×
Close
Sign Up
Login
Home
SCI Abstract
Library D
Events & Partner
WeMed
MDLA Events Platform
Events
Media Partners
Educational Partner
User Tools
FAQ/USER GUIDE
Language
English
中文/ Chinese
French
Português
Español
Arabic
Russian
Contact Us
×
Close
mdla_1
mdla_2
mdla_3
mdla_4
mdla_5
mdla_6
Categories
Biology
8515
Global Medical University
5141
Allergy
1792
Anatomy & Morphology
1584
Andrology
379
Anesthesia & Intensive Care
1300
Anesthesiology
5399
Audiology & Speech-Language Pathology
347
Behavioral Sciences
105
Biochemical Research Methods
7243
Biochemistry & Molecular Biology
30077
Biodiversity Conservation
330
Biophysics
8292
Biotechnology & Applied Microbiology
8662
Cardiac & Cardiovascular Systems
31125
Cardiovascular & Respiratory Systems
1413
Cell & Tissue Engineering
704
Cell Biology
11182
Chemistry, Analytical
4301
Chemistry, Applied
10948
Chemistry, Medicinal
8755
Chemistry, Multidisciplinary
18521
Clinical Immunology & Infectious Disease
423
Clinical Medicine
8962
Clinical Neurology
16636
Clinical Psychology & Psychiatry
1294
Critical Care Medicine
3163
Dentistry, Oral Surgery & Medicine
13544
Dermatology
7485
Developmental Biology
6954
Ecology
633
Education, Scientific Disciplines
2050
Emergency Medicine
4117
Endocrinology, Metabolism & Nutrition
24622
Engineering, Biomedical
3729
Entomology
489
Environmental Medicine & Public Health
4669
Evolutionary Biology
276
Gastroenterology & Hepatology
12236
General & Internal Medicine
7013
Genetics & Heredity
15196
Geriatrics & Gerontology
5075
Gerontology
382
Health Care Sciences & Services
16165
Health Policy & Services
604
Hematology
5578
Immunology
24850
Infectious Diseases
14017
Integrative & Complementary Medicine
2943
Medical Ethics
1239
Medical Informatics
2232
Medical Laboratory Technology
419
Medicine, General & Internal
44379
Medicine, Legal
532
Medicine, Research & Experimental
17792
Microbiology
23387
Mycology
0
Nanoscience & Nanotechnology
5388
Neuroimaging
1365
Neurology
4562
Neurosciences
39861
Nursing
9787
Nutrition & Dietetics
7849
Obstetrics & Gynecology
8277
Oncology
52486
Ophthalmology
9749
Optics
4279
Orthopedics
11803
Orthopedics, Rehabilitation & Sports Medicine
1828
Otolaryngology
1583
Otorhinolaryngology
4894
Parasitology
1167
Pathology
5148
Pediatrics
21618
Peripheral Vascular Disease
4767
Pharmacology & Pharmacy
35500
Pharmacology/Toxicology
12212
Physiology
8922
Polymer Science
542
Primary Health Care
837
Psychiatry
19132
Psychology
5240
Psychology, Applied
111
Psychology, Biological
390
Psychology, Clinical
811
Psychology, Developmental
273
Psychology, Educational
164
Psychology, Experimental
171
Psychology, Mathematical
0
Psychology, Multidisciplinary
1694
Psychology, Psychoanalysis
30
Psychology, Social
131
