×
Close
Sign Up
Login
Home
SCI Abstract
Library D
Events & Partner
WeMed
MDLA Events Platform
Events
Media Partners
Educational Partner
User Tools
FAQ/USER GUIDE
Language
English
中文/ Chinese
French
Português
Español
Arabic
Russian
Contact Us
×
Close
mdla_1
mdla_2
mdla_3
mdla_4
mdla_5
mdla_6
Categories
Urology & Nephrology
12873
Global Medical University
5141
Allergy
1792
Anatomy & Morphology
1584
Andrology
379
Anesthesia & Intensive Care
1300
Anesthesiology
5399
Audiology & Speech-Language Pathology
347
Behavioral Sciences
105
Biochemical Research Methods
7248
Biochemistry & Molecular Biology
30077
Biodiversity Conservation
330
Biology
8515
Biophysics
8297
Biotechnology & Applied Microbiology
8663
Cardiac & Cardiovascular Systems
31125
Cardiovascular & Respiratory Systems
1413
Cell & Tissue Engineering
704
Cell Biology
11182
Chemistry, Analytical
4301
Chemistry, Applied
10962
Chemistry, Medicinal
8755
Chemistry, Multidisciplinary
18521
Clinical Immunology & Infectious Disease
423
Clinical Medicine
8963
Clinical Neurology
16636
Clinical Psychology & Psychiatry
1294
Critical Care Medicine
3163
Dentistry, Oral Surgery & Medicine
13544
Dermatology
7485
Developmental Biology
6954
Ecology
633
Education, Scientific Disciplines
2050
Emergency Medicine
4120
Endocrinology, Metabolism & Nutrition
24626
Engineering, Biomedical
3729
Entomology
489
Environmental Medicine & Public Health
4669
Evolutionary Biology
276
Gastroenterology & Hepatology
12247
General & Internal Medicine
7013
Genetics & Heredity
15197
Geriatrics & Gerontology
5075
Gerontology
382
Health Care Sciences & Services
16168
Health Policy & Services
604
Hematology
5578
Immunology
24852
Infectious Diseases
14018
Integrative & Complementary Medicine
2943
Medical Ethics
1239
Medical Informatics
2232
Medical Laboratory Technology
419
Medicine, General & Internal
44379
Medicine, Legal
532
Medicine, Research & Experimental
17793
Microbiology
23388
Mycology
0
Nanoscience & Nanotechnology
5368
Neuroimaging
1366
Neurology
4562
Neurosciences
39862
Nursing
9787
Nutrition & Dietetics
7849
Obstetrics & Gynecology
8278
Oncology
52499
Ophthalmology
9752
Optics
4279
Orthopedics
11803
Orthopedics, Rehabilitation & Sports Medicine
1828
Otolaryngology
1584
Otorhinolaryngology
4894
Parasitology
1167
Pathology
5149
Pediatrics
21618
Peripheral Vascular Disease
4767
Pharmacology & Pharmacy
35501
Pharmacology/Toxicology
12212
Physiology
8922
Polymer Science
542
Primary Health Care
837
Psychiatry
19134
Psychology
5240
Psychology, Applied
111
Psychology, Biological
390
Psychology, Clinical
811
Psychology, Developmental
273
Psychology, Educational
164
Psychology, Experimental
171
Psychology, Mathematical
0
Psychology, Multidisciplinary
1694
Psychology, Psychoanalysis
30
Psychology, Social
131
Public Health & Health Care Science
2225
Public, Environmental & Occupational Health
27292
Quantum Science & Technology
0
Radiology, Nuclear Medicine & Imaging
12500
Radiology, Nuclear Medicine & Medical Imaging
8264
Rehabilitation
3076
Remote Sensing
0
Reproductive Biology
2872
Reproductive Medicine
1212
Research/Laboratory Medicine & Medical Technology
4029
Respiratory System
7421
Rheumatology
6031
