×
Close
Sign Up
Login
Home
SCI Abstract
Library D
Events & Partner
WeMed
MDLA Events Platform
Events
Media Partners
Educational Partner
User Tools
FAQ/USER GUIDE
Language
English
中文/ Chinese
French
Português
Español
Arabic
Russian
Contact Us
×
Close
mdla_1
mdla_2
mdla_3
mdla_4
mdla_5
mdla_6
Categories
Genetics & Heredity
15196
Global Medical University
5141
Allergy
1792
Anatomy & Morphology
1584
Andrology
379
Anesthesia & Intensive Care
1300
Anesthesiology
5399
Audiology & Speech-Language Pathology
347
Behavioral Sciences
105
Biochemical Research Methods
7243
Biochemistry & Molecular Biology
30077
Biodiversity Conservation
330
Biology
8515
Biophysics
8292
Biotechnology & Applied Microbiology
8662
Cardiac & Cardiovascular Systems
31125
Cardiovascular & Respiratory Systems
1413
Cell & Tissue Engineering
704
Cell Biology
11182
Chemistry, Analytical
4301
Chemistry, Applied
10948
Chemistry, Medicinal
8755
Chemistry, Multidisciplinary
18521
Clinical Immunology & Infectious Disease
423
Clinical Medicine
8962
Clinical Neurology
16636
Clinical Psychology & Psychiatry
1294
Critical Care Medicine
3163
Dentistry, Oral Surgery & Medicine
13544
Dermatology
7485
Developmental Biology
6954
Ecology
633
Education, Scientific Disciplines
2050
Emergency Medicine
4117
Endocrinology, Metabolism & Nutrition
24622
Engineering, Biomedical
3729
Entomology
489
Environmental Medicine & Public Health
4669
Evolutionary Biology
276
Gastroenterology & Hepatology
12236
General & Internal Medicine
7013
Geriatrics & Gerontology
5075
Gerontology
382
Health Care Sciences & Services
16165
Health Policy & Services
604
Hematology
5578
Immunology
24850
Infectious Diseases
14017
Integrative & Complementary Medicine
2943
Medical Ethics
1239
Medical Informatics
2232
Medical Laboratory Technology
419
Medicine, General & Internal
44379
Medicine, Legal
532
Medicine, Research & Experimental
17792
Microbiology
23387
Mycology
0
Nanoscience & Nanotechnology
5388
Neuroimaging
1365
Neurology
4562
Neurosciences
39861
Nursing
9787
Nutrition & Dietetics
7849
Obstetrics & Gynecology
8277
Oncology
52486
Ophthalmology
9749
Optics
4279
Orthopedics
11803
Orthopedics, Rehabilitation & Sports Medicine
1828
Otolaryngology
1583
Otorhinolaryngology
4894
Parasitology
1167
Pathology
5148
Pediatrics
21618
Peripheral Vascular Disease
4767
Pharmacology & Pharmacy
35500
Pharmacology/Toxicology
12212
Physiology
8922
Polymer Science
542
Primary Health Care
837
Psychiatry
19132
Psychology
5240
Psychology, Applied
111
Psychology, Biological
390
Psychology, Clinical
811
Psychology, Developmental
273
Psychology, Educational
164
Psychology, Experimental
171
Psychology, Mathematical
0
Psychology, Multidisciplinary
1694
Psychology, Psychoanalysis
30
Psychology, Social
131
Public Health & Health Care Science
2225
Public, Environmental & Occupational Health
27291
Quantum Science & Technology
0
Radiology, Nuclear Medicine & Imaging
12500
Radiology, Nuclear Medicine & Medical Imaging
8264
Rehabilitation
3074
Remote Sensing
0
Reproductive Biology
2872
Reproductive Medicine
1212
Research/Laboratory Medicine & Medical Technology
4029
Respiratory System
7421
Rheumatology
6029
Social Sciences, Biomedical
1178
Substance Abuse
2771
Surgery
33928
Toxicology
4445
Transplantation
938
Tropical Medicine
300
Urology & Nephrology
12890
Veterinary Sciences
35
Virology
2551
Zoology
0
Channels
