×
Close
Sign Up
Login
Home
SCI Abstract
Library D
Events & Partner
WeMed
MDLA Events Platform
Events
Media Partners
Educational Partner
User Tools
FAQ/USER GUIDE
Language
English
中文/ Chinese
French
Português
Español
Arabic
Russian
Contact Us
×
Close
mdla_1
mdla_2
mdla_3
mdla_4
mdla_5
mdla_6
Categories
Medicine, General & Internal
44379
Global Medical University
5141
Allergy
1792
Anatomy & Morphology
1584
Andrology
379
Anesthesia & Intensive Care
1300
Anesthesiology
5399
Audiology & Speech-Language Pathology
347
Behavioral Sciences
105
Biochemical Research Methods
7243
Biochemistry & Molecular Biology
30077
Biodiversity Conservation
330
Biology
8515
Biophysics
8292
Biotechnology & Applied Microbiology
8662
Cardiac & Cardiovascular Systems
31125
Cardiovascular & Respiratory Systems
1413
Cell & Tissue Engineering
704
Cell Biology
11182
Chemistry, Analytical
4301
Chemistry, Applied
10948
Chemistry, Medicinal
8755
Chemistry, Multidisciplinary
18521
Clinical Immunology & Infectious Disease
423
Clinical Medicine
8962
Clinical Neurology
16636
Clinical Psychology & Psychiatry
1294
Critical Care Medicine
3163
Dentistry, Oral Surgery & Medicine
13544
Dermatology
7485
Developmental Biology
6954
Ecology
633
Education, Scientific Disciplines
2050
Emergency Medicine
4117
Endocrinology, Metabolism & Nutrition
24622
Engineering, Biomedical
3729
Entomology
489
Environmental Medicine & Public Health
4669
Evolutionary Biology
276
Gastroenterology & Hepatology
12236
General & Internal Medicine
7013
Genetics & Heredity
15196
Geriatrics & Gerontology
5075
Gerontology
382
Health Care Sciences & Services
16165
Health Policy & Services
604
Hematology
5578
Immunology
24850
Infectious Diseases
14017
Integrative & Complementary Medicine
2943
Medical Ethics
1239
Medical Informatics
2232
Medical Laboratory Technology
419
Medicine, Legal
532
Medicine, Research & Experimental
17792
Microbiology
23387
Mycology
0
Nanoscience & Nanotechnology
5388
Neuroimaging
1365
Neurology
4562
Neurosciences
39861
Nursing
9787
Nutrition & Dietetics
7849
Obstetrics & Gynecology
8277
Oncology
52506
Ophthalmology
9749
Optics
4279
Orthopedics
11803
Orthopedics, Rehabilitation & Sports Medicine
1828
Otolaryngology
1583
Otorhinolaryngology
4894
Parasitology
1167
Pathology
5148
Pediatrics
21618
Peripheral Vascular Disease
4767
Pharmacology & Pharmacy
35500
Pharmacology/Toxicology
12212
Physiology
8922
Polymer Science
542
Primary Health Care
837
Psychiatry
19132
Psychology
5240
Psychology, Applied
111
Psychology, Biological
390
Psychology, Clinical
811
Psychology, Developmental
273
Psychology, Educational
164
Psychology, Experimental
171
Psychology, Mathematical
0
Psychology, Multidisciplinary
1694
Psychology, Psychoanalysis
30
Psychology, Social
131
Public Health & Health Care Science
2225
Public, Environmental & Occupational Health
27291
Quantum Science & Technology
0
Radiology, Nuclear Medicine & Imaging
12500
Radiology, Nuclear Medicine & Medical Imaging
8264
Rehabilitation
3074
Remote Sensing
0
Reproductive Biology
2872
Reproductive Medicine
1212
Research/Laboratory Medicine & Medical Technology
4029
Respiratory System
7421
Rheumatology
6029
Social Sciences, Biomedical
1178
Substance Abuse
2771
Surgery
33948
Toxicology
4445
Transplantation
938
Tropical Medicine
300
Urology & Nephrology
12890
Veterinary Sciences
35
Virology
2551
Zoology
0
Channels
JOURNAL OF THE CHINESE MEDICAL ASSOCIATION
449
BMJ open access
3279
ANNALS OF FAMILY MEDICINE
335
ANNALS OF INTERNAL MEDICINE
870
BIOMEDICINE & PHARMACOTHERAPY
0
BMC MEDICINE
820
BRITISH JOURNAL OF GENERAL PRACTICE
618
EUROPEAN JOURNAL OF INTERNAL MEDICINE
28
FORENSIC SCIENCE INTERNATIONAL-GENETICS
8
JOURNAL OF CLINICAL MEDICINE
4019
JOURNAL OF THE ROYAL SOCIETY OF MEDICINE