Public Health & Health Care Science
2225
Public, Environmental & Occupational Health
27291
Quantum Science & Technology
0
Radiology, Nuclear Medicine & Imaging
12500
Radiology, Nuclear Medicine & Medical Imaging
8264
Rehabilitation
3074
Remote Sensing
0
Reproductive Biology
2872
Reproductive Medicine
1212
Research/Laboratory Medicine & Medical Technology
4029
Respiratory System
7421
Rheumatology
6029
Social Sciences, Biomedical
1178
Substance Abuse
2771
Surgery
33928
Toxicology
4445
Transplantation
938
Tropical Medicine
300
Urology & Nephrology
12890
Veterinary Sciences
35
Virology
2551
Zoology
0
Channels
ACTA NEUROPATHOLOGICA COMMUNICATIONS
450
BIOSCIENCE
9
BMC BIOLOGY
579
GENETICS
20
INTERFACE FOCUS
80
JOURNAL OF BIOMEDICAL MATERIALS RESEARCH PART A
153
JOURNAL OF EXPERIMENTAL BIOLOGY
178
JOURNAL OF NANOBIOTECHNOLOGY
917
JOURNAL OF NUTRITIONAL BIOCHEMISTRY
592
ORGANIC & BIOMOLECULAR CHEMISTRY
2362
PLOS BIOLOGY
98
QUARTERLY REVIEW OF BIOLOGY
10
WILEY INTERDISCIPLINARY REVIEWS-DEVELOPMENTAL BIOLOGY
3
AMERICAN JOURNAL OF HUMAN BIOLOGY
131
AMERICAN JOURNAL OF PHYSICAL ANTHROPOLOGY
131
ARCHIVES OF BIOLOGICAL SCIENCES
152
BIOLOGICAL RESEARCH
149
BIOLOGY BULLETIN
62
BIOLOGY OPEN
55
BRAZILIAN ARCHIVES OF BIOLOGY AND TECHNOLOGY
0
HEALTH PHYSICS
193
INDIAN JOURNAL OF EXPERIMENTAL BIOLOGY
121
INDIAN JOURNAL OF HEMATOLOGY AND BLOOD TRANSFUSION
455
JOURNAL OF BIOLOGICAL RESEARCH-THESSALONIKI
13
JOURNAL OF BIOLOGICAL RHYTHMS
28
JOURNAL OF BIOMEDICAL SEMANTICS
63
JOURNAL OF EUKARYOTIC MICROBIOLOGY
26
JOURNAL OF MICROSCOPY
56
JOURNAL OF PATHOLOGY CLINICAL RESEARCH
24
REVISTA DA SOCIEDADE BRASILEIRA DE MEDICINA TROPICAL
0
JOURNAL OF BIOSCIENCES
225
JOURNAL OF TRACE ELEMENTS IN MEDICINE AND BIOLOGY
489
REVISTA DE BIOLOGIA TROPICAL
31
REGULATORY MECHANISMS IN BIOSYSTEMS
263
NUSANTARA BIOSCIENCE
115
HISTOCHEMISTRY AND CELL BIOLOGY
282
SCI Abstract
search
ALL
RECOMMENDED
+
High detection rate of circulating-tumor DNA from cerebrospinal fluid of children with central nervous system germ cell tumors
Central nervous system germ cell tumors (CNS-GCT) are malignant neoplasms that arise predominantly during adolescence and ...
Acta Neuropathologica Communications
comment
0
thumb_up
0
Detection of diagnostic somatic copy number alterations from cerebrospinal fluid cell-free DNA in brain tumor patients
The gold standard for precise diagnostic classification of brain tumors requires tissue sampling, which carries relevant p...
Acta Neuropathologica Communications
comment
0
thumb_up
0
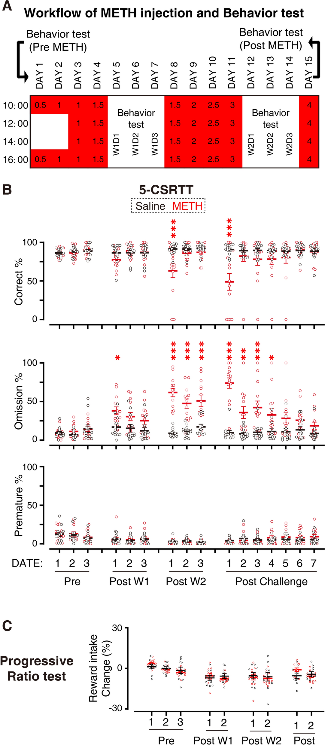
Inhibition of RtTg neurons reverses methamphetamine-induced attention deficits
Chronic methamphetamine (METH) use, a prevalent psychostimulant, is known to impair attention, yet the cellular mechanisms...