JOURNAL OF GENETICS
194
Genetics
5
NEJM Genetics
3
Medrxiv - Genetic And Genomic Medicine
1759
CANCER GENE THERAPY
363
CHROMOSOMA
84
CLINICAL GENETICS
107
CURRENT GENETICS
140
CURRENT OPINION IN GENETICS & DEVELOPMENT
283
EPIGENETICS & CHROMATIN
138
EPIGENOMICS
28
EPILEPSIA
198
FRONTIERS IN GENETICS
5368
GENE THERAPY
181
GENETICS IN MEDICINE
96
GENOME MEDICINE
306
GENOMICS PROTEOMICS & BIOINFORMATICS
204
HUMAN GENETICS
381
HUMAN MUTATION
111
JOURNAL OF HUMAN GENETICS
301
JOURNAL OF MEDICAL GENETICS
416
NATURE REVIEWS GENETICS
324
NPJ GENOMIC MEDICINE
194
ORPHANET JOURNAL OF RARE DISEASES
788
ANNALS OF HUMAN GENETICS
20
CYTOGENETIC AND GENOME RESEARCH
94
G3-GENES GENOMES GENETICS
19
GENETIC EPIDEMIOLOGY
22
HUMAN GENOMICS
241
HUMAN HEREDITY
32
INTERNATIONAL JOURNAL OF IMMUNOGENETICS
23
JOURNAL OF EVOLUTIONARY BIOLOGY
120
JOURNAL OF GENETIC COUNSELING
152
PSYCHIATRIC GENETICS
132
EGYPTIAN JOURNAL OF MEDICAL HUMAN GENETICS
271
FORENSIC SCIENCE INTERNATIONAL GENETICS SUPPLEMENT SERIES
17
GENETICS AND MOLECULAR RESEARCH
34
GLOBAL MEDICAL GENETICS
151
INTERNATIONAL JOURNAL OF NEONATAL SCREENING
83
JOURNAL OF COMMUNITY GENETICS
201
NON-CODING RNA
125
FUNCTIONAL & INTEGRATIVE GENOMICS
513
GENETICA
126
IMMUNOGENETICS
161
JOURNAL OF APPLIED GENETICS
235
RUSSIAN JOURNAL OF GENETICS
452
SCI Abstract
search
ALL
RECOMMENDED
+
The complete mitochondrial genome of the deep-sea methanotrophic sponges Hymedesmia methanophila and Iophon methanophila: leveraging ‘waste’ in metagenomic data
A significant proportion of next-generation sequencing (NGS) data ends up not being used since they comprise information o...
Journal Of Genetics
comment
0
thumb_up
0
Development of specific molecular markers for medicinal peony (Paeonia lactiflora) with double flower
In China, medicinal Paeonia lactiflora with double flowers (DFs) does not produce seeds, yet it possesses significantly hi...
Journal Of Genetics
comment
0
thumb_up
0
Mitochondrial control region sequences show high genetic connectivity in the brownstripe snapper, Lutjanus vitta (Quoy and Gaimard, 1824) from the east coast of Peninsular Malaysia
The Brownstripe Snapper, Lutjanus vitta (Quoy and Gaimard, 1824) is a commercially important snapper extensively caught in...
Journal Of Genetics
comment
0
thumb_up
0
JAG1 overexpression partially rescues muscle function in a zebrafish model of duchenne muscular dystrophy
Duchenne muscular dystrophy (DMD) is a severe genetic disorder characterized by progressive muscle degeneration and loss o...
Journal Of Genetics
comment
0
thumb_up
0
The sev-Gal4 driver in Drosophila melanogaster does not express in the eight pairs of dorsomedial and some other neurons in larval ventral ganglia: a correction
The sev-Gal4 driver is widely used in Drosophila to express the target gene in specific subsets of cells in ommatidial uni...
Journal Of Genetics
comment
0
thumb_up
0
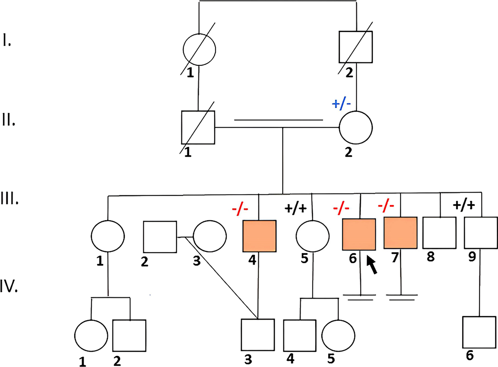
COQ7 splice site variant causing a spastic paraparesis phenotype in siblings
The COQ7 gene is one of the causative genes for primary COQ10 deficiency-related disorders. OMIM-related phenotypes includ...
Journal Of Genetics
comment
0
thumb_up
0
miR-7160 inhibits gastric cancer cell proliferation and metastasis by silencing SIX1
Upregulation of homeoprotein SIX1 in gastric cancer (GC) is related to tumour proliferation and invasion. MicroRNA-7160 (m...
