×
Close
Sign Up
Login
Home
SCI Abstract
Library D
Events & Partner
WeMed
MDLA Events Platform
Events
Media Partners
Educational Partner
User Tools
FAQ/USER GUIDE
Language
English
中文/ Chinese
French
Português
Español
Arabic
Russian
Contact Us
×
Close
mdla_1
mdla_2
mdla_3
mdla_4
mdla_5
mdla_6
Categories
Pathology
5149
Global Medical University
5141
Allergy
1792
Anatomy & Morphology
1584
Andrology
379
Anesthesia & Intensive Care
1300
Anesthesiology
5399
Audiology & Speech-Language Pathology
347
Behavioral Sciences
105
Biochemical Research Methods
7248
Biochemistry & Molecular Biology
30078
Biodiversity Conservation
330
Biology
8515
Biophysics
8297
Biotechnology & Applied Microbiology
8666
Cardiac & Cardiovascular Systems
31125
Cardiovascular & Respiratory Systems
1413
Cell & Tissue Engineering
705
Cell Biology
11182
Chemistry, Analytical
4301
Chemistry, Applied
10962
Chemistry, Medicinal
8755
Chemistry, Multidisciplinary
18540
Clinical Immunology & Infectious Disease
423
Clinical Medicine
8963
Clinical Neurology
16636
Clinical Psychology & Psychiatry
1294
Critical Care Medicine
3163
Dentistry, Oral Surgery & Medicine
13551
Dermatology
7485
Developmental Biology
6954
Ecology
633
Education, Scientific Disciplines
2051
Emergency Medicine
4120
Endocrinology, Metabolism & Nutrition
24628
Engineering, Biomedical
3730
Entomology
489
Environmental Medicine & Public Health
4669
Evolutionary Biology
276
Gastroenterology & Hepatology
12247
General & Internal Medicine
6993
Genetics & Heredity
15200
Geriatrics & Gerontology
5077
Gerontology
382
Health Care Sciences & Services
16168
Health Policy & Services
604
Hematology
5584
Immunology
24852
Infectious Diseases
14021
Integrative & Complementary Medicine
2943
Medical Ethics
1239
Medical Informatics
2232
Medical Laboratory Technology
419
Medicine, General & Internal
44381
Medicine, Legal
532
Medicine, Research & Experimental
17793
Microbiology
23388
Mycology
0
Nanoscience & Nanotechnology
5368
Neuroimaging
1366
Neurology
4562
Neurosciences
39874
Nursing
9787
Nutrition & Dietetics
7849
Obstetrics & Gynecology
8279
Oncology
52503
Ophthalmology
9752
Optics
4281
Orthopedics
11803
Orthopedics, Rehabilitation & Sports Medicine
1828
Otolaryngology
1584
Otorhinolaryngology
4894
Parasitology
1167
Pediatrics
21621
Peripheral Vascular Disease
4767
Pharmacology & Pharmacy
35505
Pharmacology/Toxicology
12212
Physiology
8922
Polymer Science
542
Primary Health Care
837
Psychiatry
19134
Psychology
5240
Psychology, Applied
111
Psychology, Biological
390
Psychology, Clinical
811
Psychology, Developmental
273
Psychology, Educational
164
Psychology, Experimental
171
Psychology, Mathematical
0
Psychology, Multidisciplinary
1694
Psychology, Psychoanalysis
30
Psychology, Social
131
Public Health & Health Care Science
2225
Public, Environmental & Occupational Health
27295
Quantum Science & Technology
0
Radiology, Nuclear Medicine & Imaging
12505
Radiology, Nuclear Medicine & Medical Imaging
8264
Rehabilitation
3076
Remote Sensing
0
Reproductive Biology
2872
Reproductive Medicine
1212
Research/Laboratory Medicine & Medical Technology
4029
Respiratory System
7421
Rheumatology
6031
Social Sciences, Biomedical
1180
Substance Abuse
2771
Surgery
33939
Toxicology
4445
Transplantation
938
Tropical Medicine
300
Urology & Nephrology
12875
Veterinary Sciences
35
Virology
2554
Zoology
0
Channels
BRAIN TUMOR PATHOLOGY
111
Journal of Clinical Pathology
139
Medrxiv - Pathology
249
ADVANCES IN ANATOMIC PATHOLOGY
146
BRAIN PATHOLOGY
71
CANCER CYTOPATHOLOGY
65
CELLULAR ONCOLOGY
345
DISEASE MODELS & MECHANISMS
8
HISTOPATHOLOGY
220
JOURNAL OF MOLECULAR DIAGNOSTICS
31
NEUROPATHOLOGY AND APPLIED NEUROBIOLOGY
79
PATHOLOGY
0
SEMINARS IN IMMUNOPATHOLOGY
165
ACTA CYTOLOGICA
138
AMERICAN JOURNAL OF FORENSIC MEDICINE AND PATHOLOGY
23
CARDIOVASCULAR PATHOLOGY
196
CYTOJOURNAL
168
CYTOPATHOLOGY
98
DIAGNOSTIC CYTOPATHOLOGY
140
