276
Gastroenterology & Hepatology
12236
General & Internal Medicine
7013
Genetics & Heredity
15196
Geriatrics & Gerontology
5075
Gerontology
382
Health Care Sciences & Services
16165
Health Policy & Services
604
Hematology
5578
Immunology
24850
Infectious Diseases
14017
Integrative & Complementary Medicine
2943
Medical Ethics
1239
Medical Informatics
2232
Medical Laboratory Technology
419
Medicine, General & Internal
44379
Medicine, Legal
532
Medicine, Research & Experimental
17792
Microbiology
23387
Mycology
0
Nanoscience & Nanotechnology
5388
Neuroimaging
1365
Neurology
4562
Neurosciences
39861
Nursing
9787
Nutrition & Dietetics
7849
Obstetrics & Gynecology
8277
Oncology
52486
Ophthalmology
9749
Optics
4279
Orthopedics
11803
Orthopedics, Rehabilitation & Sports Medicine
1828
Otolaryngology
1583
Otorhinolaryngology
4894
Parasitology
1167
Pathology
5148
Pediatrics
21618
Peripheral Vascular Disease
4767
Pharmacology/Toxicology
12212
Physiology
8922
Polymer Science
542
Primary Health Care
837
Psychiatry
19132
Psychology
5240
Psychology, Applied
111
Psychology, Biological
390
Psychology, Clinical
811
Psychology, Developmental
273
Psychology, Educational
164
Psychology, Experimental
171
Psychology, Mathematical
0
Psychology, Multidisciplinary
1694
Psychology, Psychoanalysis
30
Psychology, Social
131
Public Health & Health Care Science
2225
Public, Environmental & Occupational Health
27291
Quantum Science & Technology
0
Radiology, Nuclear Medicine & Imaging
12500
Radiology, Nuclear Medicine & Medical Imaging
8264
Rehabilitation
3074
Remote Sensing
0
Reproductive Biology
2872
Reproductive Medicine
1212
Research/Laboratory Medicine & Medical Technology
4029
Respiratory System
7421
Rheumatology
6029
Social Sciences, Biomedical
1178
Substance Abuse
2771
Surgery
33928
Toxicology
4445
Transplantation
938
Tropical Medicine
300
Urology & Nephrology
12890
Veterinary Sciences
35
Virology
2551
Zoology
0
Channels
PEDIATRIC DRUGS
194
Medrxiv - Pharmacology and Therapeutics
238
AAPS JOURNAL
294
ACTA PHARMACOLOGICA SINICA
523
ADVANCED DRUG DELIVERY REVIEWS
0
ANTIVIRAL RESEARCH
0
CANCER CHEMOTHERAPY AND PHARMACOLOGY
395
CHEMICO-BIOLOGICAL INTERACTIONS
959
CHEMMEDCHEM
258
CLINICAL PHARMACOKINETICS
350
CLINICAL PHARMACOLOGY & THERAPEUTICS
239
CNS DRUGS
234
CNS NEUROSCIENCE & THERAPEUTICS
104
DRUG DISCOVERY TODAY
240
DRUG METABOLISM AND DISPOSITION
408
DRUG RESISTANCE UPDATES
189
DRUG SAFETY
348
DRUGS
459
EUROPEAN JOURNAL OF PHARMACEUTICAL SCIENCES
733
EUROPEAN JOURNAL OF PHARMACEUTICS AND BIOPHARMACEUTICS
659
EUROPEAN JOURNAL OF PHARMACOLOGY
1465
INTERNATIONAL IMMUNOPHARMACOLOGY
2772
INTERNATIONAL JOURNAL OF PHARMACEUTICS
1968
JOURNAL OF CONTROLLED RELEASE
1307
JOURNAL OF ETHNOPHARMACOLOGY
2292
JOURNAL OF FOOD AND DRUG ANALYSIS
183
JOURNAL OF PHARMACEUTICAL ANALYSIS
427
NATURE REVIEWS DRUG DISCOVERY
614
NEUROPHARMACOLOGY
0
NEUROPSYCHOPHARMACOLOGY
712
NEUROTOXICOLOGY
0
PHARMACOGENOMICS
11
PHARMACOLOGY & THERAPEUTICS
384
PHARMACOTHERAPY
54
THERAPEUTIC ADVANCES IN CHRONIC DISEASE
82
TOXICOLOGY AND APPLIED PHARMACOLOGY
1
TOXICOLOGY IN VITRO
463
VALUE IN HEALTH
20
VASCULAR PHARMACOLOGY
0
ANNALS OF PHARMACOTHERAPY
110
ANTIBIOTICS-BASEL
1969
BIOMEDICAL CHROMATOGRAPHY
243
BIOPHARMACEUTICS & DRUG DISPOSITION
20
BRAZILIAN JOURNAL OF PHARMACEUTICAL SCIENCES
0
CHEMOTHERAPY