Journal Of Genetics
comment
0
thumb_up
0
A novel missense variant in PNLDC1 associated with nonobstructive azoospermia
The most severe type of male infertility is nonobstructive azoospermia (NOA), where there is no sperm in the ejaculate due...
Journal Of Genetics
comment
0
thumb_up
0
Assessment of the contribution of VDR and VDBP/GC genes in the pathogenesis of celiac disease
Vitamin-D deficiency (VDD) is a global health concern. It is known to play a critical role in the immunomodulation, and th...
Journal Of Genetics
comment
0
thumb_up
0
A novel intron variant in the prolactin gene associated with eggshell weight and thickness with putative alternative splicing patterns in chickens
Raising Iraqi indigenous chickens (IIC) is restricted by their thin and low eggshell weights. Due to the importance of the...
Journal Of Genetics
comment
0
thumb_up
0
Germline genetic variants in a case of familial cancer: RAD51D and four other co-segregated variants
Cancer is a multifactorial, multi-step process of pathogenesis; however, in the case of familial cancers, genetic aetiolog...
Journal Of Genetics
comment
0
thumb_up
0
Association study of common KLF1 variants with Hb F and Hb A2 levels in β-thalassaemia carriers of Portuguese ancestry
Kruppel-like factor 1 (KLF1) is an essential erythroid-specific transcription factor. Several reports have shown that KLF1...
Journal Of Genetics
comment
0
thumb_up
0
Genetic characterization and linkage analysis of spotted leaf 6, liguleless and lax panicle traits in mutant rice
Phenotypic mutants are valuable resources for elucidating the function of genes responsible for their expression. This stu...
Journal Of Genetics
comment
0
thumb_up
0
The first complete mitochondrial genome of the critically endangered Malaysian giant turtle, Orlitia borneensis (Testudines: Geoemydidae)
We present here the complete mitochondrial sequence of the critically endangered Malaysian giant turtle, Orlitia borneensi...
Journal Of Genetics
comment
0
thumb_up
0
Mitogenome features and phylogenetic analysis of red algae, Grateloupia cornea (Rhodophyta, Halymeniales)
The mitogenome is an important tool for taxonomic and evolutionary investigation. Here, a few complete mitogenomes of red ...
Journal Of Genetics
comment
0
thumb_up
0
Extraction of genomic DNA for sequencing from snail Helix lucorum
Genomic studies make it possible to breakthrough in many fields such as biochemistry, physiology, phylogenetics, etc., tho...
Journal Of Genetics
comment
0
thumb_up
0
Special clinical entity with 15q26 deletion: a novel case report
In the past, there were no easily distinct and recognizable features as a guide for precise clinical and genetic diagnosis...
Journal Of Genetics
comment
0
thumb_up
0
Detection of caudal type homeobox 1 (CDX1) gene methylated DNA, as a stool-based diagnostic biomarker in colorectal cancer
Colorectal cancer (CRC) is known to develop due to the accumulation of both genetic and epigenetic alterations, resulting ...
Journal Of Genetics
comment
0
thumb_up
0
Expanding the genetic and phenotypic spectrum of Baker–Gordon syndrome: a new de novo SYT1 variant
We report the case of a Spanish pediatric patient with developmental delay, hypotonia, feeding difficulties, visual proble...
Journal Of Genetics
comment
0
thumb_up
0
A global evaluation of mitochondrial DNA diversity and distribution of dromedary, Camelus dromedarius from north-central Saudi Arabia
Knowledge of genetic variability within and among types and breeds of dromedary (Camelus dromedarius L.) can be a valuable...
