×
Close
Sign Up
Login
Home
SCI Abstract
Library D
Events & Partner
WeMed
MDLA Events Platform
Events
Media Partners
Educational Partner
User Tools
FAQ/USER GUIDE
Language
English
中文/ Chinese
French
Português
Español
Arabic
Russian
Contact Us
×
Close
mdla_1
mdla_2
mdla_3
mdla_4
mdla_5
mdla_6
Categories
Endocrinology, Metabolism & Nutrition
24622
Global Medical University
5141
Allergy
1792
Anatomy & Morphology
1584
Andrology
379
Anesthesia & Intensive Care
1300
Anesthesiology
5399
Audiology & Speech-Language Pathology
347
Behavioral Sciences
105
Biochemical Research Methods
7243
Biochemistry & Molecular Biology
30077
Biodiversity Conservation
330
Biology
8515
Biophysics
8292
Biotechnology & Applied Microbiology
8662
Cardiac & Cardiovascular Systems
31125
Cardiovascular & Respiratory Systems
1413
Cell & Tissue Engineering
704
Cell Biology
11182
Chemistry, Analytical
4301
Chemistry, Applied
10948
Chemistry, Medicinal
8755
Chemistry, Multidisciplinary
18521
Clinical Immunology & Infectious Disease
423
Clinical Medicine
8962
Clinical Neurology
16636
Clinical Psychology & Psychiatry
1294
Critical Care Medicine
3163
Dentistry, Oral Surgery & Medicine
13544
Dermatology
7485
Developmental Biology
6954
Ecology
633
Education, Scientific Disciplines
2050
Emergency Medicine
4117
Engineering, Biomedical
3729
Entomology
489
Environmental Medicine & Public Health
4669
Evolutionary Biology
276
Gastroenterology & Hepatology
12236
General & Internal Medicine
7013
Genetics & Heredity
15196
Geriatrics & Gerontology
5075
Gerontology
382
Health Care Sciences & Services
16165
Health Policy & Services
604
Hematology
5578
Immunology
24850
Infectious Diseases
14017
Integrative & Complementary Medicine
2943
Medical Ethics
1239
Medical Informatics
2232
Medical Laboratory Technology
419
Medicine, General & Internal
44379
Medicine, Legal
532
Medicine, Research & Experimental
17792
Microbiology
23387
Mycology
0
Nanoscience & Nanotechnology
5388
Neuroimaging
1365
Neurology
4562
Neurosciences
39861
Nursing
9787
Nutrition & Dietetics
7849
Obstetrics & Gynecology
8277
Oncology
52506
Ophthalmology
9749
Optics
4279
Orthopedics
11803
Orthopedics, Rehabilitation & Sports Medicine
1828
Otolaryngology
1583
Otorhinolaryngology
4894
Parasitology
1167
Pathology
5148
Pediatrics
21618
Peripheral Vascular Disease
4767
Pharmacology & Pharmacy
35500
Pharmacology/Toxicology
12212
Physiology
8922
Polymer Science
542
Primary Health Care
837
Psychiatry
19132
Psychology
5240
Psychology, Applied
111
Psychology, Biological
390
Psychology, Clinical
811
Psychology, Developmental
273
Psychology, Educational
164
Psychology, Experimental
171
Psychology, Mathematical
0
Psychology, Multidisciplinary
1694
Psychology, Psychoanalysis
30
Psychology, Social
131
Public Health & Health Care Science
2225
Public, Environmental & Occupational Health
27291
Quantum Science & Technology
0
Radiology, Nuclear Medicine & Imaging
