×
Close
Sign Up
Login
Home
SCI Abstract
Library D
Events & Partner
WeMed
MDLA Events Platform
Events
Media Partners
Educational Partner
User Tools
FAQ/USER GUIDE
Language
English
中文/ Chinese
French
Português
Español
Arabic
Russian
Contact Us
×
Close
mdla_1
mdla_2
mdla_3
mdla_4
mdla_5
mdla_6
Categories
Infectious Diseases
14019
Global Medical University
5141
Allergy
1792
Anatomy & Morphology
1584
Andrology
379
Anesthesia & Intensive Care
1299
Anesthesiology
5398
Audiology & Speech-Language Pathology
347
Behavioral Sciences
105
Biochemical Research Methods
7243
Biochemistry & Molecular Biology
30071
Biodiversity Conservation
330
Biology
8514
Biophysics
8292
Biotechnology & Applied Microbiology
8659
Cardiac & Cardiovascular Systems
31116
Cardiovascular & Respiratory Systems
1408
Cell & Tissue Engineering
704
Cell Biology
11184
Chemistry, Analytical
4301
Chemistry, Applied
10944
Chemistry, Medicinal
8744
Chemistry, Multidisciplinary
18521
Clinical Immunology & Infectious Disease
423
Clinical Medicine
8962
Clinical Neurology
16622
Clinical Psychology & Psychiatry
1291
Critical Care Medicine
3163
Dentistry, Oral Surgery & Medicine
13541
Dermatology
7484
Developmental Biology
6936
Ecology
633
Education, Scientific Disciplines
2042
Emergency Medicine
4117
Endocrinology, Metabolism & Nutrition
24615
Engineering, Biomedical
3728
Entomology
489
Environmental Medicine & Public Health
4669
Evolutionary Biology
276
Gastroenterology & Hepatology
12254
General & Internal Medicine
7008
Genetics & Heredity
15192
Geriatrics & Gerontology
5095
Gerontology
382
Health Care Sciences & Services
16160
Health Policy & Services
604
Hematology
5578
Immunology
24831
Integrative & Complementary Medicine
2943
Medical Ethics
1239
Medical Informatics
2232
Medical Laboratory Technology
419
Medicine, General & Internal
44379
Medicine, Legal
532
Medicine, Research & Experimental
17792
Microbiology
23379
Mycology
0
Nanoscience & Nanotechnology
5388
Neuroimaging
1378
Neurology
4562
Neurosciences
39847
Nursing
9784
Nutrition & Dietetics
7835
Obstetrics & Gynecology
8277
Oncology
52465
Ophthalmology
9748
Optics
4279
Orthopedics
11803
Orthopedics, Rehabilitation & Sports Medicine
1828
Otolaryngology
1583
Otorhinolaryngology
4894
Parasitology
1166
Pathology
5144
Pediatrics
21615
Peripheral Vascular Disease
4766
Pharmacology & Pharmacy
35490
Pharmacology/Toxicology
12212
Physiology
8914
Polymer Science
542
Primary Health Care
837
Psychiatry
19123
Psychology
5251
Psychology, Applied
111
Psychology, Biological
390
Psychology, Clinical
811
Psychology, Developmental
273
Psychology, Educational
164
Psychology, Experimental
171
Psychology, Mathematical
0
Psychology, Multidisciplinary
1694
Psychology, Psychoanalysis
30
Psychology, Social
131
Public Health & Health Care Science
2225
Public, Environmental & Occupational Health
27281
Quantum Science & Technology
0
Radiology, Nuclear Medicine & Imaging
12489
Radiology, Nuclear Medicine & Medical Imaging
8263
Rehabilitation
3068
Remote Sensing
0
Reproductive Biology
2872
Reproductive Medicine
1212
Research/Laboratory Medicine & Medical Technology
4025
Respiratory System
7421
Rheumatology
6029
Social Sciences, Biomedical
1178
Substance Abuse
2771
Surgery
33937
Toxicology
4445
Transplantation
938
Tropical Medicine
300
Urology & Nephrology
12890
Veterinary Sciences
35
Virology
2550
Zoology
0
Channels
JAIDS-JOURNAL OF ACQUIRED IMMUNE DEFICIENCY SYNDROMES
525
NEJM-Infectious Disease
10
MedRxiv Infectious Diseases
4286
NEJM Infectious Disease
48
CURRENT HIV/AIDS REPORTS
147
CURRENT OPINION IN HIV AND AIDS
128
CURRENT OPINION IN INFECTIOUS DISEASES
209
