×
Close
Sign Up
Login
Home
SCI Abstract
Library D
Events & Partner
WeMed
MDLA Events Platform
Events
Media Partners
Educational Partner
User Tools
FAQ/USER GUIDE
Language
English
中文/ Chinese
French
Português
Español
Arabic
Russian
Contact Us
×
Close
mdla_1
mdla_2
mdla_3
mdla_4
mdla_5
mdla_6
Categories
Surgery
33928
Global Medical University
5141
Allergy
1792
Anatomy & Morphology
1584
Andrology
379
Anesthesia & Intensive Care
1300
Anesthesiology
5399
Audiology & Speech-Language Pathology
347
Behavioral Sciences
105
Biochemical Research Methods
7243
Biochemistry & Molecular Biology
30077
Biodiversity Conservation
330
Biology
8515
Biophysics
8292
Biotechnology & Applied Microbiology
8662
Cardiac & Cardiovascular Systems
31125
Cardiovascular & Respiratory Systems
1413
Cell & Tissue Engineering
704
Cell Biology
11182
Chemistry, Analytical
4301
Chemistry, Applied
10948
Chemistry, Medicinal
8755
Chemistry, Multidisciplinary
18521
Clinical Immunology & Infectious Disease
423
Clinical Medicine
8962
Clinical Neurology
16636
Clinical Psychology & Psychiatry
1294
Critical Care Medicine
3163
Dentistry, Oral Surgery & Medicine
13544
Dermatology
7485
Developmental Biology
6954
Ecology
633
Education, Scientific Disciplines
2050
Emergency Medicine
4117
Endocrinology, Metabolism & Nutrition
24622
Engineering, Biomedical
3729
Entomology
489
Environmental Medicine & Public Health
4669
Evolutionary Biology
276
Gastroenterology & Hepatology
12236
General & Internal Medicine
7013
Genetics & Heredity
15196
Geriatrics & Gerontology
5075
Gerontology
382
Health Care Sciences & Services
16165
Health Policy & Services
604
Hematology
5578
Immunology
24850
Infectious Diseases
14017
Integrative & Complementary Medicine
2943
Medical Ethics
1239
Medical Informatics
2232
Medical Laboratory Technology
419
Medicine, General & Internal
44379
Medicine, Legal
532
Medicine, Research & Experimental
17792
Microbiology
23387
Mycology
0
Nanoscience & Nanotechnology
5388
Neuroimaging
1365
Neurology
4562
Neurosciences
39861
Nursing
9787
Nutrition & Dietetics
7849
Obstetrics & Gynecology
8277
Oncology
52486
Ophthalmology
9749
Optics
4279
Orthopedics
11803
Orthopedics, Rehabilitation & Sports Medicine
1828
Otolaryngology
1583
Otorhinolaryngology
4894
Parasitology
1167
Pathology
5148
Pediatrics
21618
Peripheral Vascular Disease
4767
Pharmacology & Pharmacy
35500
Pharmacology/Toxicology
12212
Physiology
8922
Polymer Science
542
Primary Health Care
837
Psychiatry
19132
Psychology
5240
Psychology, Applied
111
Psychology, Biological
390
Psychology, Clinical
811
Psychology, Developmental
273