12500
Radiology, Nuclear Medicine & Medical Imaging
8264
Rehabilitation
3074
Remote Sensing
0
Reproductive Biology
2872
Reproductive Medicine
1212
Research/Laboratory Medicine & Medical Technology
4029
Respiratory System
7421
Rheumatology
6029
Social Sciences, Biomedical
1178
Substance Abuse
2771
Surgery
33948
Toxicology
4445
Transplantation
938
Tropical Medicine
300
Urology & Nephrology
12890
Veterinary Sciences
35
Virology
2551
Zoology
0
Channels
DIABETES THERAPY
460
NEJM Endocrinology
9
Medrxiv - Endocrinology Medrxiv
465
AMERICAN JOURNAL OF PHYSIOLOGY-CELL PHYSIOLOGY
449
BEST PRACTICE & RESEARCH CLINICAL ENDOCRINOLOGY & METABOLISM
228
BIOLOGY OF SEX DIFFERENCES
194
BMJ OPEN DIABETES RESEARCH & CARE
368
BONE
0
CALCIFIED TISSUE INTERNATIONAL
368
CARDIOVASCULAR DIABETOLOGY
628
CURRENT DIABETES REPORTS
177
CURRENT OBESITY REPORTS
134
CURRENT OPINION IN ENDOCRINOLOGY DIABETES AND OBESITY
167
CURRENT OPINION IN LIPIDOLOGY
124
CURRENT OSTEOPOROSIS REPORTS
215
DIABETES
134
DIABETES & METABOLISM
236
DIABETES & METABOLISM JOURNAL
40
DIABETES CARE
194
DIABETES METABOLIC SYNDROME AND OBESITY-TARGETS AND THERAPY
977
DIABETES OBESITY & METABOLISM
293
DIABETES RESEARCH AND CLINICAL PRACTICE
0
DIABETES-METABOLISM RESEARCH AND REVIEWS
105
DIABETIC MEDICINE
215
DIABETOLOGIA
557
ENDOCRINE
650
ENDOCRINE PATHOLOGY
183
ENDOCRINE PRACTICE
673
EUROPEAN THYROID JOURNAL
14
FRONTIERS IN ENDOCRINOLOGY
5651
HORMONES AND BEHAVIOR
344
JOURNAL OF BONE AND MINERAL RESEARCH
173
JOURNAL OF DIABETES
88
JOURNAL OF DIABETES INVESTIGATION
241
JOURNAL OF ENDOCRINOLOGICAL INVESTIGATION
613
JOURNAL OF HUMAN NUTRITION AND DIETETICS
94
JOURNAL OF NEUROENDOCRINOLOGY
106
JOURNAL OF PARENTERAL AND ENTERAL NUTRITION
235
LANCET DIABETES & ENDOCRINOLOGY
0
METABOLISM-CLINICAL AND EXPERIMENTAL
18
MOLECULAR METABOLISM
550
NATURE REVIEWS ENDOCRINOLOGY
443
NEUROENDOCRINOLOGY
146
NUTRITION & DIABETES
121
OBESITY
133
OBESITY REVIEWS
115
PEDIATRIC DIABETES
77
PSYCHONEUROENDOCRINOLOGY
0
THERAPEUTIC ADVANCES IN ENDOCRINOLOGY AND METABOLISM
31
ARCHIVES OF ENDOCRINOLOGY METABOLISM
0
CLINICAL ENDOCRINOLOGY
171
DIABETES & VASCULAR DISEASE RESEARCH
16
DIABETOLOGY & METABOLIC SYNDROME
508
ENDOCRINOLOGIA DIABETES Y NUTRICION
415
GENERAL AND COMPARATIVE ENDOCRINOLOGY
0
INTERNATIONAL JOURNAL OF SPORT NUTRITION AND EXERCISE METABOLISM
170
JOURNAL OF BIOLOGICAL REGULATORS AND HOMEOSTATIC AGENTS
139
JOURNAL OF CLINICAL DENSITOMETRY
262
JOURNAL OF DIABETES AND ITS COMPLICATIONS
451
NEUROIMMUNOMODULATION
82
OBESITY FACTS
160
REPRODUCTIVE BIOLOGY AND ENDOCRINOLOGY
391
WORLD REVIEW OF NUTRITION AND DIETETICS
30
HORMONE AND METABOLIC RESEARCH
341
NEUROPEPTIDES
182
THYROID RESEARCH
91
REVISTA DE OSTEOPOROSIS Y METABOLISMO MINERAL
44
BRITISH JOURNAL OF DIABETES
130
CLINICAL MEDICINE INSIGHTS-ENDOCRINOLOGY AND DIABETES
20
CLINICAL OBESITY
33
CLINICAL REVIEWS IN BONE AND MINERAL METABOLISM
38
DIABETOLOGY INTERNATIONAL
219