52
NEW ENGLAND JOURNAL OF MEDICINE
1289
AFRICAN HEALTH SCIENCES
260
AMERICAN JOURNAL OF THE MEDICAL SCIENCES
680
ANNALS OF SAUDI MEDICINE
79
BMJ OPEN
5529
CANADIAN FAMILY PHYSICIAN
654
CHINESE MEDICAL JOURNAL
1044
CLEVELAND CLINIC JOURNAL OF MEDICINE
291
DIAGNOSTICS
3053
FRONTIERS IN MEDICINE
6953
INTERNAL MEDICINE JOURNAL
299
IRISH JOURNAL OF MEDICAL SCIENCE
888
JOURNAL OF EVALUATION IN CLINICAL PRACTICE
133
JOURNAL OF FAMILY PRACTICE
14
JOURNAL OF HOSPITAL MEDICINE
69
JOURNAL OF INVESTIGATIVE MEDICINE
214
JOURNAL OF THE NATIONAL MEDICAL ASSOCIATION
0
KOREAN JOURNAL OF INTERNAL MEDICINE
291
MEDICINE
2393
NATIONAL MEDICAL JOURNAL OF INDIA
193
POSTGRADUATE MEDICAL JOURNAL
310
SAO PAULO MEDICAL JOURNAL
0
SAUDI MEDICAL JOURNAL
542
SCOTTISH MEDICAL JOURNAL
18
SYSTEMATIC REVIEWS
552
INTERNATIONAL JOURNAL OF EVIDENCE-BASED HEALTHCARE
138
INTERNATIONAL JOURNAL OF MEDICAL SCIENCES
20
IRANIAN RED CRESCENT MEDICAL JOURNAL
299
JAAPA-JOURNAL OF THE AMERICAN ACADEMY OF PHYSICIAN ASSISTANTS
420
JOURNAL OF POSTGRADUATE MEDICINE
148
MAYO CLINIC PROCEEDINGS
68
MEDICAL JOURNAL OF AUSTRALIA
242
NIGERIAN JOURNAL OF CLINICAL PRACTICE
20
SEXUAL MEDICINE
18
UNIVERSITY OF TORONTO MEDICAL JOURNAL
21
UNIVERSA MEDICINA
132
SUDAN JOURNAL OF MEDICAL SCIENCES
182
SOUTH AFRICAN FAMILY PRACTICE
201
SCIENTIA MEDICA
87
SAUDI JOURNAL OF MEDICINE & MEDICAL SCIENCES
79
ACTA MEDICA INDONESIANA
7
ACUTE MEDICINE & SURGERY
53
ANNALS ABBASI SHAHEED HOSPITAL & KARACHI MEDICAL & DENTAL COLLEGE
167
ANNALS OF AFRICAN MEDICINE
191
ANNALS OF MEDICINE AND SURGERY
1412
BIOMEDICINE-TAIWAN
125
BMJ EVIDENCE-BASED MEDICINE
247
CASPIAN JOURNAL OF INTERNAL MEDICINE
18
CEYLON MEDICAL JOURNAL
62
CLINICAL CASE REPORTS
626
CLINICAL MANAGEMENT ISSUES
15
CLINICAL MEDICINE INSIGHTS-CASE REPORTS
21
CLINICS AND PRACTICE
135
GLOBAL JOURNAL OF MEDICAL PHARMACEUTICAL AND BIOMEDICAL UPDATE
89
IBNOSINA JOURNAL OF MEDICINE AND BIOMEDICAL SCIENCES
35
IIUM MEDICAL JOURNAL MALAYSIA
212
INDIAN JOURNAL OF MEDICAL SPECIALITIES
134
INTERNATIONAL JOURNAL OF ACADEMIC MEDICINE
74
INTERNATIONAL JOURNAL OF APPLIED AND BASIC MEDICAL RESEARCH
48
INTERNATIONAL JOURNAL OF HEALTH AND ALLIED SCIENCES
26
INTERNATIONAL JOURNAL OF HEALTH SCIENCES-IJHS
73
JOURNAL OF CONTEMPORARY MEDICAL SCIENCES
220
JOURNAL OF HEALTH AND ALLIED SCIENCES NU
300
JOURNAL OF INVESTIGATIVE MEDICINE HIGH IMPACT CASE REPORTS
98
JOURNAL OF LABORATORY PHYSICIANS
250
JOURNAL OF MEDICAL AND BIOMEDICAL SCIENCE
12
JOURNAL OF THE KOREAN MEDICAL ASSOCIATION
20
JOURNAL OF THE SCIENTIFIC SOCIETY
113
PROCEEDINGS OF SINGAPORE HEALTHCARE
57
KHYBER MEDICAL UNIVERSITY JOURNAL-KMUJ
227
MEDICINE AND HEALTH-KUALA LUMPUR
138
NIGERIAN POSTGRADUATE MEDICAL JOURNAL
101
NORTH AMERICAN JOURNAL OF MEDICAL SCIENCES
11
INTERNAL AND EMERGENCY MEDICINE
761
SCI Abstract
search
ALL
RECOMMENDED
+
Rapid intervention team strategy improves intervention quality for patients undergoing hemodialysis with arteriovenous shunt dysfunction or failure
Background: Vascular access dysfunction is a great burden for hemodialysis patients. Early interv
Journal Of The Chinese Medical Association
comment
0
thumb_up
0
The alteration of fecal microbial and metabolic profile of gallstone patients in Taiwan: Single-center study
Background: Gallstone disease is a common health problem worldwide. The role of the gut microbiot
Journal Of The Chinese Medical Association
comment
0
thumb_up
0
Prognostic factors and treatment responses among patients with gross residual disease in differentiated thyroid cancer
Background: Various postoperative staging systems were developed to assess the outcome of differe
Journal Of The Chinese Medical Association
comment
0
thumb_up
0
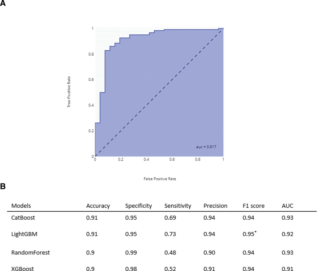