Acta Neuropathologica Communications
comment
0
thumb_up
0
An immune scoring system predicts prognosis and immune characteristics in lung adenocarcinoma brain metastases by RNA sequencing
Previous studies have reported that the tumor immune microenvironment (TIME) was associated with the prognosis of lung can...
Acta Neuropathologica Communications
comment
0
thumb_up
0
Homozygous CDKN2A/B deletions in low- and high-grade glioma: a meta-analysis of individual patient data and predictive values of p16 immunohistochemistry testing
CDKN2A/B deletions are prognostically relevant in low- and high-grade gliomas. Data on this is derived from heterogeneous ...
Acta Neuropathologica Communications
comment
0
thumb_up
0
Urinary D-asparagine level is decreased by the presence of glioblastoma
Gliomas, particularly glioblastomas (GBMs), pose significant challenges due to their aggressiveness and poor prognosis. Ea...
Acta Neuropathologica Communications
comment
0
thumb_up
0
Oral nicotinamide provides robust, dose-dependent structural and metabolic neuroprotection of retinal ganglion cells in experimental glaucoma
A compromised capacity to maintain NAD pools is recognized as a key underlying pathophysiological feature of neurodegenera...
Acta Neuropathologica Communications
comment
0
thumb_up
0
Genetic and pathophysiological insights from autopsied patient with primary familial brain calcification: novel MYORG variants and astrocytic implications
Primary familial brain calcification (PFBC) is a genetic neurological disorder characterized by symmetric brain calcificat...
Acta Neuropathologica Communications
comment
0
thumb_up
0
A deep phenotyping study in mouse and iPSC models to understand the role of oligodendroglia in optic neuropathy in Wolfram syndrome
Wolfram syndrome (WS) is a rare childhood disease characterized by diabetes mellitus, diabetes insipidus, blindness, deafn...
Acta Neuropathologica Communications
comment
0
thumb_up
0
Systematic transcriptomic analysis of childhood medulloblastoma identifies N6-methyladenosine-dependent lncRNA signatures associated with molecular subtype, immune cell infiltration, and prognosis
Medulloblastoma, the most common malignant pediatric brain tumor, is classified into four main molecular subgroups, but gr...
Acta Neuropathologica Communications
comment
0
thumb_up
0
LINC complex alterations are a key feature of sporadic and familial ALS/FTD
Amyotrophic lateral sclerosis (ALS) is a neurodegenerative disorder that primarily affects motor neurons, leading to progr...
Acta Neuropathologica Communications
comment
0
thumb_up
0
Gene-expression profiling of individuals resilient to Alzheimer's disease reveals higher expression of genes related to metallothionein and mitochondrial processes and no changes in the unfolded protein response
Some individuals show a discrepancy between cognition and the amount of neuropathological changes characteristic for Alzhe...
Acta Neuropathologica Communications
comment
0
thumb_up
0
Neuropathological assessment of the olfactory bulb and tract in individuals with COVID-19
The majority of patients with Parkinson disease (PD) experience a loss in their sense of smell and accumulate insoluble ...
Acta Neuropathologica Communications
comment
0
thumb_up
0
Laminin-associated integrins mediate Diffuse Intrinsic Pontine Glioma infiltration and therapy response within a neural assembloid model
Diffuse Intrinsic Pontine Glioma (DIPG) is a highly aggressive and fatal pediatric brain cancer. One pre-requisite for tum...
Acta Neuropathologica Communications
comment
0
thumb_up
0
Comprehensive analysis of the REST transcription factor regulatory networks in IDH mutant and IDH wild-type glioma cell lines and tumors
The RE1-silencing transcription factor (REST) acts either as a repressor or activator of transcription depending on the ge...
Acta Neuropathologica Communications
comment
0
thumb_up
0
A novel BRAF::PTPRN2 fusion in meningioma: a case report
Gene fusion events have been linked to oncogenesis in many cancers. However, gene fusions in meningioma are understudied c...
Acta Neuropathologica Communications
comment
0
thumb_up
0
Post-COVID exercise intolerance is associated with capillary alterations and immune dysregulations in skeletal muscles
The SARS-CoV-2 pandemic not only resulted in millions of acute infections worldwide, but also in many cases of post-infect...
