×
Close
Sign Up
Login
Home
SCI Abstract
Library D
Events & Partner
WeMed
MDLA Events Platform
Events
Media Partners
Educational Partner
User Tools
FAQ/USER GUIDE
Language
English
中文/ Chinese
French
Português
Español
Arabic
Russian
Contact Us
×
Close
mdla_1
mdla_2
mdla_3
mdla_4
mdla_5
mdla_6
Categories
Clinical Neurology
16636
Global Medical University
5141
Allergy
1792
Anatomy & Morphology
1584
Andrology
379
Anesthesia & Intensive Care
1300
Anesthesiology
5399
Audiology & Speech-Language Pathology
347
Behavioral Sciences
105
Biochemical Research Methods
7243
Biochemistry & Molecular Biology
30077
Biodiversity Conservation
330
Biology
8515
Biophysics
8292
Biotechnology & Applied Microbiology
8662
Cardiac & Cardiovascular Systems
31125
Cardiovascular & Respiratory Systems
1413
Cell & Tissue Engineering
704
Cell Biology
11182
Chemistry, Analytical
4301
Chemistry, Applied
10948
Chemistry, Medicinal
8755
Chemistry, Multidisciplinary
18521
Clinical Immunology & Infectious Disease
423
Clinical Medicine
8962
Clinical Psychology & Psychiatry
1294
Critical Care Medicine
3163
Dentistry, Oral Surgery & Medicine
13544
Dermatology
7485
Developmental Biology
6954
Ecology
633
Education, Scientific Disciplines
2050
Emergency Medicine
4117
Endocrinology, Metabolism & Nutrition
24622
Engineering, Biomedical
3729
Entomology
489
Environmental Medicine & Public Health
4669
Evolutionary Biology
276
Gastroenterology & Hepatology
12236
General & Internal Medicine
7013
Genetics & Heredity
15196
Geriatrics & Gerontology
5075
Gerontology
382
Health Care Sciences & Services
16165
Health Policy & Services
604
Hematology
5578
Immunology
24850
Infectious Diseases
14017
Integrative & Complementary Medicine
2943
Medical Ethics
1239
Medical Informatics
2232
Medical Laboratory Technology
419
Medicine, General & Internal
44379
Medicine, Legal
532
Medicine, Research & Experimental
17792
Microbiology
23387
Mycology
0
Nanoscience & Nanotechnology
5388
Neuroimaging
1365
Neurology
4562
Neurosciences
39861
Nursing
9787
Nutrition & Dietetics
7849
Obstetrics & Gynecology
8277
Oncology
52506
Ophthalmology
9749
Optics
4279
Orthopedics
11803
Orthopedics, Rehabilitation & Sports Medicine
1828
Otolaryngology
1583
Otorhinolaryngology
4894
Parasitology
1167
Pathology
5148
Pediatrics
21618
Peripheral Vascular Disease
4767
Pharmacology & Pharmacy
35500
Pharmacology/Toxicology
12212
Physiology
8922
Polymer Science
542
Primary Health Care
837
Psychiatry
19132
Psychology
5240
Psychology, Applied
111
Psychology, Biological
390
Psychology, Clinical
811
Psychology, Developmental
273
Psychology, Educational
164
Psychology, Experimental
171
Psychology, Mathematical
0
Psychology, Multidisciplinary
1694
Psychology, Psychoanalysis
30
Psychology, Social
131
Public Health & Health Care Science
2225
Public, Environmental & Occupational Health
27291
Quantum Science & Technology
0
Radiology, Nuclear Medicine & Imaging
12500
Radiology, Nuclear Medicine & Medical Imaging
8264
Rehabilitation
3074
Remote Sensing
0
Reproductive Biology
2872
Reproductive Medicine
1212
Research/Laboratory Medicine & Medical Technology
4029
Respiratory System
7421
Rheumatology
6029