Psychology, Educational
164
Psychology, Experimental
171
Psychology, Mathematical
0
Psychology, Multidisciplinary
1694
Psychology, Psychoanalysis
30
Psychology, Social
131
Public Health & Health Care Science
2225
Public, Environmental & Occupational Health
27291
Quantum Science & Technology
0
Radiology, Nuclear Medicine & Imaging
12500
Radiology, Nuclear Medicine & Medical Imaging
8264
Rehabilitation
3074
Remote Sensing
0
Reproductive Biology
2872
Reproductive Medicine
1212
Research/Laboratory Medicine & Medical Technology
4029
Respiratory System
7421
Rheumatology
6029
Social Sciences, Biomedical
1178
Substance Abuse
2771
Toxicology
4445
Transplantation
938
Tropical Medicine
300
Urology & Nephrology
12890
Veterinary Sciences
35
Virology
2551
Zoology
0
Channels
OBESITY SURGERY
1104
Aesthetic Surgery Journal
112
The Surgery Journal
67
NEJM Surgery
3
Medrxiv - Surgery
244
AMERICAN JOURNAL OF SURGICAL PATHOLOGY
444
ANNALS OF SURGERY
565
ANNALS OF SURGICAL ONCOLOGY
1217
BONE & JOINT JOURNAL
272
BRITISH JOURNAL OF SURGERY
19
DIGESTIVE ENDOSCOPY
252
DISEASES OF THE COLON & RECTUM
475
JAMA OTOLARYNGOLOGY-HEAD & NECK SURGERY
71
JOURNAL OF BONE AND JOINT SURGERY-AMERICAN VOLUME
444
JOURNAL OF THE AMERICAN COLLEGE OF SURGEONS
11
JOURNAL OF TRAUMA AND ACUTE CARE SURGERY
535
KNEE SURGERY SPORTS TRAUMATOLOGY ARTHROSCOPY
872
LIVER TRANSPLANTATION
267
PLASTIC SURGERY
61
WORLD JOURNAL OF EMERGENCY SURGERY
151
AMERICAN SURGEON
381
ANNALS OF PLASTIC SURGERY
372
ANZ JOURNAL OF SURGERY
416
BRAZILIAN JOURNAL OF CARDIOVASCULAR SURGERY
0
CLINICAL NEUROLOGY AND NEUROSURGERY
1063
CLINICAL TRANSPLANTATION
224
COLORECTAL DISEASE
397
EUROPEAN SURGICAL RESEARCH
94
FRONTIERS IN SURGERY
3099
GERIATRIC ORTHOPAEDIC SURGERY & REHABILITATION
58
INJURY-INTERNATIONAL JOURNAL OF THE CARE OF THE INJURED
1229
INTERNATIONAL JOURNAL OF LOWER EXTREMITY WOUNDS
114
INTERNATIONAL JOURNAL OF MEDICAL ROBOTICS AND COMPUTER ASSISTED SURGERY
99
INTERNATIONAL WOUND JOURNAL
166
JOURNAL OF CRANIOFACIAL SURGERY
150
JOURNAL OF HEPATO-BILIARY-PANCREATIC SCIENCES
161
JOURNAL OF KOREAN NEUROSURGICAL SOCIETY
20
JOURNAL OF MINIMALLY INVASIVE GYNECOLOGY
851
JOURNAL OF ORTHOPAEDIC SURGERY
54
JOURNAL OF RECONSTRUCTIVE MICROSURGERY
290
KNEE
0
MICROSURGERY
95
OPHTHALMIC PLASTIC AND RECONSTRUCTIVE SURGERY
114
ORTHOPAEDICS & TRAUMATOLOGY-SURGERY & RESEARCH
2
SEMINARS IN PEDIATRIC SURGERY
269
SEMINARS IN VASCULAR SURGERY
257
STEREOTACTIC AND FUNCTIONAL NEUROSURGERY
83
SURGICAL INNOVATION
66
TECHNIQUES IN COLOPROCTOLOGY
596
WORLD JOURNAL OF SURGICAL ONCOLOGY
737
WORLD NEUROSURGERY
929
WOUND REPAIR AND REGENERATION