JOURNAL OF DIABETES AND METABOLIC DISORDERS
512
JOURNAL OF DIABETOLOGY
126
JOURNAL OF THE ASEAN FEDERATION OF ENDOCRINE SOCIETIES
205
OBESITY SCIENCE & PRACTICE
87
PITUITARY
282
OSTEOPOROSIS INTERNATIONAL
600
REVIEWS IN ENDOCRINE & METABOLIC DISORDERS
273
HORMONES-INTERNATIONAL JOURNAL OF ENDOCRINOLOGY AND METABOLISM
282
INTERNATIONAL JOURNAL OF DIABETES IN DEVELOPING COUNTRIES
350
METABOLIC BRAIN DISEASE
576
SCI Abstract
search
ALL
RECOMMENDED
+
Efficacy and Safety of Tirzepatide Compared with GLP-1 RAs in Patients with Type 2 Diabetes Treated with Basal Insulin: A Network Meta-analysis
The relative efficacy and safety of tirzepatide was compared with glucagon-like peptide 1 receptor agonists (GLP-...
Diabetes Therapy
comment
0
thumb_up
0
The Urgent Need for Breakthrough Therapies and a World Without Type 1 Diabetes
Despite significant progress, type 1 diabetes (T1D) still results in premature death, significant complications, and a sub...
Diabetes Therapy
comment
0
thumb_up
0
Cell Therapy for T1D Beyond BLA: Gearing Up Toward Clinical Practice
Type 1 diabetes (T1D) remains a significant global health challenge and patients with T1D need lifelong insulin therapy. I...
Diabetes Therapy
comment
0
thumb_up
0
Advancing Cardiovascular, Kidney, and Metabolic Medicine: A Narrative Review of Insights and Innovations for the Future
Cardiovascular, kidney and metabolic (CKM) conditions are interrelated, significantly contributing to morbidity, mortality...
Diabetes Therapy
comment
0
thumb_up
0
Comprehending the Epidemiology and Aetiology of Childhood Obesity: Integrating Life Course Approaches for Prevention and Intervention
Childhood obesity is defined as a medical condition characterised by abnormally high amounts of body fat relative to lean ...
Diabetes Therapy
comment
0
thumb_up
0
Elevated Serum SERPINE2 Levels are Linked to Impaired Renal Function in Patients with Type 2 Diabetes Mellitus
Diabetic nephropathy (DN) is the primary complication associated with diabetes mellitus and is increasingly acknowledged a...
Diabetes Therapy
comment
0
thumb_up
0
Amylin: From Mode of Action to Future Clinical Potential in Diabetes and Obesity
Precision diabetology is increasingly becoming diabetes phenotype-driven, whereby the specific hormonal imbalances involve...
Diabetes Therapy
comment
0
thumb_up
0
Continuous Glucose Monitoring in the Management of Medication in Care Home Residents with Type 2 Diabetes (eDMED): A Protocol for a Feasibility Study
Overprescribing is common in older adults with diabetes, potentially leading to hospitalisation and reduced quality of lif...
Diabetes Therapy
comment
0
thumb_up
0
Association Between Type 2 Diabetes Mellitus and Heart Failure: A Retrospective Study from a Tertiary Care Diabetes Centre in India
The study aimed to explore the association between type 2 diabetes (T2D) and heart failure (HF) using echocardiography and...