Social Sciences, Biomedical
1178
Substance Abuse
2771
Surgery
33936
Toxicology
4445
Transplantation
938
Tropical Medicine
300
Urology & Nephrology
12890
Veterinary Sciences
35
Virology
2551
Zoology
0
Channels
ALZHEIMERS RESEARCH & THERAPY
426
Dental Journal of Advance Studies
47
JOURNAL OF BRACHIAL PLEXUS AND PERIPHERAL NERVE INJURY
31
International Journal of Epilepsy
33
ALZHEIMERS & DEMENTIA
156
ANNALS OF NEUROLOGY
181
BIPOLAR DISORDERS
122
BRAIN STIMULATION
0
CEPHALALGIA
100
CURRENT NEUROLOGY AND NEUROSCIENCE REPORTS
232
CURRENT OPINION IN NEUROLOGY
242
EUROPEAN ARCHIVES OF PSYCHIATRY AND CLINICAL NEUROSCIENCE
497
INTERNATIONAL JOURNAL OF STROKE
23
JOURNAL OF NEURODEVELOPMENTAL DISORDERS
149
JOURNAL OF NEUROLOGY
1001
LANCET NEUROLOGY
0
MULTIPLE SCLEROSIS JOURNAL
153
NATURE REVIEWS NEUROLOGY
407
NEUROGASTROENTEROLOGY AND MOTILITY
183
NEUROLOGY
2188
NEUROLOGY-NEUROIMMUNOLOGY & NEUROINFLAMMATION
320
NEUROSCIENTIST
19
PSYCHIATRY AND CLINICAL NEUROSCIENCES
51
SLEEP MEDICINE
0
THERAPEUTIC ADVANCES IN NEUROLOGICAL DISORDERS
46
ACTA NEUROLOGICA SCANDINAVICA
112
AMERICAN JOURNAL OF ALZHEIMERS DISEASE AND OTHER DEMENTIAS
19
ANNALS OF INDIAN ACADEMY OF NEUROLOGY
245
CEREBROVASCULAR DISEASES
211
CLINICAL EEG AND NEUROSCIENCE
47
CLINICAL JOURNAL OF PAIN
49
EPILEPSY & BEHAVIOR
0
EPILEPSY RESEARCH
0
EPILEPTIC DISORDERS
66
EUROPEAN NEUROLOGY
130
JOURNAL OF NEUROLOGIC PHYSICAL THERAPY
17
JOURNAL OF NEUROSURGICAL ANESTHESIOLOGY
67
JOURNAL OF PAIN RESEARCH
956
NEURODEGENERATIVE DISEASES
47
NEUROEPIDEMIOLOGY
111
NEUROLOGIST
33
OTOLOGY & NEUROTOLOGY
361
PAIN AND THERAPY
316
PEDIATRIC NEUROLOGY
1
SCHMERZ
119
SEMINARS IN PEDIATRIC NEUROLOGY
173
SPINE
57
STROKE AND VASCULAR NEUROLOGY
220
JOURNAL OF NEUROLOGICAL SURGERY PART A-CENTRAL EUROPEAN NEUROSURGERY
283
JOURNAL OF THE NEUROLOGICAL SCIENCES
51
MULTIPLE SCLEROSIS AND RELATED DISORDERS
1338
NEUROLOGIC CLINICS
81
NEUROMUSCULAR DISORDERS
32
SEMINARS IN NEUROLOGY
240
ZEITSCHRIFT FUR EPILEPTOLOGIE
106
TREMOR AND OTHER HYPERKINETIC MOVEMENTS
77
SOMNOLOGIE
89
AFRICAN JOURNAL OF NEUROLOGICAL SCIENCES
51
BRAIN CIRCULATION
78
BRITISH JOURNAL OF PAIN
26
CASE REPORTS IN NEUROLOGY
141
CLINICAL NEUROPSYCHIATRY
14
DEMENTIA AND GERIATRIC COGNITIVE DISORDERS EXTRA
37
EUROPEAN STROKE JOURNAL
39
INTERVENTIONAL NEUROLOGY
10
IRANIAN JOURNAL OF CHILD NEUROLOGY
156
JOURNAL OF NEUROLOGICAL SURGERY REPORTS
96
JOURNAL OF NEUROSCIENCES IN RURAL PRACTICE
148
JOURNAL OF PEDIATRIC NEUROPSYCHOLOGY
61
MOVEMENT DISORDERS CLINICAL PRACTICE
187
MULTIPLE SCLEROSIS JOURNAL-EXPERIMENTAL TRANSLATIONAL AND CLINICAL
57
NEUROHOSPITALIST
54
NEUROLOGY AND CLINICAL NEUROSCIENCE
69
NEUROLOGY INTERNATIONAL
3
NEUROLOGY-CLINICAL PRACTICE
233
NEURO-ONCOLOGY PRACTICE
27
NEUROGENETICS
143
CURRENT PAIN AND HEADACHE REPORTS
256
NEUROCRITICAL CARE
586
NEUROLOGICAL SCIENCES
1182
NEURORADIOLOGY
504
SLEEP AND BIOLOGICAL RHYTHMS
217
SCI Abstract
search
ALL
RECOMMENDED
+
Proteome-wide association studies using summary pQTL data of brain, CSF, and plasma identify 30 risk genes of Alzheimer’s disease dementia
A proteome-wide association study (PWAS) that integrates proteomic data with genome-wide association study (GWAS) summary ...