47
GLAND SURGERY
72
HAND SURGERY & REHABILITATION
442
JOURNAL OF CATARACT AND REFRACTIVE SURGERY
592
JOURNAL OF MINIMAL ACCESS SURGERY
20
JOURNAL OF PLASTIC RECONSTRUCTIVE AND AESTHETIC SURGERY
24
JOURNAL OF SURGICAL RESEARCH
44
NEUROCHIRURGIE
386
OPERATIVE TECHNIQUES IN SPORTS MEDICINE
160
SCANDINAVIAN JOURNAL OF SURGERY
22
SEMINARS IN PLASTIC SURGERY
130
SURGEON-JOURNAL OF THE ROYAL COLLEGES OF SURGEONS OF EDINBURGH AND IRELAND
336
SURGICAL CLINICS OF NORTH AMERICA
87
SURGICAL ONCOLOGY CLINICS OF NORTH AMERICA
61
THORACIC SURGERY CLINICS
59
WORLD JOURNAL OF PLASTIC SURGERY
20
TURKISH JOURNAL OF PLASTIC SURGERY
54
SURGICAL CASE REPORTS
508
SURGERY JOURNAL
159
SEMINARS IN COLON AND RECTAL SURGERY
130
ARCHIVES OF AESTHETIC PLASTIC SURGERY
20
BRAZILIAN NEUROSURGERY-ARQUIVOS BRASILEIROS DE NEUROCIRURGIA
200
CURRENT SURGERY REPORTS
124
EGYPTIAN JOURNAL OF SURGERY
40
EUROPEAN JOURNAL OF PEDIATRIC SURGERY REPORTS
90
EUROPEAN JOURNAL OF PLASTIC SURGERY
374
FORMOSAN JOURNAL OF SURGERY
76
GYNECOLOGICAL SURGERY
8
INDIAN JOURNAL OF NEUROSURGERY
181
INDIAN JOURNAL OF OTOLARYNGOLOGY AND HEAD & NECK SURGERY
1287
INDIAN JOURNAL OF VASCULAR AND ENDOVASCULAR SURGERY
170
JBJS ESSENTIAL SURGICAL TECHNIQUES
95
JBJS REVIEWS
214
JOURNAL OF HAND AND MICROSURGERY
100
JOURNAL OF ROBOTIC SURGERY
554
REVISTA ARGENTINA DE RESIDENTES DE CIRUGIA
169
PATIENT SAFETY IN SURGERY
102
EUROPEAN SURGERY-ACTA CHIRURGICA AUSTRIACA
159
INDIAN JOURNAL OF SURGERY
1026
INTERNATIONAL JOURNAL OF COMPUTER ASSISTED RADIOLOGY AND SURGERY
645
JOURNAL OF GASTROINTESTINAL SURGERY
808
LASERS IN MEDICAL SCIENCE
663
NEUROSURGICAL REVIEW
720
PEDIATRIC SURGERY INTERNATIONAL
609
SURGICAL ENDOSCOPY AND OTHER INTERVENTIONAL TECHNIQUES
1395
UPDATES IN SURGERY
615
WORLD JOURNAL OF SURGERY
559
SCI Abstract
search
ALL
RECOMMENDED
+
Efficacy, Safety, and Metabolic Outcomes of Primary Obesity Surgery Endoluminal 2 (POSE-2) for Obesity: A Systematic Review and Meta-Analysis
Primary Obesity Surgery Endoluminal 2 (POSE-2) is a minimally invasive endoscopic bariatric procedure. We conducted a syst...
Obesity Surgery
comment
0
thumb_up
0
Effect of Bariatric Surgery on the Apolipoprotein B/Apolipoprotein A1 Ratio and Insulin Resistance
Obesity is a global health challenge associated with various diseases, including cardiovascular conditions, type 2 diabete...
Obesity Surgery
comment
0
thumb_up
0
Sleeve Plus Procedures: A Review of Technical Evolution Along a Schematic Diagram
Roux-en-Y gastric bypass (RYGB) and sleeve gastrectomy (SG) are the most widely accepted bariatric and metabolic surgeries...