EMERGING INFECTIOUS DISEASES
1237
EPIDEMICS
256
INFECTION AND DRUG RESISTANCE
1750
INFECTION AND IMMUNITY
33
INFECTIOUS DISEASES OF POVERTY
297
INFLUENZA AND OTHER RESPIRATORY VIRUSES
70
INTERNATIONAL JOURNAL OF HYGIENE AND ENVIRONMENTAL HEALTH
444
INTERNATIONAL JOURNAL OF INFECTIOUS DISEASES
87
JOURNAL OF INFECTION
40
LANCET INFECTIOUS DISEASES
17
TICKS AND TICK-BORNE DISEASES
463
AIDS RESEARCH AND THERAPY
233
AMERICAN JOURNAL OF INFECTION CONTROL
38
INTERNATIONAL JOURNAL OF STD & AIDS
87
JOURNAL OF GLOBAL ANTIMICROBIAL RESISTANCE
0
JOURNAL OF INFECTION AND CHEMOTHERAPY
629
JOURNAL OF INFECTION AND PUBLIC HEALTH
0
JOURNAL OF PEDIATRIC INFECTIOUS DISEASES
164
JOURNAL OF VECTOR BORNE DISEASES
174
JOURNAL OF VIRUS ERADICATION
0
MICROBES AND INFECTION
0
ONE HEALTH
0
PEDIATRIC INFECTIOUS DISEASE JOURNAL
240
REVISTA DO INSTITUTO DE MEDICINA TROPICAL DE SAO PAULO
0
SEXUALLY TRANSMITTED DISEASES
43
MEDECINE ET MALADIES INFECTIEUSES
40
TROPICAL MEDICINE AND INFECTIOUS DISEASE
435
TROPICAL DISEASES TRAVEL MEDICINE AND VACCINES
78
CURRENT TREATMENT OPTIONS IN INFECTIOUS DISEASES
43
CURRENT TROPICAL MEDICINE REPORTS
117
INFECTIOUS DISEASE REPORTS
117
INFECTIOUS DISEASES IN CLINICAL PRACTICE
243
INTERNATIONAL JOURNAL OF MYCOBACTERIOLOGY
138
JOURNAL OF GLOBAL INFECTIOUS DISEASES
70
LANCET MICROBE
0
CURRENT INFECTIOUS DISEASE REPORTS
97
INFECTION
571
INFECTIOUS DISEASES AND THERAPY
415
SCI Abstract
search
ALL
RECOMMENDED
+
Prevalence of Anal Human Papillomavirus Infection and Anal High-Grade Squamous Intraepithelial Lesions Among Men Who Have Sex With Men 50 Years and Older Living With or Without HIV
Background: Anal cancer is caused by human papillomavirus (HPV), particularly HPV-16, and is prec
Jaids-journal Of Acquired Immune Deficiency Syndromes
comment
0
thumb_up
0
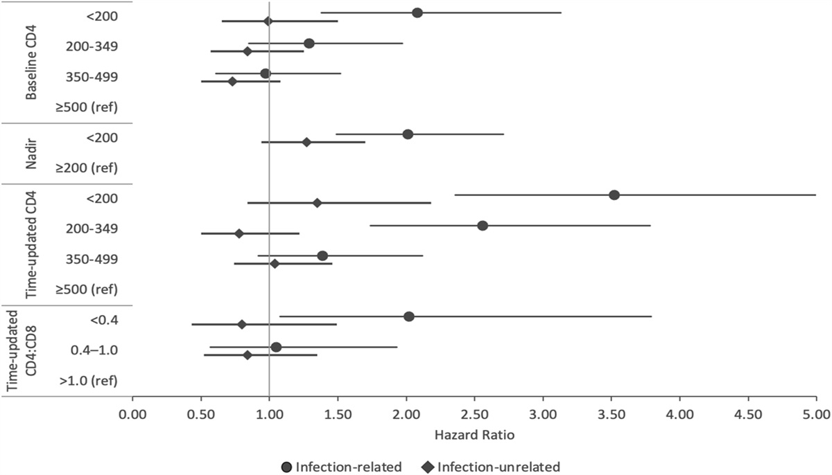
Associations of CD4 Cell Count Measures With Infection-Related and Infection-Unrelated Cancer Risk Among People With HIV
Background: People with HIV are at higher risk of infection-related cancers than the general popu
Jaids-journal Of Acquired Immune Deficiency Syndromes
comment
0
thumb_up
0
Reaching for 90:90:90 in Correctional Facilities in South Africa and Zambia: Virtual Cross-Section of Coverage of HIV Testing and Antiretroviral Therapy During Universal Test and Treat Implementation
Background: People in correctional settings are a key population for HIV epidemic control. We sou
Jaids-journal Of Acquired Immune Deficiency Syndromes
comment
0
thumb_up
0
Brief Report: Low-Dose Methotrexate Does Not Affect Measures of HIV-1 Persistence in Individuals With Chronically Treated HIV-1 Infection
Background: People with HIV-1 often have chronic inflammation leading to severe non-AIDS morbidit
Jaids-journal Of Acquired Immune Deficiency Syndromes
comment
0
thumb_up
0
Effectiveness of Using Additional HIV Self-Test Kits as an Incentive to Increase HIV Testing Within Assisted Partner Services
Background: Incentives have shown mixed results in increasing HIV testing rates in low-resource s
Jaids-journal Of Acquired Immune Deficiency Syndromes
comment
0
thumb_up
0
Randomized Controlled Trial of 60 minutes for Health With Rapid Antiretroviral Therapy to Reengage Persons With HIV Who Are Out of Care
Background: Many persons with HIV remain out of care (PWH-OOC). We evaluated InstaCare, a complex
Jaids-journal Of Acquired Immune Deficiency Syndromes
comment
0
thumb_up
0
Do Peer Navigators Improve Initiation and Retention in HIV/VH/STI Treatment Programs for People From Key Populations? A Systematic Review of Effectiveness, Values and Preferences, and Cost