Alzheimers Research & Therapy
comment
0
thumb_up
0
Kidney function is associated with plasma ATN biomarkers among Hispanics/Latinos: SOL-INCA and HCHS/SOL results
Plasma amyloid-tau-neurodegeneration (ATN) biomarker levels may be influenced by non-brain systems, such as kidney functio...
Alzheimers Research & Therapy
comment
0
thumb_up
0
A longitudinal study of the 5xFAD mouse retina delineates Amyloid beta (Aβ)-mediated retinal pathology from age-related changes
Age-related macular degeneration (AMD) is the commonest cause of irreversible blindness in developed societies. AMD coinci...
Alzheimers Research & Therapy
comment
0
thumb_up
0
Delphinidin attenuates cognitive deficits and pathology of Alzheimer’s disease by preventing microglial senescence via AMPK/SIRT1 pathway
Emerging evidence suggests that senescent microglia play a role in β-amyloid (Aβ) pathology and neuroinflammatio...
Alzheimers Research & Therapy
comment
0
thumb_up
0
Edaravone-Dexborneol slows down pathological progression and cognitive decline via inhibiting S100A9 in APPswe/PS1dE9 mice
Edaravone-Dexborneol (EDB) presents therapeutic effects due to its anti-inflammatory, antioxidant and anti-apoptotic prope...
Alzheimers Research & Therapy
comment
0
thumb_up
0
Frontotemporal structure preservation underlies the protective effect of lifetime intellectual cognitive reserve on cognition in the elderly
Cognitive decline with age has heterogeneous, which might be related to the accumulation of protective factors called cogn...
Alzheimers Research & Therapy
comment
0
thumb_up
0
Computerized decision support to optimally funnel patients through the diagnostic pathway for dementia
The increasing prevalence of dementia and the introduction of disease-modifying therapies (DMTs) highlight the need for ef...
Alzheimers Research & Therapy
comment
0
thumb_up
0
Head-to-head comparison of tau PET tracers [18F]PI-2620 and [18F]RO948 in non-demented individuals with brain amyloid deposition: the TAU-PET FACEHBI cohort
Second-generation tau tracers for positron emission tomography (PET) show high affinity for paired helical filaments tau d...
Alzheimers Research & Therapy
comment
0
thumb_up
0
Alzheimer’s disease-specific transcriptomic and epigenomic changes in the tryptophan catabolic pathway
Neurodegenerative disorders, including Alzheimer’s disease (AD), have been linked to alterations in tryptophan (TRP)...
Alzheimers Research & Therapy
comment
0
thumb_up
0
Neuropsychiatric symptoms and lifelong mental activities in cerebral amyloid angiopathy – a cross-sectional study
While several studies in cerebral amyloid angiopathy (CAA) focus on cognitive function, data on neuropsychiatric symptoms ...
Alzheimers Research & Therapy
comment
0
thumb_up
0
Reliability of the assessment of the clinical dementia rating scale from the analysis of medical records in comparison with the reference method
The Clinical Dementia Rating (CDR) scale allows to detect the presence of dementia and to assess its severity, however its...