Obesity Surgery
comment
0
thumb_up
0
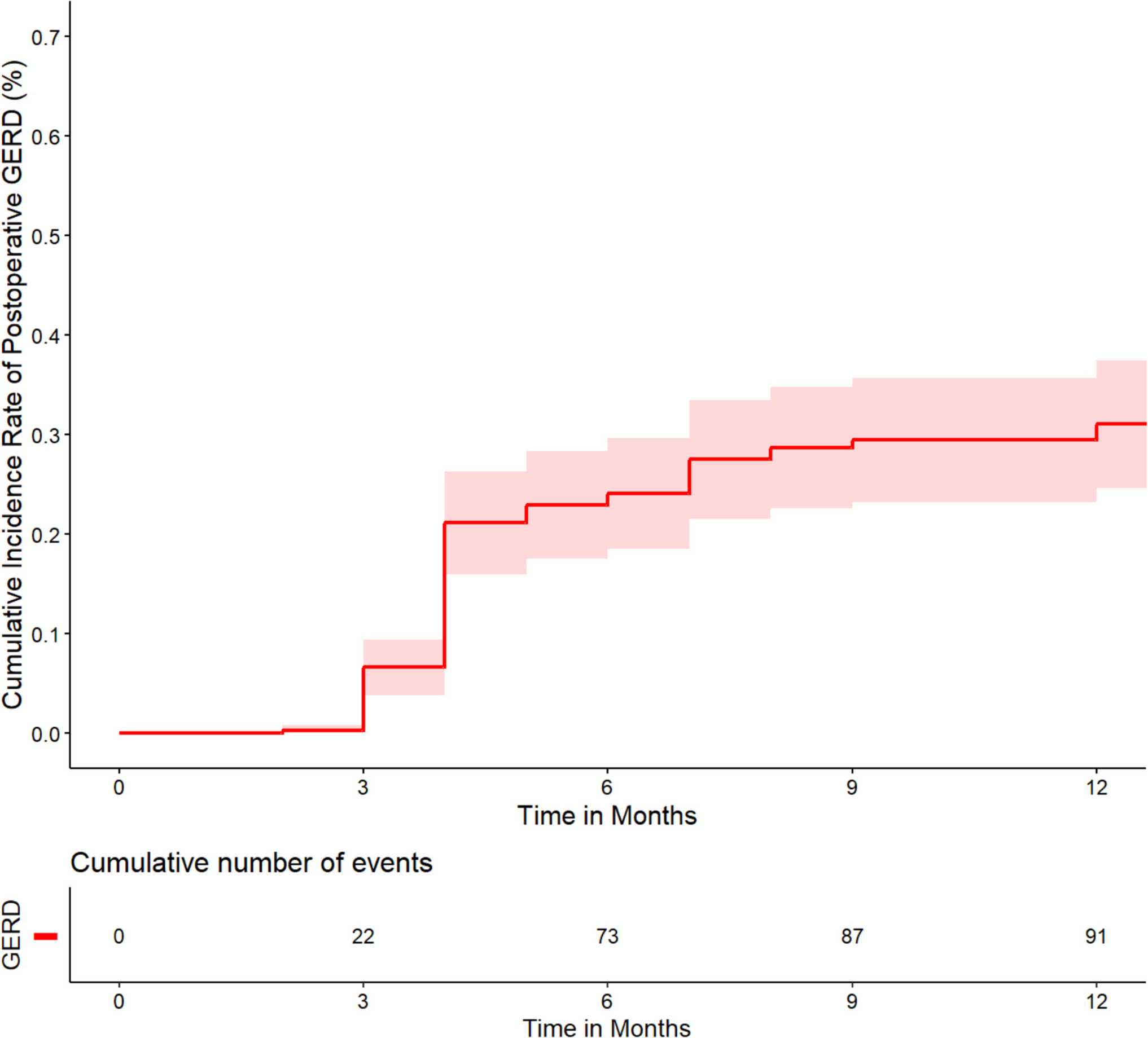
The Impact of GERD Symptoms and Endoscopic RE on Early Postoperative GERD After LSG
Laparoscopic sleeve gastrectomy (LSG) may exacerbate preexisting gastroesophageal reflux disease (GERD) or induce de novo ...
Obesity Surgery
comment
0
thumb_up
0
Multicenter Retrospective Analysis of Consecutive Swallowable Gastric Balloon Treatments in a Community Obesity Care Setting
Studies have demonstrated safety and effectiveness of the swallowable gastric balloon program (SGBP) for weight loss. If a...
Obesity Surgery
comment
0
thumb_up
0
Hiatal Hernia Recurrence Following Abdominoplasty: A Proposed Algorithm for Screening and Management
Incidence of hiatal hernia has been noted to be as high as 20–50% in those undergoing bariatric surgery. Concurrent ...
Obesity Surgery
comment
0
thumb_up
0
Mortality After Bariatric Surgery: A Comprehensive Review
Understanding mortality risk following bariatric surgery is crucial for clinical decision-making as these procedures incre...