Diabetes Therapy
comment
0
thumb_up
0
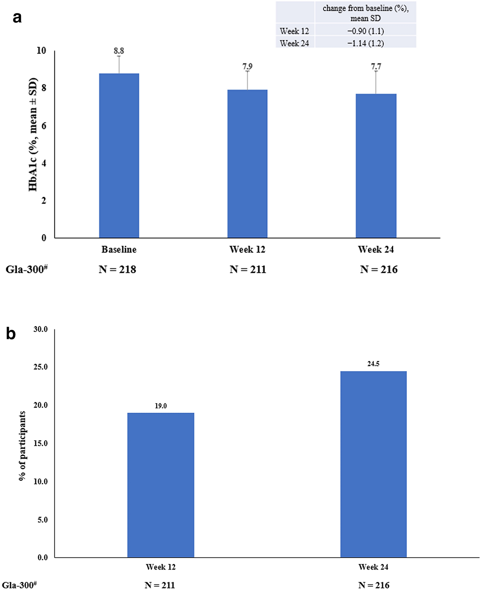
Multicenter, Phase 4 Clinical Study from India to Evaluate the Safety and Efficacy of Insulin Glargine 300 U/ml in Insulin-Naïve People with Type 2 Diabetes Uncontrolled on Oral Anti-hyperglycemic Drugs: SAFEGUARD Study
The clinical benefits of insulin glargine 300 U/ml (Gla-300) have been confirmed in randomized clinical trials (EDITION an...
Diabetes Therapy
comment
0
thumb_up
0
Role of Residual Inflammation as a Risk Factor Across Cardiovascular-Kidney-Metabolic (CKM) Syndrome: Unpacking the Burden in People with Type 2 Diabetes
Type 2 diabetes mellitus (T2DM) is a global health crisis, with cardiovascular disease (CVD) accounting for 75% o...
Diabetes Therapy
comment
0
thumb_up
0
Effect of FSL-CGM on Maternal and Neonatal Outcomes in GDM: A Propensity Score Matching Study in Hangzhou, China
This study aims to evaluate the impact of using FreeStyle Libre continuous glucose monitoring (FSL-CGM) on maternal glucos...
Diabetes Therapy
comment
0
thumb_up
0
LY3522348, A New Ketohexokinase Inhibitor: A First-in-Human Study in Healthy Adults
This study aimed to assess the safety, tolerability, pharmacokinetics (PK), and pharmacodynamics (PD) of single and multip...
Diabetes Therapy
comment
0
thumb_up
0
Healthcare Resource Utilization and Costs in Individuals Who Discontinue Liraglutide and Who Switch from Liraglutide to Once-Weekly Injectable Semaglutide
This study evaluated healthcare resource utilization (HCRU) and costs in the USA for people with type 2 diabetes ...
Diabetes Therapy
comment
0
thumb_up
0
Prevalence of Metabolic Dysfunction-Associated Steatotic Liver Disease: Mapping Across Different Indian Populations (MAP Study)
Metabolic dysfunction-associated steatotic liver disease (MASLD) is a growing global health concern. MASLD is strongly lin...
Diabetes Therapy
comment
0
thumb_up
0
Impact of Empagliflozin on Cardiovascular Outcomes and Renal Function in Patients with Obesity and Type 2 Diabetes: A Retrospective Cohort Study
Individuals with both obesity and type 2 diabetes mellitus (T2DM) are at heightened risk for developing cardiovas...
Diabetes Therapy
comment
0
thumb_up
0
Time to Treatment Intensification with Glucagon-Like Peptide-1 Receptor Agonists Versus Comparators in People with Type 2 Diabetes Treated with Metformin
Treatment intensification is often required to attain glycemic targets in people living with type 2 diabetes (T2D) but can...
Diabetes Therapy
comment
0
thumb_up
0
Safety and Effectiveness of Concomitant iGlarLixi and SGLT-2i Use in People with T2D During Ramadan Fasting: A SoliRam Study Sub-analysis
The aim of this work was to assess the safety and effectiveness of concomitant iGlarLixi and sodium-glucose co-transporter...