Background: Key populations are disproportionately affected by HIV, viral hepatitis (VH), and sex
Jaids-journal Of Acquired Immune Deficiency Syndromes
comment
0
thumb_up
0
Brief Report: Self-Reported HIV-Positive Status but Subsequent HIV-Negative Test Results in Population-Based HIV Impact Assessment Survey Participants—11 Sub-Saharan African Countries, 2015–2018
Background: HIV testing is a critical step to accessing antiretroviral therapy (ART) because earl
Jaids-journal Of Acquired Immune Deficiency Syndromes
comment
0
thumb_up
0
Unmet Needs for HIV Ancillary Services Among Persons With Diagnosed HIV Aged 55 years and Older
Background: Approximately 2 in 5 persons with HIV (PWH) in the United States are aged 55 years or
Jaids-journal Of Acquired Immune Deficiency Syndromes
comment
0
thumb_up
0
Factors Associated With COVID-19 Vaccination Among Racial/Ethnic Minority Groups With HIV in South Florida
Background: Racial/ethnic minority groups with HIV in the United States are particularly vulnerab
Jaids-journal Of Acquired Immune Deficiency Syndromes
comment
0
thumb_up
0
Brief Report: The Role of Substance Use in Structural Heart Disease Among Women Living With HIV
Background: People living with HIV have increased risk of cardiovascular disease, but few studies
Jaids-journal Of Acquired Immune Deficiency Syndromes
comment
0
thumb_up
0
Simulation of Full HIV Cluster Networks in a Nationally Representative Model Indicates Intervention Opportunities
Background: Clusters of rapid HIV transmission in the United States are increasingly recognized t
Jaids-journal Of Acquired Immune Deficiency Syndromes
comment
0
thumb_up
0
Intimate Partner Violence and Adherence to PrEP and ART Among Ugandan HIV Serodifferent Couples
Background: Intimate partner violence (IPV) is associated with increased risk of HIV acquisition
Jaids-journal Of Acquired Immune Deficiency Syndromes
comment
0
thumb_up
0
Barriers and Facilitators to Long-Acting Injectable HIV Pre-Exposure Prophylaxis Implementation in Primary Care Since Its Approval in the United States
Background: HIV pre-exposure prophylaxis (PrEP) is a highly effective method to mitigate the HIV
Jaids-journal Of Acquired Immune Deficiency Syndromes
comment
0
thumb_up
0
Using Electronic Health Records to Improve HIV Preexposure Prophylaxis Care: A Randomized Trial
Background: Preexposure prophylaxis (PrEP) use remains limited and inequitable, and strategies ar
Jaids-journal Of Acquired Immune Deficiency Syndromes
comment
0
thumb_up
0
Predictors of Mortality Among Children and Adolescents Living With HIV on Antiretroviral Therapy in Western Kenya
Background: Antiretroviral therapy (ART) has decreased HIV-attributable deaths; however, children
Jaids-journal Of Acquired Immune Deficiency Syndromes
comment
0
thumb_up
0
Brief Report: Relationship Between Adiposity and Biomarkers of Aging and Frailty Among Adults Aging With HIV
Background: This study examined the relationships among adiposity, handgrip, physical function, i
Jaids-journal Of Acquired Immune Deficiency Syndromes
comment
0
thumb_up
0
Alcohol Consumption and Illicit Drug Use: Associations With Fall, Fracture, and Acute Health Care Utilization Among People With HIV Infection
Background: Given alcohol and/or other drug (AOD) use occurs among people with HIV (PWH), we exam
Jaids-journal Of Acquired Immune Deficiency Syndromes
comment
0
thumb_up
0
Randomized Trial of a “Dynamic Choice” Patient-Centered Care Intervention for Mobile Persons With HIV in East Africa
Background: Persons with HIV (PWH) with high mobility face obstacles to HIV care engagement and v