Obesity Surgery
comment
0
thumb_up
0
Primary Metabolic and Bariatric Surgery in Persons Aged over 65 Years. GRADE-based International Federation for the Surgery of Obesity and Metabolic Disorders (IFSO) Position Statement
With the global rise in obesity among individuals aged 65 years and older, there is increasing demand for effecti...
Obesity Surgery
comment
0
thumb_up
0
Impact of Increasing Robotic Bariatric Utilization on Duodenal Switch Procedure Outcomes
The growth rate of robotic bariatric surgery has recently increased compared to prior years. The impact of this new growth...
Obesity Surgery
comment
0
thumb_up
0
A Case Series Analysis of Hospital Volume in a New Era of US Bariatric Surgery within the Nationwide Readmissions Database
Bariatric surgery is an effective treatment for class III obesity, and higher hospital volume is associated with improved ...
Obesity Surgery
comment
0
thumb_up
0
Risk Factors of Iron Deficiency and Iron Deficiency Anemia After Laparoscopic Sleeve Gastrectomy: A Retrospective Cohort Study
Metabolic and bariatric surgery (MBS) can effectively improve obesity and its related complications, but it may lead to si...
Obesity Surgery
comment
0
thumb_up
0
Too Late for a Duodenal Switch? Safety and Effectiveness of Duodenal Switch in Patients over 60 Years Old
The increase in obesity prevalence and longer life expectancy has led to more candidates over 60 pursuing bariatric surger...
Obesity Surgery
comment
0
thumb_up
0
Indications and Outcomes of Endoscopic Gastric Pouch Plications After Bariatric Surgery: An Analysis of the Metabolic and Bariatric Surgery Accreditation and Quality Improvement Program (MBSAQIP) Database
Endoscopic gastric pouch plications (EGPP) have emerged as a novel approach for managing weight-related issues and postope...
Obesity Surgery
comment
0
thumb_up
0
Effects of Bariatric Surgery on Sleep Architecture and Quality: A Systematic Review and Meta-Analysis
Despite the growing body of literature on the effects of bariatric surgery on sleep structure and quality in obese patient...
Obesity Surgery
comment
0
thumb_up
0
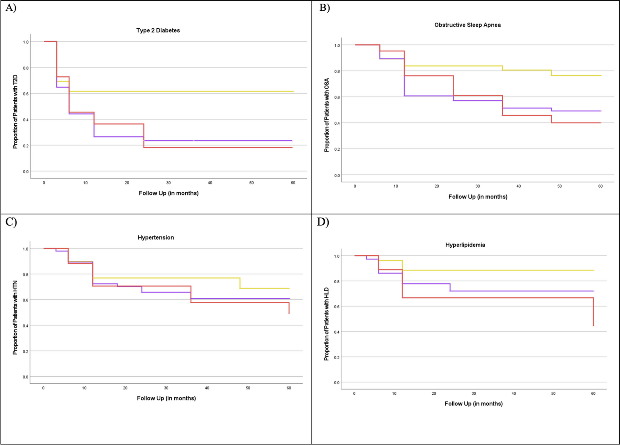
Patients with Severe Obesity Undergoing Roux-En-Y Gastric Bypass Versus Sleeve Gastrectomy: A Systematic Review and an Updated Meta-Analysis
Laparoscopic Roux-En-Y Gastric Bypass (LRYGB) contributes significantly to higher weight loss at 6 to 12 months w...
Obesity Surgery
comment
0
thumb_up
0
Long-Term Safety and Efficacy Profile of Bariatric Surgery in Patients Classified with ASA IV Status
Metabolic and bariatric surgery (MBS) is a safe and effective treatment option to reduce weight and manage obesity-related...
Obesity Surgery
comment
0
thumb_up
0
Association of Preoperative Serum 25-Hydroxyvitamin D with Longitudinal Body Mass Index After Bariatric Surgery—A Mediation Effect of Serum Albumin
The predictive ability of vitamin D for weight loss after bariatric surgery is not well-characterized. This prospective co...
Obesity Surgery
comment
0
thumb_up
0
Effectiveness of Adjuvant Semaglutide Following Bariatric Metabolic Surgery
Obesity is a relapsing condition and response to anti-obesity therapies appears to be normally distributed. Therefore, som...