Journal Of Genetics
comment
0
thumb_up
0
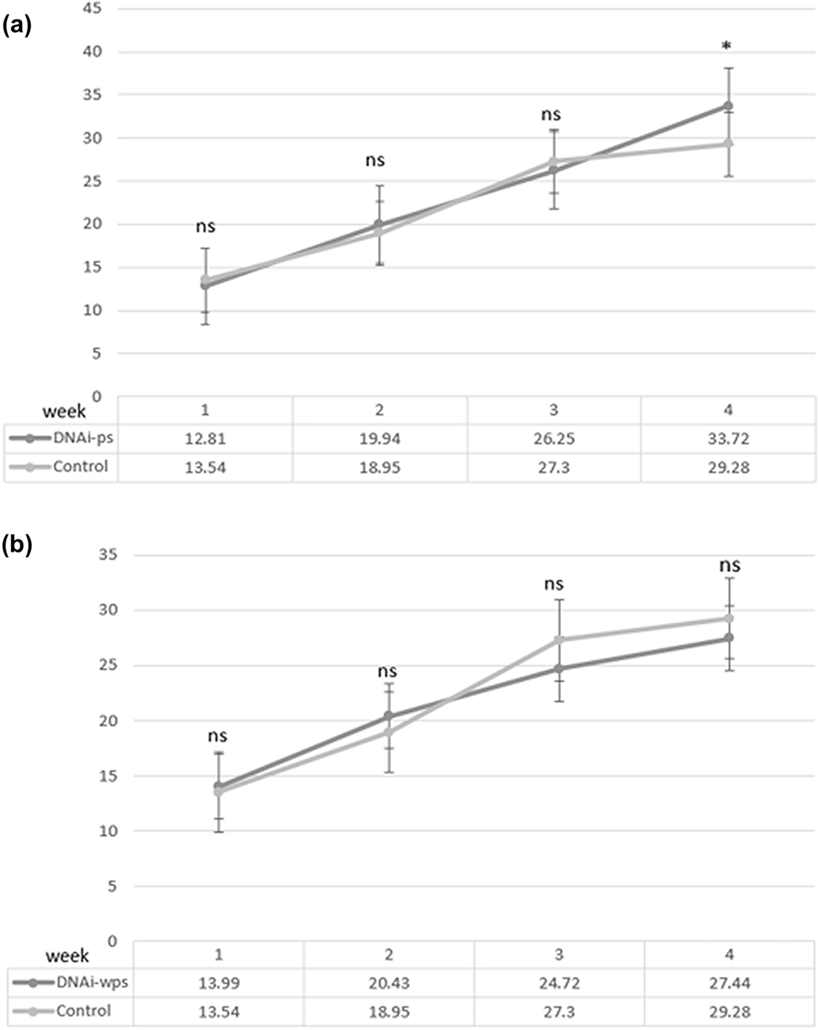
The effect of modification of DNA interference on myostatin gene expression in mice
Myostatin is a known negative regulator of muscle tissue growth. Thus, an inhibitor of myostatin may be therapeutically us...
Journal Of Genetics
comment
0
thumb_up
0
Molecular data reveals a new genus of blindsnakes within Asiatyphlopinae from India
The genus Indotyphlops has a widespread distribution in the Indian landmass and Southeast Asia, with 20 reported species. ...
Journal Of Genetics
comment
0
thumb_up
0
FSTest: an efficient tool for cross-population fixation index estimation on variant call format files
Fixation index (Fst) statistics provide critical insights into evolutionary processes affecting the structure of genetic v...
Journal Of Genetics
comment
0
thumb_up
0
Two novel heterozygous ADCY10 variants identified in Chinese pediatric patients with absorptive hypercalciuria: case report and literature review
Absorptive hypercalciuria (AH) is a prevalent cause of kidney stones, and the adenylate cyclase 10 (ADCY10) gene is a rare...
Journal Of Genetics
comment
0
thumb_up
0
Transferability of Nikita and Sukkula retrotransposons in domestic goose (Anser anser domesticus) genome
This article aimed to detect the existence of barley-specific Nikita and Sukkula retrotransposons in domestic geese sample...
Journal Of Genetics
comment
0
thumb_up
0
Role of VDR gene polymorphisms and vitamin D levels in normal and overweight patients with PCOS
Polycystic ovary syndrome (PCOS) is one of the most common endocrine diseases in women. In recent years, the effects of vi...
Journal Of Genetics
comment
0
thumb_up
0
Genomewide architecture of adaptation in experimentally evolved Drosophila characterized by widespread pleiotropy
Dissecting the molecular basis of adaptation remains elusive despite our ability to sequence genomes and transcriptomes. A...
Journal Of Genetics
comment
0
thumb_up
0
Efficient assembly of a synthetic attenuated SARS-CoV-2 genome in Saccharomyces cerevisiae using multi-copy yeast vectors
Saccharomyces cerevisiae has been demonstrated to be an excellent platform for the multi-fragment assembly of large DNA co...
Journal Of Genetics
comment
0
thumb_up
0
Characters of the MOCA family in wheat and TaMOCA1 function in salt stress tolerance
MOCA1 encodes the last key glucuronosyltransferase for ionic stress sensor glycosyl inositol phosphoryl-ceramide (GIPCs) b...
Journal Of Genetics
comment
0
thumb_up
0
Estimation of genetic diversity of the exotic Indian trout populations by using microsatellite markers
Rainbow trout (Oncorhynchus mykiss) and brown trout (Salmo trutta fario) are popular salmonid species that are reared for ...
Journal Of Genetics
comment
0
thumb_up
0
Load More
Modal title
×
Modal title
×
Share
Login
Global News and Health Forum
Join Now!
Member Login
Remember me
Forgot password?
Or using
Linkedin