Jaids-journal Of Acquired Immune Deficiency Syndromes
comment
0
thumb_up
0
Time to Treatment Initiation and HIV Viral Suppression in People Diagnosed With HIV-1 During COVID-19 Pandemic in Ex-Aquitaine, France (ANRS CO3 AQUIVIH-NA Cohort-QuAliCOV Study)
Objectives: The COVID-19 pandemic's impact on initiation and effectiveness of antiretroviral ther
Jaids-journal Of Acquired Immune Deficiency Syndromes
comment
0
thumb_up
0
Brief Report: Ryan White Participation Increased the Prevalence of COVID-19 Vaccination Among People Living with HIV in Michigan
Introduction: People living with HIV (PLWH) have higher prevalence of adverse COVID-19 outcomes,
Jaids-journal Of Acquired Immune Deficiency Syndromes
comment
0
thumb_up
0
Breastfeeding Among Women Living With HIV in the Era of Lifelong ART: An Observational Multicountry Study in Eastern and Southern Africa
Background: Lifelong antiretroviral treatment (ART) use is recommended for pregnant and breastfee
Jaids-journal Of Acquired Immune Deficiency Syndromes
comment
0
thumb_up
0
Identifying the Mental Health Effects of Cumulative Traumatic Exposure in HIV-Affected Youth: A Longitudinal Assessment
Introduction: Traumatic events (TEs) in early life can precede adult psychopathology. Limited res
Jaids-journal Of Acquired Immune Deficiency Syndromes
comment
0
thumb_up
0
Comparing Cancer Incidence in an Observational Cohort of Medicaid Beneficiaries With and Without HIV, 2001–2015
Background: Life expectancy among people with HIV (PWH) is increasing, making chronic conditions—
Jaids-journal Of Acquired Immune Deficiency Syndromes
comment
0
thumb_up
0
A Patient-Centered, Combination Intervention to Support Adherence to HIV Pre-exposure Prophylaxis During Pregnancy and Breastfeeding: A Randomized Pilot Study in Malawi
Background: Daily oral pre-exposure prophylaxis (PrEP) can reduce HIV incidence in pregnant and b
Jaids-journal Of Acquired Immune Deficiency Syndromes
comment
0
thumb_up
0
Brief Report: HIV Drug Resistance Assessment Among Women Who Seroconverted During the MTN-025/HOPE Open-Label Extension Dapivirine Vaginal Ring Trial
Background: Clinical trials of dapivirine (DPV) vaginal ring have shown it is safe, effective, an
Jaids-journal Of Acquired Immune Deficiency Syndromes
comment
0
thumb_up
0
DELIVER: A Safety Study of a Dapivirine Vaginal Ring and Oral PrEP for the Prevention of HIV During Pregnancy
Background: Pregnancy represents a period of high HIV acquisition risk. Safety data for the month
Jaids-journal Of Acquired Immune Deficiency Syndromes
comment
0
thumb_up
0
The Determinants of Elevated Pathobiological Determination of Atherosclerosis in Youth Risk Score in Perinatally HIV-Infected Adolescents in South Africa
Background: Youth living with perinatally acquired HIV infection (YLPHIV) are at risk of developi
Jaids-journal Of Acquired Immune Deficiency Syndromes
comment
0
thumb_up
0
Perception and Emotional Experiences of Infant Feeding Among Women Living With HIV in a High-Income Setting: A Longitudinal Mixed Methods Study
Background: The recommendation of breastfeeding avoidance for women living with HIV in high-incom
Jaids-journal Of Acquired Immune Deficiency Syndromes
comment
0
thumb_up
0
Nonviral Liver Disease Burden in People Living With HIV and Elevated Transaminases: A Cross-Sectional Study
Introduction: Because of improved life expectancy in people living with HIV (PLWH), liver disease
Jaids-journal Of Acquired Immune Deficiency Syndromes
comment
0
thumb_up
0
Load More
Modal title
×
Modal title
×
Share
Login
Global News and Health Forum
Join Now!
Member Login
Remember me
Forgot password?
Or using
Linkedin