×
Close
Sign Up
Login
Home
SCI Abstract
Library D
Events & Partner
WeMed
MDLA Events Platform
Events
Media Partners
Educational Partner
User Tools
FAQ/USER GUIDE
Language
English
中文/ Chinese
French
Português
Español
Arabic
Russian
Contact Us
×
Close
mdla_1
mdla_2
mdla_3
mdla_4
mdla_5
mdla_6
Categories
Biochemistry & Molecular Biology
30077
Global Medical University
5141
Allergy
1792
Anatomy & Morphology
1584
Andrology
379
Anesthesia & Intensive Care
1300
Anesthesiology
5399
Audiology & Speech-Language Pathology
347
Behavioral Sciences
105
Biochemical Research Methods
7243
Biodiversity Conservation
330
Biology
8515
Biophysics
8292
Biotechnology & Applied Microbiology
8662
Cardiac & Cardiovascular Systems
31125
Cardiovascular & Respiratory Systems
1413
Cell & Tissue Engineering
704
Cell Biology
11182
Chemistry, Analytical
4301
Chemistry, Applied
10948
Chemistry, Medicinal
8755
Chemistry, Multidisciplinary
18521
Clinical Immunology & Infectious Disease
423
Clinical Medicine
8962
Clinical Neurology
16636
Clinical Psychology & Psychiatry
1294
Critical Care Medicine
3163
Dentistry, Oral Surgery & Medicine
13544
Dermatology
7485
Developmental Biology
6954
Ecology
633
Education, Scientific Disciplines
2050
Emergency Medicine
4117
Endocrinology, Metabolism & Nutrition
24622
Engineering, Biomedical
3729
Entomology
489
Environmental Medicine & Public Health
4669
Evolutionary Biology
276
Gastroenterology & Hepatology
12236
General & Internal Medicine
7013
Genetics & Heredity
15196
Geriatrics & Gerontology
5075
Gerontology
382
Health Care Sciences & Services
16165
Health Policy & Services
604
Hematology
5578
Immunology
24850
Infectious Diseases
14017
Integrative & Complementary Medicine
2943
Medical Ethics
1239
Medical Informatics
2232
Medical Laboratory Technology
419
Medicine, General & Internal
44379
Medicine, Legal
532
Medicine, Research & Experimental
17792
Microbiology
23387
Mycology
0
Nanoscience & Nanotechnology
5388
Neuroimaging
1365
Neurology
4562
Neurosciences
39861
Nursing
9787
Nutrition & Dietetics
7849
Obstetrics & Gynecology
8277
Oncology
52506
Ophthalmology
9749
Optics
4279
Orthopedics
11803
Orthopedics, Rehabilitation & Sports Medicine
1828
Otolaryngology
1583
Otorhinolaryngology
4894
Parasitology
1167
Pathology
5148
Pediatrics
21618
Peripheral Vascular Disease
4767
Pharmacology & Pharmacy
35500
Pharmacology/Toxicology
12212
Physiology
8922
Polymer Science
542
Primary Health Care
837
Psychiatry
19132
Psychology
5240
Psychology, Applied
111
Psychology, Biological
390
Psychology, Clinical
811
Psychology, Developmental
273
Psychology, Educational
164
Psychology, Experimental
171
Psychology, Mathematical
0
Psychology, Multidisciplinary
1694
Psychology, Psychoanalysis
30
Psychology, Social
131
Public Health & Health Care Science
2225
Public, Environmental & Occupational Health
27291
Quantum Science & Technology
0
Radiology, Nuclear Medicine & Imaging
12500
Radiology, Nuclear Medicine & Medical Imaging
8264
Rehabilitation
3074
Remote Sensing
0
Reproductive Biology
2872
Reproductive Medicine
1212
Research/Laboratory Medicine & Medical Technology
4029
Respiratory System
7421
Rheumatology
6029
Social Sciences, Biomedical
1178
Substance Abuse
2771
Surgery