INTERNATIONAL JOURNAL OF EXPERIMENTAL PATHOLOGY
14
INTERNATIONAL JOURNAL OF IMMUNOPATHOLOGY AND PHARMACOLOGY
84
INTERNATIONAL JOURNAL OF PALEOPATHOLOGY
1
INTERNATIONAL JOURNAL OF SURGICAL PATHOLOGY
86
JOURNAL OF COMPARATIVE PATHOLOGY
289
NEUROPATHOLOGY
34
PATHOBIOLOGY
93
PATHOLOGY INTERNATIONAL
74
SEMINARS IN DIAGNOSTIC PATHOLOGY
190
INDIAN JOURNAL OF PATHOLOGY AND MICROBIOLOGY
203
PATHOLOGY RESEARCH AND PRACTICE
1214
SCIENCE & JUSTICE
0
AJSP-REVIEWS AND REPORTS
80
CLINICAL PATHOLOGY
21
CURRENT PATHOBIOLOGY REPORTS
24
HEAD & NECK PATHOLOGY
350
SCI Abstract
search
ALL
RECOMMENDED
+
Primary intracranial sarcoma associated with mutant: a case report and preclinical investigation
Primary intracranial sarcoma (PIS) is a rare and aggressive pediatric brain tumor, which is partially associated with DICE...
Brain Tumor Pathology
comment
0
thumb_up
0
Progression of long-term “untreated” oligodendroglioma cases: possible contribution of genomic instability
Bettegowda C, Agrawal N, Jiao Y, Sausen M, Wood LD, Hruban RH, Rodriguez FJ, Cahill DP, McLendon R, Riggins G, Velculescu ...
Brain Tumor Pathology
comment
0
thumb_up
0
Visualizing the endothelial glycocalyx in human glioma vasculature
Gliomas are the most common primary brain tumors in adults. However, glioblastoma is especially difficult to treat despite...
Brain Tumor Pathology
comment
0
thumb_up
0
CLINICAL utility of assessing status in recurrent astrocytomas
IDH-mutant astrocytomas exhibit a more indolent natural history and better prognosis compared to their IDH-wild type count...
Brain Tumor Pathology
comment
0
thumb_up
0
Discordant lymphoma characterized by the coexistence of diffuse large B-cell lymphoma in the brain and mantle cell lymphoma in the colon, rectum, and bone marrow
We describe a rare case of discordant lymphoma characterized by the coexistence of diffuse large B-cell lymphoma (DLBCL) i...
Brain Tumor Pathology
comment
0
thumb_up
0
Analysis of clinical, histological, and genomic information of molecular glioblastoma in a Japanese glioma cohort
In the 2021 WHO Central Nervous System tumor classification, the “Glioblastoma, IDH-wildtype” diagnosis change...
Brain Tumor Pathology
comment
0
thumb_up
0
The function of chaperones in the radioresistance of glioblastoma: a new insight into the current knowledge
Radiotherapy remains a cornerstone of brain tumor treatment; however, its effectiveness is frequently undermined by the de...
Brain Tumor Pathology
comment
0
thumb_up
0
Rapidly progressive scalp and lung metastases with fatal pneumothorax in glioblastoma, IDH-wildtype, with and amplifications: a case report of clinical course and postmortem autopsy, including genetic analysis
We report a rare case of extracranial metastases of a glioblastoma, IDH-wildtype, in a 77-year-old man who initially prese...
Brain Tumor Pathology
comment
0
thumb_up
0
Intraspinal rearranged tumor with nerve differentiation
The ASPSCR1::TFE3 rearrangement has been described in alveolar soft part sarcoma, MiT family translocation renal cell carc...
Brain Tumor Pathology
comment
0
thumb_up
0
Triple sellar collision lesion: a unique case of pituitary adenoma, Rathke cleft cyst, and xanthogranuloma—case report and systematic review of the literature
The coexistence of three lesions in the sellar region is exceedingly rare. Only two cases with three histopathologically d...
Brain Tumor Pathology
comment
0
thumb_up
0
Targeting TGF-β signaling in glioblastoma: therapeutic implications and novel drug development strategies
Glioma, a prevalent primary brain tumor, arises from the supporting cells of the central nervous system (CNS) and is categ...
Brain Tumor Pathology
comment
0
thumb_up
0
Primary pigmented papillary epithelial tumor of the sella: case report and literature review
Primary pigmented papillary epithelial tumor of the sella (PPPET) is a recently identified tumor entity that commonly orig...