Alzheimers Research & Therapy
comment
0
thumb_up
0
A novel PDHK inhibitor restored cognitive dysfunction and limited neurodegeneration without affecting amyloid pathology in 5xFAD mouse, a model of Alzheimer’s disease
Alzheimer’s disease (AD) is the most common form of dementia. Although drugs focusing on reducing amyloid β slo...
Alzheimers Research & Therapy
comment
0
thumb_up
0
CSF neurogranin levels as a biomarker in Alzheimer’s disease and frontotemporal lobar degeneration: a cross-sectional analysis
There is initial evidence suggesting that biomarker neurogranin (Ng) may distinguish Alzheimer’s disease (AD) from o...
Alzheimers Research & Therapy
comment
0
thumb_up
0
Updated safety results from phase 3 lecanemab study in early Alzheimer’s disease
Alzheimer disease (AD) is a major health problem of aging, with tremendous burden on healthcare systems, patients, and fam...
Alzheimers Research & Therapy
comment
0
thumb_up
0
Association between untreated and treated blood pressure levels and cognitive decline in community-dwelling middle-aged and older adults in China: a longitudinal study
Optimal blood pressure (BP) levels to reduce the long-term risk of cognitive decline remains controversial. We aimed to in...
Alzheimers Research & Therapy
comment
0
thumb_up
0
Cerebrospinal fluid α-synuclein adds the risk of cognitive decline and is associated with tau pathology among non-demented older adults
The role of α-synuclein in dementia has been recognized, yet its exact influence on cognitive decline in non-demented...
Alzheimers Research & Therapy
comment
0
thumb_up
0
Plasma biomarkers increase diagnostic confidence in patients with Alzheimer’s disease or frontotemporal lobar degeneration
The recent development of techniques to assess plasma biomarkers has changed the way the research community envisions the ...
Alzheimers Research & Therapy
comment
0
thumb_up
0
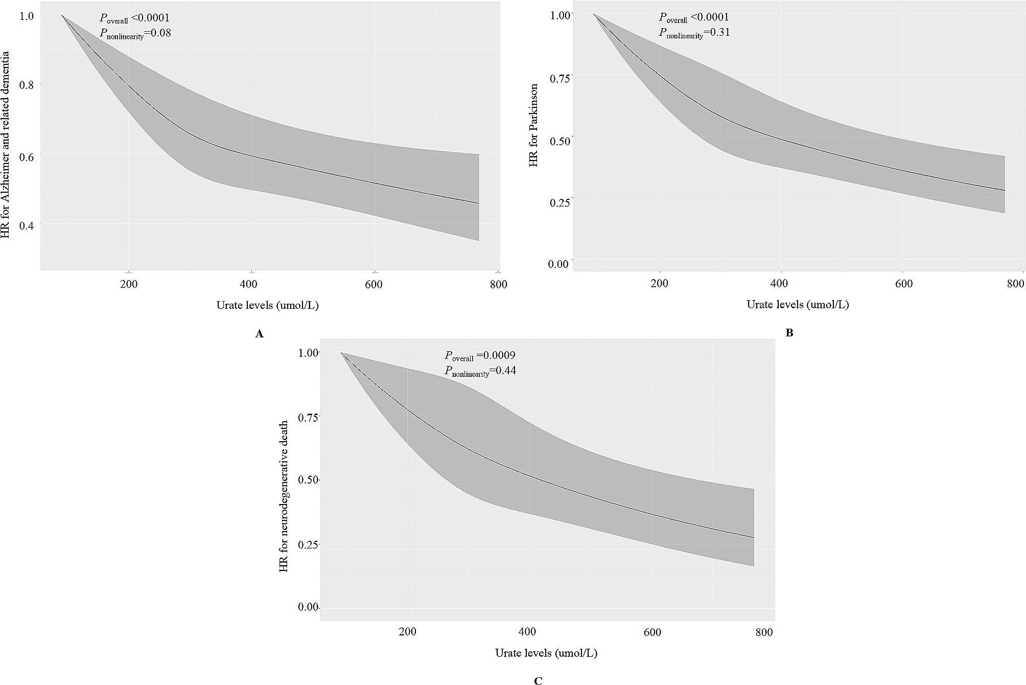
Serum urate levels and neurodegenerative outcomes: a prospective cohort study and mendelian randomization analysis of the UK Biobank
Previous studies on the associations between serum urate levels and neurodegenerative outcomes have yielded inconclusive r...