33948
Toxicology
4445
Transplantation
938
Tropical Medicine
300
Urology & Nephrology
12890
Veterinary Sciences
35
Virology
2551
Zoology
0
Channels
BIOCHEMISTRY MOSCOW-SUPPLEMENT SERIES B-BIOMEDICAL CHEMISTRY
105
AMERICAN JOURNAL OF PHYSIOLOGY-ENDOCRINOLOGY AND METABOLISM
209
ANTIOXIDANTS
2594
BIOMOLECULES
2187
BIOORGANIC CHEMISTRY
1693
CELL AND BIOSCIENCE
481
CELLULAR & MOLECULAR BIOLOGY LETTERS
245
CELLULAR AND MOLECULAR LIFE SCIENCES
1172
COLLOIDS AND SURFACES B-BIOINTERFACES
1464
COMPUTATIONAL AND STRUCTURAL BIOTECHNOLOGY JOURNAL
1330
CYTOKINE
703
CYTOKINE & GROWTH FACTOR REVIEWS
202
FREE RADICAL BIOLOGY AND MEDICINE
1026
GENOME RESEARCH
480
INTERNATIONAL JOURNAL OF BIOLOGICAL SCIENCES
40
INTERNATIONAL REVIEW OF CELL AND MOLECULAR BIOLOGY
322
JOURNAL OF BIOLOGICAL CHEMISTRY
2328
JOURNAL OF CELLULAR BIOCHEMISTRY
110
JOURNAL OF COMPUTER-AIDED MOLECULAR DESIGN
205
JOURNAL OF GENETICS AND GENOMICS
463
JOURNAL OF INORGANIC BIOCHEMISTRY
725
JOURNAL OF INTEGRATIVE PLANT BIOLOGY
85
JOURNAL OF LIPID RESEARCH
24
JOURNAL OF MOLECULAR BIOLOGY
732
JOURNAL OF PHOTOCHEMISTRY AND PHOTOBIOLOGY B-BIOLOGY
428
MOLECULAR BIOLOGY
292
MOLECULAR CARCINOGENESIS
63
NATURE CHEMICAL BIOLOGY
647
NATURE PROTOCOLS
397
NEUROCHEMISTRY INTERNATIONAL
397
PROGRESS IN LIPID RESEARCH
0
REDOX BIOLOGY
0
SCIENCE SIGNALING
167
SIGNAL TRANSDUCTION AND TARGETED THERAPY
966
BIOCHEMISTRY AND CELL BIOLOGY
132
BIOMEDICAL JOURNAL
0
BIOORGANIC & MEDICINAL CHEMISTRY
1
BIOPHYSICAL CHEMISTRY
0
BIOPOLYMERS
28
BIOTECHNIQUES
367
BMC BIOCHEMISTRY
141
CELL BIOCHEMISTRY AND FUNCTION
38
CHEMBIOCHEM
338
CHEMICAL BIOLOGY & DRUG DESIGN
145
CURRENT ISSUES IN MOLECULAR BIOLOGY
546
FRONTIERS IN MOLECULAR BIOSCIENCES
2702
JOURNAL OF FOOD BIOCHEMISTRY
259
JOURNAL OF MOLECULAR RECOGNITION
35
LIPIDS
23
NEUROCHEMICAL RESEARCH
685
PHYSICAL BIOLOGY
119
PROGRESS IN BIOPHYSICS & MOLECULAR BIOLOGY
6
PROTEIN SCIENCE
152
LIPIDS IN HEALTH AND DISEASE
437
VITAMINS AND HORMONES
277
BIOCHEMISTRY INSIGHTS
8
INDIAN JOURNAL OF CLINICAL BIOCHEMISTRY
221
PROTEOMES
63
MOLECULAR BIOLOGY RESEARCH COMMUNICATIONS
87
REVIEWS OF PHYSIOLOGY BIOCHEMISTRY AND PHARMACOLOGY
83
GENES & GENOMICS
434
INTERNATIONAL JOURNAL OF PEPTIDE RESEARCH AND THERAPEUTICS
355
JOURNAL OF BIOMOLECULAR NMR
113
SCI Abstract
search
ALL
RECOMMENDED
+
Evaluation of Phenylalanine Substitution on the Antimicrobial Properties of Histatin 8 against Wild-Type and Antibiotic-Resistant
The unregulated and inappropriate use of antibiotics triggered the rapid spread of antimicrobial resistance in pathogenic ...
Biochemistry Moscow-supplement Series B-biomedical Chemistry
comment
0
thumb_up
0
Changes in the Expression Landscape of HER2-Negative Breast Cancer under the Influence of Anthracycline-Containing Neoadjuvant Chemotherapy Regimens
Currently, several treatment options are available for patients with HER2 breast cancer; however, there is no gold standar...
Biochemistry Moscow-supplement Series B-biomedical Chemistry
comment
0
thumb_up
0
Study on the Mechanisms of Antifibrotic Action of Soluble Proteins of Human Mesenchymal Stromal Cell Secretome
Multipotent mesenchymal stromal cells (MSCs) are key regulators of tissue healing after injury. Acting in a paracrine mann...