Acta Neuropathologica Communications
comment
0
thumb_up
0
Glioblastoma pseudoprogression and true progression reveal spatially variable transcriptional differences
Post-resection radiologic monitoring to identify areas of new or progressive enhancement concerning for cancer recurrence ...
Acta Neuropathologica Communications
comment
0
thumb_up
0
Cryo-EM structures of Aβ40 filaments from the leptomeninges of individuals with Alzheimer’s disease and cerebral amyloid angiopathy
We used electron cryo-microscopy (cryo-EM) to determine the structures of Aβ40 filaments from the leptomeninges of in...
Acta Neuropathologica Communications
comment
0
thumb_up
0
Transformation of non-neuritic into neuritic plaques during AD progression drives cortical spread of tau pathology via regenerative failure
Extracellular amyloid-β (Aβ) plaques and intracellular aggregates of tau protein in form of neurofibrillary tang...
Acta Neuropathologica Communications
comment
0
thumb_up
0
CDKN2A/B deletions are strongly associated with meningioma progression: a meta-analysis of individual patient data
Homozygous CDKN2A/B deletion has been associated with an increased risk of recurrence in meningiomas. However, the evidenc...
Acta Neuropathologica Communications
comment
0
thumb_up
0
Advances in genetic abnormalities, epigenetic reprogramming, and immune landscape of intracranial germ cell tumors
Intracranial germ cell tumors (IGCTs) are a rare subtype of central nervous system neoplasms that predominantly affect you...
Acta Neuropathologica Communications
comment
0
thumb_up
0
Genetic alterations that deregulate RB and PDGFRA signaling pathways drive tumor progression in IDH2-mutant astrocytoma
In IDH-mutant astrocytoma, IDH2 mutation is quite rare and biological mechanisms underlying tumor progression in IDH2-muta...
Acta Neuropathologica Communications
comment
0
thumb_up
0
The role of neuromuscular ultrasound in diagnostics of peripheral neuropathies induced by cytostatic agents or immunotherapies
A relevant number of cancer patients who receive potentially neurotoxic cytostatic agents develop a chemotherapy-induced p...
Acta Neuropathologica Communications
comment
0
thumb_up
0
Rare germline variants in POLE and POLD1 encoding the catalytic subunits of DNA polymerases ε and δ in glioma families
Pathogenic germline variants in the DNA polymerase genes POLE and POLD1 cause polymerase proofreading-associated polyposis...
Acta Neuropathologica Communications
comment
0
thumb_up
0
Neuronal SNCA transcription during Lewy body formation
Misfolded α-synuclein (α-syn) is believed to contribute to neurodegeneration in Lewy body disease (LBD) based on...
Acta Neuropathologica Communications
comment
0
thumb_up
0
Molecular and functional profiling of chemotolerant cells unveils nucleoside metabolism-dependent vulnerabilities in medulloblastoma
Chemotherapy resistance is considered one of the main causes of tumor relapse, still challenging researchers for the ident...
Acta Neuropathologica Communications
comment
0
thumb_up
0
Neuronal dysfunction caused by FUSR521G promotes ALS-associated phenotypes that are attenuated by NF-κB inhibition
Amyotrophic lateral sclerosis (ALS) and frontotemporal dementia (FTD) are related neurodegenerative diseases that belong t...
Acta Neuropathologica Communications
comment
0
thumb_up
0
Tau seed amplification assay reveals relationship between seeding and pathological forms of tau in Alzheimer’s disease brain
Tau seed amplification assays (SAAs) directly measure the seeding activity of tau and would therefore be ideal biomarkers ...
Acta Neuropathologica Communications
comment
0
thumb_up
0
Genomic characterization of IDH-mutant astrocytoma progression to grade 4 in the treatment setting
As the progression of low-grade diffuse astrocytomas into grade 4 tumors significantly impacts patient prognosis, a better...
Acta Neuropathologica Communications
comment
0
thumb_up
0
Load More
Modal title
×
Modal title
×
Share
Login
Global News and Health Forum
Join Now!
Member Login
Remember me
Forgot password?
Or using
Linkedin