Obesity Surgery
comment
0
thumb_up
0
Flap Valve-Preserving Vertical Sleeve Gastrectomy (INNOVATE-VSG): Clinical Trial Study Protocol
Conventional vertical sleeve gastrectomy (cVSG), the most commonly performed bariatric surgery, is associated with low com...
Obesity Surgery
comment
0
thumb_up
0
Beyond Insulin: Modified OAGB in Low-BMI Insulin-Resistant and Non-compliant Type 2 Diabetic Patients
Metabolic surgery’s role in lower-BMI patients with type 2 diabetes mellitus (T2DM) remains debated, particularly re...
Obesity Surgery
comment
0
thumb_up
0
Bariatric Surgery and Remission of Metabolic Syndrome: A Meta-analysis of Randomised Controlled Trials and Prospective Studies
Studies have discussed the efficacy of bariatric surgery (BS) in remission of individual components of metabolic syndrome ...
Obesity Surgery
comment
0
thumb_up
0
Remote Patient Monitoring Following Same-Day Discharge Bariatric Surgery: A Systematic Review and Meta-analysis
A barrier to same-day discharge (SDD) in bariatric and metabolic surgery (BMS) is concern over missing the early signs of ...
Obesity Surgery
comment
0
thumb_up
0
Assessment of Gastric Remnant Activity, Symptoms, and Quality of Life Following Gastric Bypass
While most gastric bypass patients recover well, some experience long-term complications, including nausea, abdominal pain...
Obesity Surgery
comment
0
thumb_up
0
Social Media Response to the Introduction of the Swallowable Gastric Balloon Treatment for Severe Obesity in the NHS: A Snapshot of Public Opinion
Swallowable gastric balloons are available in the UK to treat severe obesity. Our hospital introduced this treatment in 20...
Obesity Surgery
comment
0
thumb_up
0
Magnetic Sphincter Augmentation for Gastroesophageal Reflux After Sleeve Gastrectomy: A Systematic Review
This systematic review aims to evaluate the current evidence regarding safety and efficacy of magnetic sphincter augmentat...
Obesity Surgery
comment
0
thumb_up
0
Impact of Leptin-Melanocortin Pathway Genetic Variants on Weight Loss Outcomes After Endoscopic Transoral Outlet Reduction
Variants in the leptin-melanocortin pathway (LMP) are associated with severe obesity. We evaluated weight loss of patients...
Obesity Surgery
comment
0
thumb_up
0
Metabolic/Bariatric Surgery is Safe and Effective in People with Obesity, Type 2 Diabetes Mellitus and Chronic Kidney Disease: A Systematic Review and Meta-Analysis of Randomized Controlled Trials
Obesity, type 2 diabetes (T2D), and chronic kidney disease (CKD) are thought to increase surgical risks and reduce weight ...
Obesity Surgery
comment
0
thumb_up
0
Validity of Continuous Glucose Monitoring for the Diagnosis of Dumping Syndrome After Metabolic Surgery, in Comparison to the Oral Glucose Tolerance Test
Dumping syndrome (DS) is a common complication of metabolic surgery, occurring in as many as 40% of bariatric patients. Th...
Obesity Surgery
comment
0
thumb_up
0
The Role of ICG During the SADI-S Procedure
Indocyanine green (ICG) is a nontoxic, fluorescent iodide dye with rapid hepatic clearance that has been used in ...
Obesity Surgery
comment
0
thumb_up
0
A Meta-Analysis Comparing RYGB with Long Biliopancreatic Limb (BPL) Versus Long Alimentary Limb (AL) in Groups with Equal or Nearly Equal Combined Bypass Lengths (Combined BPL and AL Lengths): Does Switching Seats Enhance Weight Loss?
It is well-established that extending either the biliopancreatic limb (BPL), the alimentary limb (AL), or both, results in...
Obesity Surgery
comment
0
thumb_up
0
Load More
Modal title
×
Modal title
×
Share
Login
Global News and Health Forum
Join Now!
Member Login
Remember me
Forgot password?
Or using
Linkedin