Biochemistry Moscow-supplement Series B-biomedical Chemistry
comment
0
thumb_up
0
The Influence of Elevated Concentrations of Secretory IgA on the Level of Immunocompetent Cells, Cytokines, Reagins, Circulating Immune Complexes, and C-Reactive Protein in the Blood of Practically Healthy Residents of Murmansk Oblast
A total of 104 (77 women and 27 men) practically healthy residents of the city of Apatity, Murmansk oblast, aged 21–...
Biochemistry Moscow-supplement Series B-biomedical Chemistry
comment
0
thumb_up
0
Peculiarities of General and Mucosal Immunity in Urban Residents of Murmansk Oblast
The state of general and mucosal immunity was studied in 103 permanently living and working residents of Apatity town, Mur...
Biochemistry Moscow-supplement Series B-biomedical Chemistry
comment
0
thumb_up
0
Improving the Functional and Antibacterial Properties of an Endoprosthetic Mesh Using Atomic Layer Deposition Technology
Over the past few decades, abdominal wall hernias of various locations have attracted close attention from surgeons in var...
Biochemistry Moscow-supplement Series B-biomedical Chemistry
comment
0
thumb_up
0
Saliva Glucose Determination by Biosensor: Method Comparison to Chemiluminescence Immunoassay
The noninvasive sampling materials and methods have garnered great interest among researchers. Saliva is considered the mo...
Biochemistry Moscow-supplement Series B-biomedical Chemistry
comment
0
thumb_up
0
Prospects for the Application of Synthetic Zeolites as Components of Wound Coverings and Selective Hemosorbents
The issues of potential applicability of synthetic framework aluminosilicates (zeolites) as components of medical material...
Biochemistry Moscow-supplement Series B-biomedical Chemistry
comment
0
thumb_up
0
Transcriptome Analysis of Bone Marrow Plasma Cells in Multiple Myeloma Patients before Treatment
Multiple myeloma (MM) is a malignant lymphoproliferative disorder associated with accumulation of terminally differentiate...
Biochemistry Moscow-supplement Series B-biomedical Chemistry
comment
0
thumb_up
0
Thermodynamic and Electrochemical Characteristics of Urine Protein Molecules That Affect the Formation of Stones
Pathogenetic development of urolithiasis (UL) can be divided chronologically into prestone phase and stone phase. Specific...