Brain Tumor Pathology
comment
0
thumb_up
0
Comprehensive molecular characterization of craniopharyngiomas using whole transcriptome and spatial transcriptomics approaches
Craniopharyngiomas (CPs) are rare benign brain tumors that are classified as WHO grade I, with two subtypes: adamantinomat...
Brain Tumor Pathology
comment
0
thumb_up
0
Integrated analysis of MYC expression, 8q24.21 copy number, and recurrence patterns in astrocytoma, IDH-mutant
Compared to oligodendrogliomas, astrocytomas may have a relatively higher frequency of intracranial remote recurrence, des...
Brain Tumor Pathology
comment
0
thumb_up
0
Activated astrocytes drive the accumulation of apolipoprotein E at the brain tumor edge
While tumor-associated macrophages (TAMs) have been extensively studied, the role of tumor-associated astrocytes (TAAs) in...
Brain Tumor Pathology
comment
0
thumb_up
0
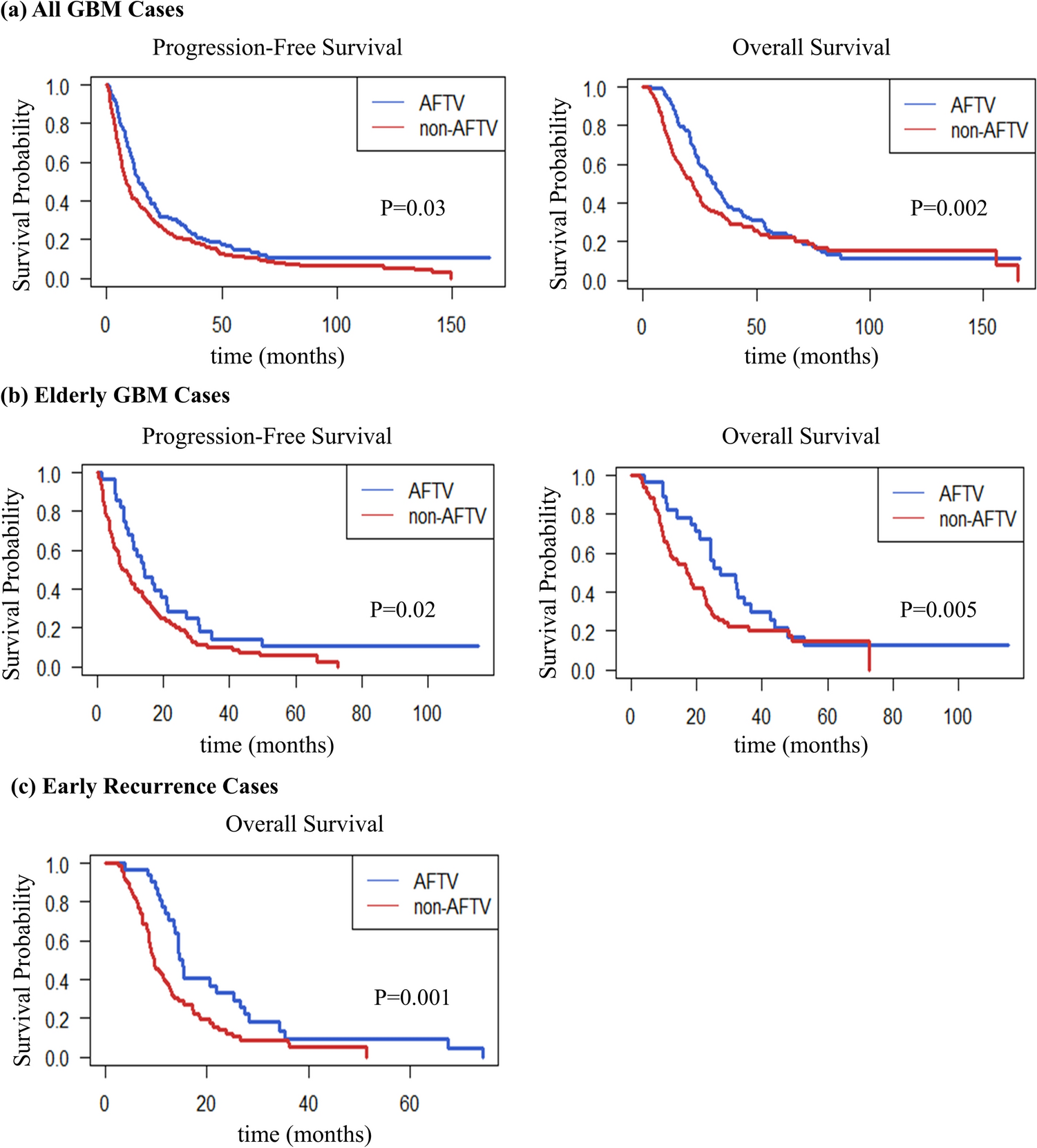
Association between autologous formalin-fixed tumor vaccine (AFTV) therapy, molecular pathological markers, and survival outcomes in glioblastoma
Glioblastoma (GBM) is a primary brain tumor, characterized by rapid progression, high recurrence rates, and resistance to ...