76
CHINESE MEDICINE
395
CHIRALITY
69
CLINICAL NEUROPHARMACOLOGY
50
CLINICAL PHARMACOLOGY IN DRUG DEVELOPMENT
111
CLINICAL THERAPEUTICS
52
CNS & NEUROLOGICAL DISORDERS-DRUG TARGETS
46
DOSE-RESPONSE
68
DRUG DEVELOPMENT RESEARCH
102
EUROPEAN JOURNAL OF HOSPITAL PHARMACY-SCIENCE AND PRACTICE
305
EUROPEAN REVIEW FOR MEDICAL AND PHARMACOLOGICAL SCIENCES
716
HUMAN & EXPERIMENTAL TOXICOLOGY
105
INTERNATIONAL JOURNAL FOR PARASITOLOGY-DRUGS AND DRUG RESISTANCE
0
INTERNATIONAL JOURNAL OF TOXICOLOGY
36
IRANIAN JOURNAL OF PHARMACEUTICAL RESEARCH
172
JOURNAL OF ANTIBIOTICS
270
JOURNAL OF CARDIOVASCULAR PHARMACOLOGY
383
JOURNAL OF CARDIOVASCULAR PHARMACOLOGY AND THERAPEUTICS
30
JOURNAL OF CLINICAL PHARMACY AND THERAPEUTICS
170
JOURNAL OF DRUG DELIVERY SCIENCE AND TECHNOLOGY
1854
JOURNAL OF INTERNATIONAL MEDICAL RESEARCH
505
JOURNAL OF ONCOLOGY PHARMACY PRACTICE
175
JOURNAL OF PHARMACEUTICAL AND BIOMEDICAL ANALYSIS
0
JOURNAL OF PHARMACOLOGICAL AND TOXICOLOGICAL METHODS
0
JOURNAL OF PHARMACOLOGICAL SCIENCES
0
JOURNAL OF PHARMACY AND PHARMACOLOGY
18
NAUNYN-SCHMIEDEBERGS ARCHIVES OF PHARMACOLOGY
573
PHARMACOEPIDEMIOLOGY AND DRUG SAFETY
121
PHARMACOGENOMICS & PERSONALIZED MEDICINE
320
PHARMACOLOGY
124
PHARMACOLOGY BIOCHEMISTRY AND BEHAVIOR
0
SKIN PHARMACOLOGY AND PHYSIOLOGY
69
THERAPEUTIC ADVANCES IN DRUG SAFETY
22
THERAPEUTIC DRUG MONITORING
156
INDIAN JOURNAL OF PHARMACEUTICAL EDUCATION AND RESEARCH
40
INDIAN JOURNAL OF PHARMACOLOGY
16
JOURNAL OF APPLIED BIOMEDICINE
44
JOURNAL OF THE AMERICAN PHARMACISTS ASSOCIATION
47
REVISTA BRASILEIRA DE FARMACOGNOSIA-BRAZILIAN JOURNAL OF PHARMACOGNOSY
378
THERAPIE
366
SCIENTIA PHARMACEUTICA
97
ADMET AND DMPK
112
ADVANCED THERAPEUTICS
83
ADVANCES IN PHARMACOLOGY AND PHARMACY
148
ADVANCES IN TRADITIONAL MEDICINE
42
ASIAN JOURNAL OF PHARMACEUTICAL RESEARCH AND HEALTH CARE
26
ASIAN JOURNAL OF PHARMACEUTICS
166
CANADIAN JOURNAL OF HOSPITAL PHARMACY
179
CURRENT DRUG THERAPY
20
EGYPTIAN PHARMACEUTICAL JOURNAL
42
FUTURE JOURNAL OF PHARMACEUTICAL SCIENCES
280
GABI JOURNAL-GENERICS AND BIOSIMILARS INITIATIVE JOURNAL
72
INTERNATIONAL JOURNAL OF PHARMACEUTICAL INVESTIGATION
212
JOURNAL OF ADVANCED PHARMACEUTICAL TECHNOLOGY & RESEARCH
164
JOURNAL OF ANAESTHESIOLOGY CLINICAL PHARMACOLOGY
29
JOURNAL OF PHARMACEUTICAL HEALTH CARE AND SCIENCES
127
JOURNAL OF PHARMACEUTICAL POLICY AND PRACTICE
288
JOURNAL OF PHARMACOLOGY & PHARMACOTHERAPEUTICS
53
JOURNAL OF PHARMACY AND BIOALLIED SCIENCES
39
JOURNAL OF PHARMACY PRACTICE
78
JOURNAL OF RESEARCH IN PHARMACY PRACTICE
40
RESEARCH JOURNAL OF PHARMACOGNOSY
104
PHARMACEUTICAL MEDICINE
77
PHARMACIA
142
PHARMACOECONOMICS-OPEN
275
PHARMACY
175
PHARMACY PRACTICE-GRANADA
31
DARU-JOURNAL OF PHARMACEUTICAL SCIENCES
139
DRUGS & AGING
261
EUROPEAN JOURNAL OF CLINICAL PHARMACOLOGY
499
INVESTIGATIONAL NEW DRUGS
359
JOURNAL OF PHARMACEUTICAL INNOVATION
359
JOURNAL OF PHARMACOKINETICS AND PHARMACODYNAMICS
198
NEUROTHERAPEUTICS
353
THERAPEUTIC INNOVATION & REGULATORY SCIENCE
327
SCI Abstract
search
ALL
RECOMMENDED
+
Drug–Drug Interactions Involving High-Alert Medications that Lead to Interaction-Associated Symptoms in Pediatric Intensive Care Patients: A Retrospective Study
Children treated in a pediatric intensive care unit (PICU) often receive several drugs together, among them drugs defined ...