Social Sciences, Biomedical
1178
Substance Abuse
2771
Surgery
33940
Toxicology
4445
Transplantation
938
Tropical Medicine
300
Veterinary Sciences
35
Virology
2554
Zoology
0
Channels
PROSTATE CANCER AND PROSTATIC DISEASES
362
NEJM Nephrology
3
Medrxiv - Nephrology
235
Medrxiv - Urology
133
BJU INTERNATIONAL
256
CLINICAL JOURNAL OF THE AMERICAN SOCIETY OF NEPHROLOGY
614
EUROPEAN UROLOGY FOCUS
588
JOURNAL OF NEPHROLOGY
728
JOURNAL OF SEXUAL MEDICINE
31
JOURNAL OF THE AMERICAN SOCIETY OF NEPHROLOGY
551
KIDNEY INTERNATIONAL
15
KIDNEY INTERNATIONAL SUPPLEMENTS
0
NATURE REVIEWS NEPHROLOGY
374
NATURE REVIEWS UROLOGY
368
SEMINARS IN NEPHROLOGY
13
ADVANCES IN CHRONIC KIDNEY DISEASE
13
AMERICAN JOURNAL OF NEPHROLOGY
160
BLADDER CANCER
7
BMC NEPHROLOGY
834
BMC UROLOGY
477
CUAJ-CANADIAN UROLOGICAL ASSOCIATION JOURNAL
495
INTERNATIONAL BRAZ J UROL
0
INTERNATIONAL JOURNAL OF IMPOTENCE RESEARCH
376
INTERNATIONAL JOURNAL OF UROLOGY
185
JOURNAL OF RENAL CARE
33
KIDNEY DISEASES
89
LUTS-LOWER URINARY TRACT SYMPTOMS
43
NEPHROLOGY
120
NEPHRON
189
NEUROUROLOGY AND URODYNAMICS
142
SEMINARS IN DIALYSIS
87
THERAPEUTIC ADVANCES IN UROLOGY
42
THERAPEUTIC APHERESIS AND DIALYSIS
184
UROLOGIA INTERNATIONALIS
279
UROLOGY
0
JOURNAL OF PEDIATRIC UROLOGY
34
KIDNEY INTERNATIONAL REPORTS
62
PERITONEAL DIALYSIS INTERNATIONAL
44
UROLOGIC CLINICS OF NORTH AMERICA
56
UROLOGIC ONCOLOGY-SEMINARS AND ORIGINAL INVESTIGATIONS
690
UROLOGY CASE REPORTS
719
UROLOGY ANNALS
60
UROLOGICAL SCIENCE
85
SAUDI JOURNAL OF KIDNEY DISEASES AND TRANSPLANTATION
121
CASE REPORTS IN NEPHROLOGY AND DIALYSIS
76
CEN CASE REPORTS
271
CURRENT BLADDER DYSFUNCTION REPORTS
127
INDIAN JOURNAL OF NEPHROLOGY
171
INDIAN JOURNAL OF UROLOGY
147
JOURNAL OF CLINICAL UROLOGY
70
NEPHRON EXTRA
10
CURRENT UROLOGY REPORTS
170
INTERNATIONAL UROLOGY AND NEPHROLOGY
714
UROLITHIASIS
293
WORLD JOURNAL OF UROLOGY
927
SCI Abstract
search
ALL
RECOMMENDED
+
Talazoparib plus enzalutamide versus olaparib plus abiraterone acetate and niraparib plus abiraterone acetate for metastatic castration-resistant prostate cancer: a matching-adjusted indirect comparison
Without head-to-head trials between talazoparib+enzalutamide (TALA + ENZA), olaparib+abiraterone acetate (OLAP...
Prostate Cancer And Prostatic Diseases
comment
0
thumb_up
0
Radical prostatectomy without prostate biopsy based on a noninvasive diagnostic strategy: a prospective single-center study
Prostate biopsy is the most common approach for diagnosing prostate cancer (PCa); however, it has inherent limitations, su...
Prostate Cancer And Prostatic Diseases
comment
0
thumb_up
0
Evaluation of the safety and efficacy of stereotactic body radiotherapy for radio-recurrent prostate cancer: a systematic review and meta-analysis
Stereotactic body radiotherapy (SBRT) is pivotal in managing radio-recurrent prostate cancer (PCa). This study aims to com...
Prostate Cancer And Prostatic Diseases
comment
0
thumb_up
0
Survival outcomes of apalutamide as a starting treatment: impact in real-world patients with metastatic hormone sensitive prostate cancer (OASIS)
Androgen receptor pathway inhibitors (apalutamide [APA], enzalutamide [ENZ], abiraterone acetate plus prednisone [AAP]) co...