Brain Tumor Pathology
comment
0
thumb_up
0
How is rosette formation in brain tumours linked with cerebrospinal fluid spread?
Rosette formation, a characteristic histopathological feature of various paediatric brain tumours, appears to be linked wi...
Brain Tumor Pathology
comment
0
thumb_up
0
Preface
The 42nd Japanese Society of Brain Tumor Pathology.The 42nd Annual Meeting of the Ja...
Brain Tumor Pathology
comment
0
thumb_up
0
A case of primary papillary epithelial tumor of the sella with reverse polarity and paired box 8 expression
Primary papillary epithelial tumor of the sella (PPETS) is a rare sellar neoplasm characterized by distinctive papillary a...
Brain Tumor Pathology
comment
0
thumb_up
0
Tectal glioma: clinical, radiological, and pathological features, and the importance of molecular analysis
Tectal glioma (TG) is a rare lower grade glioma (LrGG) that occurs in the tectum, mainly affecting children. TG shares pat...
Brain Tumor Pathology
comment
0
thumb_up
0
Primary papillary epithelial tumor of the sella: a case report of an emerging tumor type
Primary papillary epithelial tumor of the sella (PPETS) is a newly described tumor entity with prototypical location in th...
Brain Tumor Pathology
comment
0
thumb_up
0
Development of a rapid and comprehensive genomic profiling test supporting diagnosis and research for gliomas
A prompt and reliable molecular diagnosis for brain tumors has become crucial in precision medicine. While Comprehensive G...
Brain Tumor Pathology
comment
0
thumb_up
0
Rise of oligodendroglioma hypermutator phenotype from a subclone harboring TP53 mutation after TMZ treatment
Oligodendrogliomas characterized and defined by 1p/19q co-deletion are slowly growing tumors showing better prognosis than...
Brain Tumor Pathology
comment
0
thumb_up
0
Intratumoral heterogeneity of CDKN2A deletions in IDH-mutant astrocytoma
Broggi G, Barresi V (2023) Assessment of CDKN2A/B homozygous deletion in gliomas: to FISH or not to FISH? J Neuropathol Ex...
Brain Tumor Pathology
comment
0
thumb_up
0
Oligodendroglioma, IDH-mutant and 1p/19q-codeleted-prognostic factors, standard of care and chemotherapy, and future perspectives with neoadjuvant strategy
Oligodendroglioma, IDH-mutant and 1p/19q-codeleted is known for their relative chemosensitivity and indolent clinical cour...
Brain Tumor Pathology
comment
0
thumb_up
0
Comprehensive genomic analysis reveals clonal origin and subtype-specific evolution in a case of sporadic multiple meningiomas
Meningioma is the most common primary intracranial tumor in adults, with up to 10% manifesting as multiple tumors. Data on...
Brain Tumor Pathology
comment
0
thumb_up
0
MAPK pathway alterations in polymorphous low-grade neuroepithelial tumor of the young: diagnostic considerations
Polymorphous low-grade neuroepithelial tumor of the young (PLNTY) is a recently recognised tumor type with indolent behavi...
Brain Tumor Pathology
comment
0
thumb_up
0
Comparative analyses of immune cells and alpha-smooth muscle actin-positive cells under the immunological microenvironment between with and without dense fibrosis in primary central nervous system lymphoma
Histopathologic examinations of primary central nervous system lymphoma (PCNSL) reveal concentric accumulation of lymphocy...
Brain Tumor Pathology
comment
0
thumb_up
0
Double-hit primary central nervous system lymphoma with histogenetically proven bone marrow infiltration: a case report and a review of the literature
Double-hit lymphoma (DHL) formerly referred to high-grade B-cell lymphoma with concurrent MYC and BCL2 or BCL6 rearrangeme...
Brain Tumor Pathology
comment
0
thumb_up
0
Novel case of ependymoma-like tumor with mesenchymal differentiation harboring ZFTA::RELA fusion in an adult
High-grade supratentorial tumors harboring ZFTA::NCOA1/2 fusion in infants presenting with mixed histology of embryonal-ap...
Brain Tumor Pathology
comment
0
thumb_up
0
Load More
Modal title
×
Modal title
×
Share
Login
Global News and Health Forum
Join Now!
Member Login
Remember me
Forgot password?
Or using
Linkedin