Diabetes Therapy
comment
0
thumb_up
0
Treatment Patterns and Glycaemic Control Between 2015 and 2019 in Tianjin, China: A Real-World Study of Adults with Type 2 Diabetes
Diabetes is associated with a high economic burden in China; therefore, strategies to prevent diabetes, improve glycaemic ...
Diabetes Therapy
comment
0
thumb_up
0
Cardiovascular, Metabolic, and Safety Outcomes with Semaglutide by Baseline Age: Post Hoc Analysis of SUSTAIN 6 and PIONEER 6
The high risk of cardiovascular events in people with type 2 diabetes increases with age. The cardiovascular effe...
Diabetes Therapy
comment
0
thumb_up
0
Post Hoc Analysis of SURPASS-1 to -5: Efficacy and Safety of Tirzepatide in Adults with Type 2 Diabetes are Independent of Baseline Characteristics
Newer incretin-based therapies for type 2 diabetes (T2D) have the potential to substantially reduce glycated hemo...
Diabetes Therapy
comment
0
thumb_up
0
Oral Semaglutide Use in Type 2 Diabetes: A Pooled Analysis of Clinical and Patient-Reported Outcomes from Seven PIONEER REAL Prospective Real-World Studies
Oral semaglutide is a glucagon-like peptide 1 receptor agonist (GLP-1RA) approved for improving glycemic control ...
Diabetes Therapy
comment
0
thumb_up
0
Risk Evaluation of Progression of Proteinuria and Renal Decline Based on a Novel Subgroup Classification in Chinese Patients with Type 2 Diabetes
Type 2 diabetes mellitus (T2DM) is a highly heterogeneous disease with a varying risk of complications. The recent novel s...
Diabetes Therapy
comment
0
thumb_up
0
Switching from Premixed Insulin to Insulin Degludec/Insulin Aspart for the Management of Type 2 Diabetes Mellitus: Implications of a Real-World Study on Insulin Degludec Dosing
When switching from premixed insulin to insulin degludec/aspart (IDegAsp), IDegAsp usually starts at the same dose as the ...
Diabetes Therapy
comment
0
thumb_up
0
Unveiling the Spectrum of Glucose Variability: A Novel Perspective on FreeStyle Libre Monitoring Data
Since the introduction of insulin therapy, it has become apparent that type 1 diabetes (T1D) is accompanied by long-term m...
Diabetes Therapy
comment
0
thumb_up
0
Burden of Current Insulin Therapy and Expectations for Future Insulin Therapy: Results from INBEING, a Web-Based Survey in Japan
This survey assessed the perspectives of physicians, people with diabetes (PWD), and caregivers in Japan regarding initiat...
Diabetes Therapy
comment
0
thumb_up
0
The Efficacy and Safety of Liraglutide in Patients Remaining Obese 6 Months after Metabolic Surgery
The safety and efficacy of liraglutide as a weight loss intervention in individuals who remain obese within 1 yea...
Diabetes Therapy
comment
0
thumb_up
0
Sodium-Glucose Co-transporter-2 Inhibitors in Type 1 Diabetes Mellitus: The Framework for Recommendations for Their Potential Use
The growing prevalence of overweight/obesity, the persistence of inadequate glycemic control among the majority o...
Diabetes Therapy
comment
0
thumb_up
0
Rationale and Design of the Study to Investigate the Metabolic Action of Imeglimin on Patients with Type 2 Diabetes Mellitus (SISIMAI)
Imeglimin is a first-in-class, novel, oral glucose-lowering agent for the treatment of type 2 diabetes mellitus. ...
Diabetes Therapy
comment
0
thumb_up
0
Current Perspectives in Pre- and Diabetic Peripheral Neuropathy Diagnosis and Management: An Expert Statement for the Gulf Region
Peripheral neuropathy (PN) significantly impacts the quality of life, causing substantial morbidity and increased mortalit...
Diabetes Therapy
comment
0
thumb_up
0
Load More
Modal title
×
Modal title
×
Share
Login
Global News and Health Forum
Join Now!
Member Login
Remember me
Forgot password?
Or using
Linkedin