Pediatric Drugs
comment
0
thumb_up
0
Adverse Drug Reactions in Children with Congenital Heart Disease: A Scoping Review
Congenital heart disease (CHD) is one of the leading causes of death. Safe and timely medical interventions, especially in...
Pediatric Drugs
comment
0
thumb_up
0
Comparison of Different Doses of Oral and Ocular Propranolol for Retinopathy of Prematurity: A Network Meta-Analysis
The efficacy and safety of propranolol for retinopathy of prematurity (ROP) remain under debate. This network meta-analysi...
Pediatric Drugs
comment
0
thumb_up
0
Paediatric Drug Development in China: Current Status and Future Prospects
For more than two decades, regulatory agencies throughout the world released guidelines, rules and laws to stimulate and a...
Pediatric Drugs
comment
0
thumb_up
0
Role of mTOR Inhibitors in Pediatric Liver Transplant Recipients: A Systematic Review
Immunosuppressive medications play a crucial role in determining both organ and patient survival following liver transplan...
Pediatric Drugs
comment
0
thumb_up
0
Recent Developments in the Treatment of Pediatric Distal Renal Tubular Acidosis
Distal renal tubular acidosis (dRTA) is characterized by a primary defect in proton secretion by α-intercalated cells...
Pediatric Drugs
comment
0
thumb_up
0
The Effect of Levetiracetam and Valproic Acid Treatment on Anger and Attention Deficit Hyperactivity Disorder Clinical Features in Children and Adolescents with Epilepsy: A Prospective Study
Antiseizure medications (ASMs) can potentially trigger psychobehavioral adverse events associated with the onset or exacer...
Pediatric Drugs
comment
0
thumb_up
0
Efficacy and Safety of Vamorolone in Duchenne Muscular Dystrophy: A Systematic Review
Vamorolone has recently been approved for the management of Duchenne muscular dystrophy to replace glucocorticosteroids, w...
Pediatric Drugs
comment
0
thumb_up
0
A Narrative Review of Pain in Pediatric Oncology: The Opioid Option for Procedural and Surgical Pain
This narrative review examines the evolving role of opioids in managing procedural and surgical pain in pediatric oncology...
Pediatric Drugs
comment
0
thumb_up
0
Adverse Event Profile of First-line Drugs for Treating Patent Ductus Arteriosus in Neonates: A Disproportionality Analysis Study of USFDA Adverse Event Reporting System
Acetaminophen, ibuprofen, and indomethacin are widely used as first-line drugs for patent ductus arteriosus (PDA) closure ...
Pediatric Drugs
comment
0
thumb_up
0
Developing CAR T-Cell Therapies for Pediatric Solid Tumors
Chimeric antigen receptor (CAR) T cells have revolutionized the treatment of hematological malignancies, inducing notable ...
Pediatric Drugs
comment
0
thumb_up
0
Gentamicin Pharmacokinetics in Neonates Undergoing Therapeutic Hypothermia for Hypoxic Ischemic Encephalopathy
The purpose of this study was to review the pharmacokinetic profile of gentamicin among neonates with hypoxic ischemic enc...
Pediatric Drugs
comment
0
thumb_up
0
Impact of Prolonged Continuous Ketamine Infusions in Critically Ill Children: A Prospective Cohort Study
Ketamine has been considered as an adjunct for children who do not reach their predefined target sedation depth. However, ...