Prostate Cancer And Prostatic Diseases
comment
0
thumb_up
0
Advances in ferroptosis for castration-resistant prostate cancer treatment: novel drug targets and combination therapy strategies
Metastatic prostate cancer (PCa) has much lower survival and ultimately develops castration resistance, which expects nove...
Prostate Cancer And Prostatic Diseases
comment
0
thumb_up
0
Infectious complications following transperineal prostate biopsy with or without periprocedural antibiotic prophylaxis—a systematic review including meta-analysis of all comparative studies
Despite the relatively low infection rate following transperineal prostate biopsy (TPB), it remains unresolved whether per...
Prostate Cancer And Prostatic Diseases
comment
0
thumb_up
0
Negative PSMA PET can be used to avoid unnecessary pelvic lymph node dissection in intermediate risk prostate cancer
Prostate-specific membrane antigen (PSMA) positron emission tomography (PET) has a high negative predictive value (NPV) in...
Prostate Cancer And Prostatic Diseases
comment
0
thumb_up
0
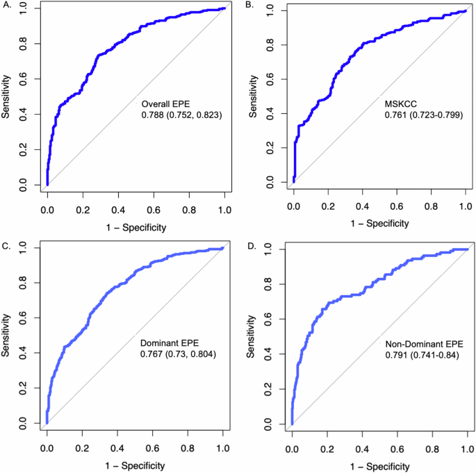
Prostate MRI and clinicopathologic risk calculator to predict laterality of extraprostatic extension at radical prostatectomy
Traditional nomograms can inform the presence of extraprostatic extension (EPE) but not laterality, which remains importan...
Prostate Cancer And Prostatic Diseases
comment
0
thumb_up
0
The changing face of castrate resistant prostate cancer
Petrylak DP, Tangen CM, Hussain MH, Lara PN Jr, Jones JA, Taplin ME, et al. Docetaxel and estramustine compared with mitox...
Prostate Cancer And Prostatic Diseases
comment
0
thumb_up
0
Trends in pre-biopsy MRI usage for prostate cancer detection, 2007–2022
Clinical guidelines favor MRI before prostate biopsy due to proven benefits. However, adoption patterns across the US are ...
Prostate Cancer And Prostatic Diseases
comment
0
thumb_up
0
The appropriateness of PSMA PET/CT in newly diagnosed unfavorable intermediate-risk prostate cancer patients—towards a tumor volume-based risk stratification
This study reassesses the diagnostic value of PSMA PET/CT in unfavorable intermediate-risk prostate cancer (PCa) and valid...
Prostate Cancer And Prostatic Diseases
comment
0
thumb_up
0
Evaluating 4Kscore’s role in predicting progression on active surveillance for prostate cancer independently of clinical information and PIRADS score
4Kscore is used to aid the decision for prostate biopsy, however its role in active surveillance (AS) has not been investi...
Prostate Cancer And Prostatic Diseases
comment
0
thumb_up
0
Therapeutic implications of homologous repair deficiency testing in patients with prostate cancer (Part 2 of 2)
Unfortunately, not all metastatic castration-resistant prostate cancer (mCRPC) patients receive available life-prolonging ...
Prostate Cancer And Prostatic Diseases
comment
0
thumb_up
0
Prostate cancer in low- and middle-income countries - challenges and opportunities
James ND, Tannock I, N’Dow J, Feng F, Gillessen S, Ali SA, et al. The Lancet Commission on prostate cancer: planning for t...
Prostate Cancer And Prostatic Diseases
comment
0
thumb_up
0
Germline and somatic testing for homologous repair deficiency in patients with prostate cancer (part 1 of 2)
Unfortunately, not all metastatic castration resistant prostate cancer (mCRPC) patients receive available life-prolonging ...
Prostate Cancer And Prostatic Diseases
comment
0
thumb_up
0
Surveillance after Focal Therapy – a Comprehensive Review
to date, no standardized, evidence-based follow-up schemes exist for the monitoring of patients who underwent focal therap...