Biochemistry Moscow-supplement Series B-biomedical Chemistry
comment
0
thumb_up
0
Cj0983 and Cj0090 Lipoproteins Contain Potential Linear Peptide Epitopes for Anti- Vaccine Applications
Campylobacter jejuni, a Gram-negative bacterium, is the major etiologic agent of campylobacteriosis responsible for approx...
Biochemistry Moscow-supplement Series B-biomedical Chemistry
comment
0
thumb_up
0
Development of a Technology for Producing Therapeutic Peptides Weighting Less Than 5 kDa in a Bacterial Expression System
Therapeutic peptides are an interesting class of pharmaceutical compounds that are structurally intermediate between small...
Biochemistry Moscow-supplement Series B-biomedical Chemistry
comment
0
thumb_up
0
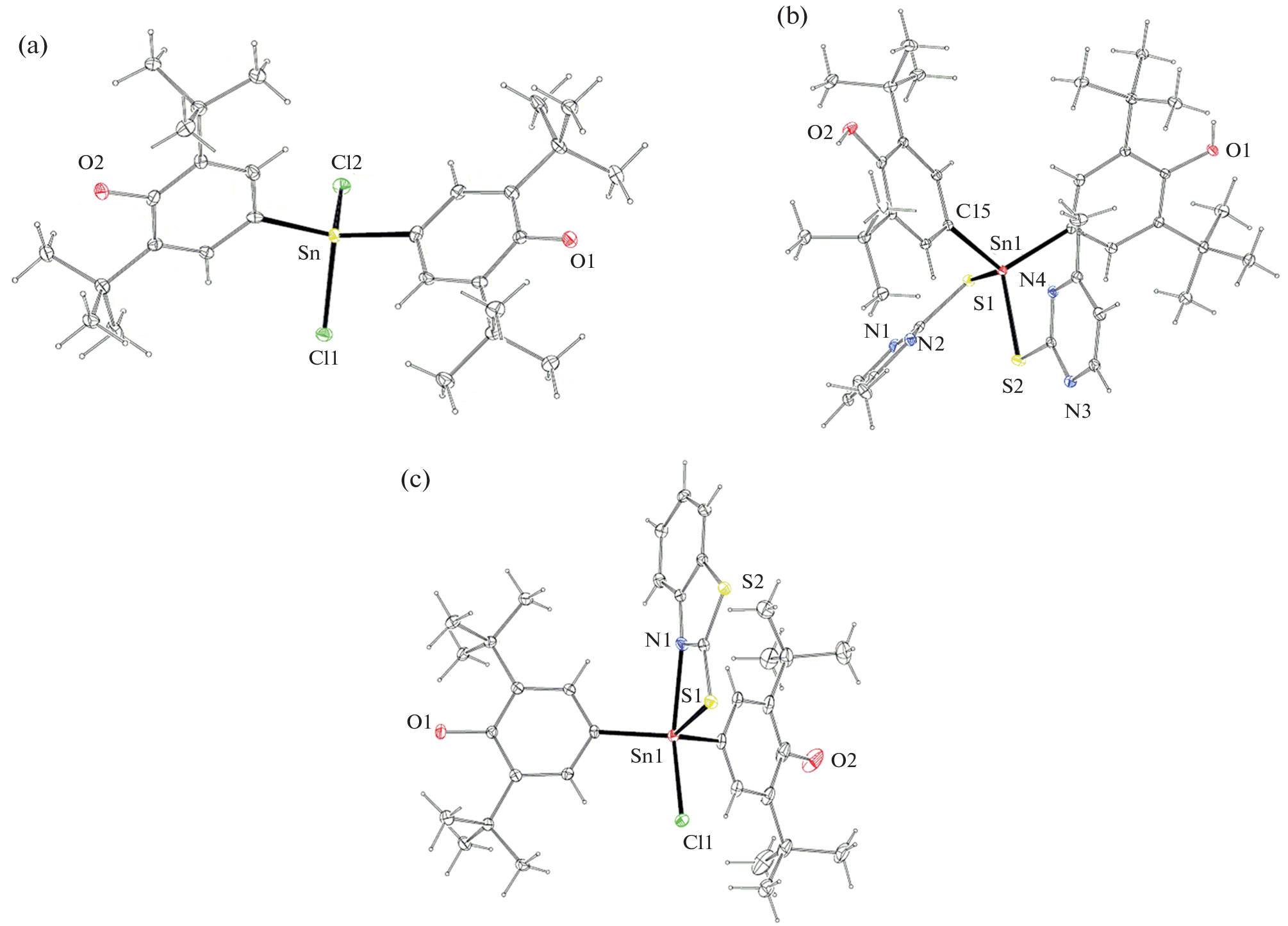
Organotin Complexes—Candidates for Antitumor Agents: Toxicity vs. Pharmaceutical Activity
Chemotherapy is one of the promising areas for the treatment of cancer. Platinum-based drugs are widely used in clinical p...
Biochemistry Moscow-supplement Series B-biomedical Chemistry
comment
0
thumb_up
0
Detection of Replication-Competent Adenoviral Particles in the Vector Vaccines Salnavac® and Gam-Covid-Vac® against the New Coronavirus Infection Covid-19
The 2019–2022 coronavirus pandemic has brought vaccination to the forefront in recent years. As a result, various ap...
Biochemistry Moscow-supplement Series B-biomedical Chemistry
comment
0
thumb_up
0
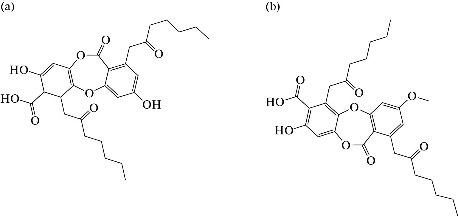
Isolation, Identification, and Cytotoxicity of α-Alectoronic and α-Collatolic Acids Isolated from the Lichen
The results of the study on isolation, purification, and study of the cytotoxicity of α-alectoronic and α-collat...
Biochemistry Moscow-supplement Series B-biomedical Chemistry
comment
0
thumb_up
0
Variability in the Content of 8-Hydroxy-2-deoxyguanosine as a Marker of Oxidative Stress during Subchronic Intoxication with Pesticides
In this study, a change in the concentration of 8-hydroxy-2-deoxyguanosine (8-OHdG) in the oral fluid and plasma of model ...
Biochemistry Moscow-supplement Series B-biomedical Chemistry
comment
0
thumb_up
0
Levels of IgG to Food Antigens in Practically Healthy People and with Metabolic Syndrome
The study compared the content of IgG specific to 90 food antigens in practically healthy people and in people with metabo...