Pediatric Drugs
comment
0
thumb_up
0
Effectiveness and Safety of Ustekinumab in Pediatric Ulcerative Colitis: A Multi-center Retrospective Study from the Pediatric IBD Porto Group of ESPGHAN
Current data on ustekinumab therapy in children with ulcerative colitis (UC) or unclassified inflammatory bowel disease (I...
Pediatric Drugs
comment
0
thumb_up
0
CROCuS, a Phase II Study Evaluating the Antiviral Activity, Clinical Outcomes, and Safety of Rilematovir in Children Aged ≥ 28 Days and ≤ 3 Years with Acute Respiratory Tract Infection Due to Respiratory Syncytial Virus
Respiratory syncytial virus (RSV) causes significant morbidity and mortality in children aged ≤ 5 years and...
Pediatric Drugs
comment
0
thumb_up
0
Diagnosis and Management of Pediatric Neuropsychiatric Systemic Lupus Erythematosus: An Update
Neuropsychiatric systemic lupus erythematosus (NPSLE) is a potentially serious and life-threatening complication of SLE. T...
Pediatric Drugs
comment
0
thumb_up
0
Alirocumab: Pediatric First Approval
Alirocumab (Praluent®), a proprotein convertase subtilisin kexin type 9 (PCSK9) inhibitor that has been co-developed ...
Pediatric Drugs
comment
0
thumb_up
0
A Pilot Study of Ketotifen in Patients Aged 8–17 Years with Functional Dyspepsia Associated with Mucosal Eosinophilia
Mast cells have been implicated in abdominal pain-associated disorders of gut-brain interaction, such as functional dyspep...
Pediatric Drugs
comment
0
thumb_up
0
Personalized Dosing of Medicines for Children: A Primer on Pediatric Pharmacometrics for Clinicians
The widespread use of drugs for unapproved purposes remains common in children, primarily attributable to practical, ethic...
Pediatric Drugs
comment
0
thumb_up
0
Distribution of Bevacizumab into the Cerebrospinal Fluid of Children and Adolescents with Recurrent Brain Tumors
To date, evidence has been lacking regarding bevacizumab pharmacokinetics in the cerebrospinal fluid (CSF). This study ass...
Pediatric Drugs
comment
0
thumb_up
0
A Narrative Review of Pain in Pediatric Oncology: The Opioid Option
Opioid therapy is the mainstay for managing pain in pediatric oncology. This narrative review describes the current litera...
Pediatric Drugs
comment
0
thumb_up
0
Real-World Data on the Use of Sirolimus in Asian Children with Vascular Malformations
The management of vascular malformations is complex and challenging. This study aimed to explore efficacy, plasma trough c...
Pediatric Drugs
comment
0
thumb_up
0
Improving Methylphenidate Titration in Children with Attention-Deficit/Hyperactivity Disorder (ADHD): A Randomized Controlled Trial Using Placebo-Controlled Titration Implemented in Clinical Practice
Concerns exist regarding the rising use of methylphenidate. A double-blind, placebo-controlled methylphenidate titration (...
Pediatric Drugs
comment
0
thumb_up
0
Existing and Emerging Targeted Therapies in Juvenile Psoriatic Arthritis: Challenges and Unmet Needs
Juvenile psoriatic arthritis (JPsA) is a heterogeneous type of non-systemic chronic inflammatory arthritis affecting child...