Prostate Cancer And Prostatic Diseases
comment
0
thumb_up
0
Incidence and management of BPH surgery-related urethral stricture: results from a large U.S. database
Urethral stricture (US) is a well-known complication after surgical treatment of benign prostatic hyperplasia (BPH). This ...
Prostate Cancer And Prostatic Diseases
comment
0
thumb_up
0
Baseline serum testosterone and differential efficacy of bipolar androgen therapy and enzalutamide in the randomized TRANSFORMER trial
Bipolar androgen therapy (BAT) is effective in a subset of metastatic castration-resistant prostate cancer (mCRPC) patient...
Prostate Cancer And Prostatic Diseases
comment
0
thumb_up
0
Accuracy, readability, and understandability of large language models for prostate cancer information to the public
Generative Pretrained Model (GPT) chatbots have gained popularity since the public release of ChatGPT. Studies have evalua...
Prostate Cancer And Prostatic Diseases
comment
0
thumb_up
0
Letter to the editor: “Incidence of prostate cancer in transgender women in the US: a large database analysis.”
The opinions expressed by the authors are their own and this material should not be interpreted as representing the offici...
Prostate Cancer And Prostatic Diseases
comment
0
thumb_up
0
The need for precision medicine in managing cardiovascular risk for men receiving ADT
Competing interests AWH reports advisory board consulting for Johnson & John...
Prostate Cancer And Prostatic Diseases
comment
0
thumb_up
0
Correction: Real-world four-year functional and surgical outcomes of Rezum therapy in younger versus elderly men
Authors and AffiliationsAlbert Einstein College of Medicine, Bronx, NY, USAMichael Zhu, Mustufa Babar, Noah Hawks-Ladds, M...
Prostate Cancer And Prostatic Diseases
comment
0
thumb_up
0
A systematic review and meta-analysis to evaluate the diagnostic accuracy of PSMA PET/CT in the initial staging of prostate cancer
Positron Emission Tomography-Computed Tomography using Prostate-Specific Membrane Antigen (PSMA PET/CT) is notable for its...
Prostate Cancer And Prostatic Diseases
comment
0
thumb_up
0
Risk calculators for the detection of prostate cancer: a systematic review
Prostate cancer (PCa) (early) detection poses significant challenges, including unnecessary testing and the risk of potent...
Prostate Cancer And Prostatic Diseases
comment
0
thumb_up
0
Correction: Retreatment rates and postprocedural complications are higher than expected after BPH surgeries: a US healthcare claims and utilization study
The article Retreatment rates and postprocedural complications are higher than expected after BPH surgeries: a US healthca...
Prostate Cancer And Prostatic Diseases
comment
0
thumb_up
0
The effects of glycemic index on prostate cancer progression in a xenograft mouse model
Previously, we found low-carbohydrate diets slowed prostate cancer (PC) growth and increased survival vs. a Western diet i...
Prostate Cancer And Prostatic Diseases
comment
0
thumb_up
0
High-risk biochemical recurrence of locally treated prostate cancer after EMBARK. An end to decades of conventional wisdom?
Managing biochemical recurrence (BCR) of localized prostate cancers (PCa) that have failed all option...
Prostate Cancer And Prostatic Diseases
comment
0
thumb_up
0
Real-world prevalence of homologous recombination repair mutations in advanced prostate cancer: an analysis of two clinico-genomic databases
Homologous recombination repair mutation (HRRm) status may guide risk-stratification and treatment decisions, including po...
Prostate Cancer And Prostatic Diseases
comment
0
thumb_up
0
Prostein expression on circulating tumor cells as a prognostic marker in metastatic castration-resistant prostate cancer
Identification of emerging molecular biomarkers on circulating tumor cells (CTCs) represents an attractive feature of liqu...
Prostate Cancer And Prostatic Diseases
comment
0
thumb_up
0
Major adverse cardiovascular events of enzalutamide versus abiraterone in prostate cancer: a retrospective cohort study
While the cardiovascular risks of androgen receptor pathway inhibitors have been studied, they were seldom compared direct...
Prostate Cancer And Prostatic Diseases
comment
0
thumb_up
0
Load More
Modal title
×
Modal title
×
Share
Login
Global News and Health Forum
Join Now!
Member Login
Remember me
Forgot password?
Or using
Linkedin