Alzheimers Research & Therapy
comment
0
thumb_up
0
Whole-brain modeling of the differential influences of amyloid-beta and tau in Alzheimer’s disease
Alzheimer’s disease is a neurodegenerative condition associated with the accumulation of two misfolded proteins, amy...
Alzheimers Research & Therapy
comment
0
thumb_up
0
The age-specific comorbidity burden of mild cognitive impairment: a US claims database study
Identifying individuals with mild cognitive impairment (MCI) who are likely to progress to Alzheimer’s disease and r...
Alzheimers Research & Therapy
comment
0
thumb_up
0
Exploring shared neural substrates underlying cognition and gait variability in adults without dementia
High gait variability is associated with neurodegeneration and cognitive impairments and is predictive of cognitive impair...
Alzheimers Research & Therapy
comment
0
thumb_up
0
How healthy participants value additional diagnostic testing with amyloid-PET in patients diagnosed with mild cognitive impairment — a bidding game experiment
To estimate the perceived value of additional testing with amyloid-PET in Euros in healthy participants acting as analogue...
Alzheimers Research & Therapy
comment
0
thumb_up
0
Clinical outcomes up to 9 years after [18F]flutemetamol amyloid-PET in a symptomatic memory clinic population
Previous studies demonstrated increases in diagnostic confidence and change in patient management after amyloid-PET. Howev...
Alzheimers Research & Therapy
comment
0
thumb_up
0
Estimating attrition in mild-to-moderate Alzheimer’s disease and mild cognitive impairment clinical trials
Participant retention is a key factor that affects clinical trial integrity. Trial protocols estimate attrition as a funct...
Alzheimers Research & Therapy
comment
0
thumb_up
0
Understanding factors associated with the trajectory of subjective cognitive complaints in groups with similar objective cognitive trajectories
Cognitive complaints are often regarded as an early sign of Alzheimer’s disease (AD) but may also occur in several o...
Alzheimers Research & Therapy
comment
0
thumb_up
0
Cross-cultural effects of reminiscence therapy on life satisfaction and autobiographical memory of older adults: a pilot study across Mexico and Spain
There are increasing reports on the cognitive and emotional benefits of positive reminiscence therapy in older people. The...
Alzheimers Research & Therapy
comment
0
thumb_up
0
The metabolic spatial covariance pattern of definite idiopathic normal pressure hydrocephalus: an FDG PET study with principal components analysis
Identification of patients with idiopathic normal pressure hydrocephalus (iNPH) in a collective with suspected neurodegene...
Alzheimers Research & Therapy
comment
0
thumb_up
0
Neuronal transcriptome, tau and synapse loss in Alzheimer’s knock-in mice require prion protein
Progression of Alzheimer’s disease leads to synapse loss, neural network dysfunction and cognitive failure. Accumula...
Alzheimers Research & Therapy
comment
0
thumb_up
0
Health-related quality of life in subjective cognitive decline and mild cognitive impairment: a longitudinal cohort analysis
Health-related quality of life (HR-QoL) is an important outcome for patients and crucial for demonstrating the value of ne...
Alzheimers Research & Therapy
comment
0
thumb_up
0
CSF biomarker analysis of ABCA7 mutation carriers suggests altered APP processing and reduced inflammatory response
The Alzheimer’s disease (AD) risk gene ABCA7 has suggested functions in lipid metabolism and the immune system. Rare...
Alzheimers Research & Therapy
comment
0
thumb_up
0
Load More
Modal title
×
Modal title
×
Share
Login
Global News and Health Forum
Join Now!
Member Login
Remember me
Forgot password?
Or using
Linkedin