Biochemistry Moscow-supplement Series B-biomedical Chemistry
comment
0
thumb_up
0
Association of 25(OH) Vitamin D with Cardiometabolic Risk Factors in the Age Aspect
Background: This study assessed the association of vitamin D status with the frequency of incidence of metabolic health ri...
Biochemistry Moscow-supplement Series B-biomedical Chemistry
comment
0
thumb_up
0
Ultrastructure of Mitochondria in Skeletal Muscle Weakened by Sarcopenia during Aging
The processes of progressive decrease in muscle mass and weakening of mitochondrial function that occur during aging in sk...
Biochemistry Moscow-supplement Series B-biomedical Chemistry
comment
0
thumb_up
0
Deep Learning Methods for Binding Site Prediction in Protein Structures
This work is an overview of deep machine learning methods aimed at predicting binding sites in protein structures. Several...
Biochemistry Moscow-supplement Series B-biomedical Chemistry
comment
0
thumb_up
0
Calorie Restriction Decreases JAK-STAT Pathway Gene Expression, Tumor Mass and Activity of Glutathione-Dependent Enzymes
Melanoma is one of the most aggressive types of cancer. Melanoma morbidity is increasing every year and mortality rate is ...
Biochemistry Moscow-supplement Series B-biomedical Chemistry
comment
0
thumb_up
0
Effect of Autophagy Regulators on FcεRI-Dependent Activation of the RBL-2H3 Cells
Mast cells (MCs) are an important population of connective tissue cells that play a key role in the development of allergi...
Biochemistry Moscow-supplement Series B-biomedical Chemistry
comment
0
thumb_up
0
LINC00654–SOX5 mRNA-miRNA-133a Compose New RNA Panel for Colorectal Cancer (CRC): A Potential Diagnostic Panel for CRC
Many disorders can be accurately diagnosed using ribonucleic acids (RNAs). A panel of RNAs specific to colorectal cancer (...
Biochemistry Moscow-supplement Series B-biomedical Chemistry
comment
0
thumb_up
0
Exploring the Cause of Survival Disparities in EGFR-Mutated Lung Cancer Subtypes: Unraveling Distinctive Genomic and Phenotypic Features of 19Del and L858R Mutation Subtypes
Different efficacy of epidermal growth factor receptor tyrosine kinase inhibitors (EGFR-TKI) has been observed between lun...
Biochemistry Moscow-supplement Series B-biomedical Chemistry
comment
0
thumb_up
0
CUL5 Is Involved in Proteasome-Degradation of BiP in Breast Cancer Cells
The E3 ubiquitin ligase Cullin 5 (CUL5) has been linked to a variety of cell biological functions, such as developmental p...
Biochemistry Moscow-supplement Series B-biomedical Chemistry
comment
0
thumb_up
0
Construction of Expression Vectors for Efficient Production of Recombinant Proteins in E. coli for the Development of Therapeutic Drugs
When developing vaccines and immunotherapeutic and enzymatic drugs, it is usually necessary to obtain a functional protein...
Biochemistry Moscow-supplement Series B-biomedical Chemistry
comment
0
thumb_up
0
The Effects of Pretreatment with Atorvastatin, Fenofibrate, or Both Drugs in a Mouse Model of Acute Lipemia Induced by the General Lipase Inhibitor Poloxamer 407
Dyslipidemia is a well-known risk factor for the development of cardiovascular diseases and atherosclerosis. The effects o...
Biochemistry Moscow-supplement Series B-biomedical Chemistry
comment
0
thumb_up
0
The Role of Arachidonic Acid Metabolizing Cytochromes P450 in the Control of Cardiovascular Functions
Arachidonic acid (AA) is widely distributed in many organs and can be metabolized in several ways into small lipid molecul...
Biochemistry Moscow-supplement Series B-biomedical Chemistry
comment
0
thumb_up
0
Effects of Various Poly(A) Tails on Luciferase Expression
Synthesis of RNA by in vitro transcription has many applications in the production of vaccines, anticancer and gene therap...
Biochemistry Moscow-supplement Series B-biomedical Chemistry
comment
0
thumb_up
0
Investigating Non-Covalent Interactions of Human Serum Albumin with Doxorubicin and Folic Acid
The development of effective delivery systems for antitumor drugs with increased specificity and controlled release is one...
Biochemistry Moscow-supplement Series B-biomedical Chemistry
comment
0
thumb_up
0
Load More
Modal title
×
Modal title
×
Share
Login
Global News and Health Forum
Join Now!
Member Login
Remember me
Forgot password?
Or using
Linkedin