Pediatric Drugs
comment
0
thumb_up
0
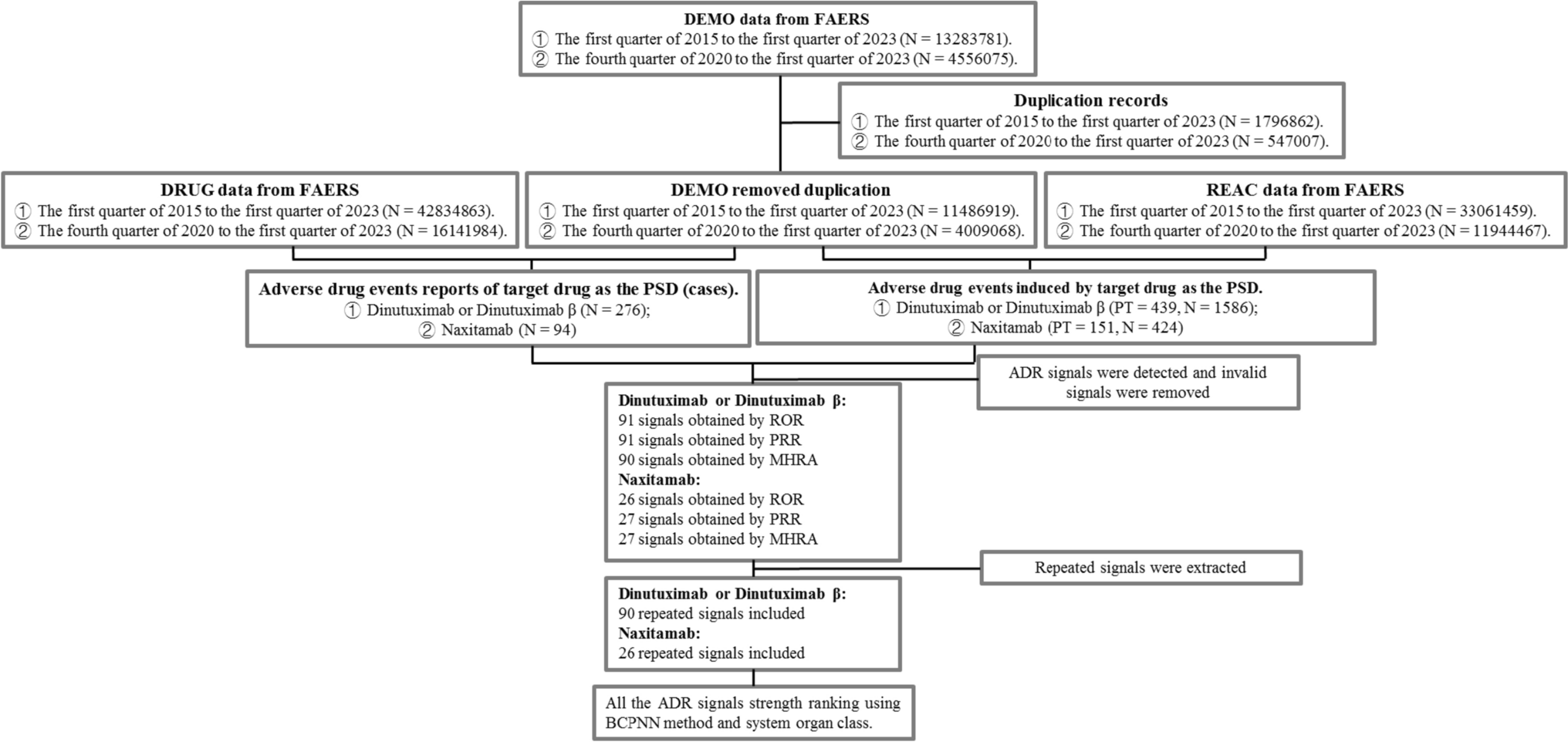
Toxicity Spectrum of Anti-GD2 Immunotherapy: A Real-World Study Leveraging the US Food and Drug Administration Adverse Event Reporting System
Anti-disialoganglioside (anti-GD2) monoclonal antibodies are effective immunotherapeutic drugs for treating neuroblastoma,...
Pediatric Drugs
comment
0
thumb_up
0
Use of Computerized Physician Order Entry with Clinical Decision Support to Prevent Dose Errors in Pediatric Medication Orders: A Systematic Review
Prescribing is a high-risk task within the pediatric medication-use process and requires defenses to prevent errors. Such ...
Pediatric Drugs
comment
0
thumb_up
0
Oral Ibuprofen for the Treatment of PDA in Preterm Neonates: Urgent Need for a Safer Alternative to Hyperosmolar Formulations
Funding No funding was received for the preparation of this...
Pediatric Drugs
comment
0
thumb_up
0
Safety and Effectiveness of Prucalopride in Children with Functional Constipation with and without Upper Symptoms
Pediatric prucalopride studies for treatment of gastrointestinal (GI) disorders have reported mixed results. We aimed to a...
Pediatric Drugs
comment
0
thumb_up
0
Practical Approach to Diagnosis and Management of IL-1-Mediated Autoinflammatory Diseases (CAPS, TRAPS, MKD, and DIRA)
Systemic autoinflammatory diseases (SAIDs) are a group of rare genetic and nongenetic immune dysregulatory disorders assoc...
Pediatric Drugs
comment
0
thumb_up
0
Managing Lupus Nephritis in Children and Adolescents
Lupus nephritis is an important manifestation of systemic lupus erythematosus, which leads to chronic kidney disease, kidn...
Pediatric Drugs
comment
0
thumb_up
0
Load More
Modal title
×
Modal title
×
Share
Login
Global News and Health Forum
Join Now!
Member Login
Remember me
Forgot password?
Or using
Linkedin