Using machine learning to identify key subject categories predicting the pre-clerkship and clerkship performance: 8-year cohort study
Background: Medical students need to build a solid foundation of knowledge to become physicians.
Journal Of The Chinese Medical Association
comment
0
thumb_up
0
Exosomal MALAT1 from macrophages treated with high levels of glucose upregulates LC3B expression via miR-204-5p downregulation
Background: Metastasis-associated lung adenocarcinoma transcript 1 (MALAT1) plays a critical role
Journal Of The Chinese Medical Association
comment
0
thumb_up
0
Assessment of iodine nutritional status and gestational thyroid function reference ranges during the first trimester of pregnancy in Taiwan
Background: Iodine nutrition is critical for fetal neurodevelopment in the first trimester of pre
Journal Of The Chinese Medical Association
comment
0
thumb_up
0
Suppression of bone resorption by Mori Radicis Cortex through NFATc1 and c-Fos signaling-mediated inhibition of osteoclast differentiation
Background: Mori Radicis Cortex (MRC) is the root bark of the mulberry family as Morus alba L. In
Journal Of The Chinese Medical Association
comment
0
thumb_up
0
Hippocampal subfields in remitted schizophrenia
Background: Current evidence of volume changes in hippocampal subdivisions in schizophrenia remai
Journal Of The Chinese Medical Association
comment
0
thumb_up
0
Primary surgical prevention of lymphedema
Lymphedema in the upper and lower extremities can lead to significant morbidity in patients, resulti
Journal Of The Chinese Medical Association
comment
0
thumb_up
0
Cardiopulmonary functional capacity in Taiwanese children with atrial septal defects
Background: Most existing studies measure atrial septal defect (ASD) outcomes based on morbidity
Journal Of The Chinese Medical Association
comment
0
thumb_up
0
Low preoperative serum uric acid is associated with early acute kidney injury after living donor liver transplantation
Background: Liver transplantation is treatment option for patients with end-stage liver disease a
Journal Of The Chinese Medical Association
comment
0
thumb_up
0
Effectiveness of early palliative care in patients with head and neck cancer in Taiwan
Background: Early palliative care (EPC) benefits some cancers, but its clinical outcomes differ d
Journal Of The Chinese Medical Association
comment
0
thumb_up
0
Winners of the 2022 honor awards for excellence at the annual meeting of the Chinese Medical Association-Taipei: Part III
The Journal of the Chinese Medical Association (JCMA) proudly announced the winners of its 2022 Excellent Research Paper A...
Journal Of The Chinese Medical Association
comment
0
thumb_up
0
Multilineage differentiation potential in the infant adipose- and umbilical cord-derived mesenchymal stem cells
Background: This study aims to compare the biological properties of infant adipose-derived mesenc
Journal Of The Chinese Medical Association
comment
0
thumb_up
0
Electrophysiological status indexed by early changes in impedance after cochlear implantation: A literature review
Cochlear implantation is a major treatment option for severe-to-profound hearing loss. By insertion
Journal Of The Chinese Medical Association
comment
0
thumb_up
0
Effect of pelvic floor muscles exercises by extracorporeal magnetic innervations on the bladder neck and urinary symptoms
Background: This study aimed to investigate the changes in the bladder neck (BN) and urinary symp
Journal Of The Chinese Medical Association
comment
0
thumb_up
0
Comparison of wide and narrow gastric conduit in esophageal cancer surgery
Background: Gastric conduit is most widely used method for esophageal reconstruction. Despite its
Journal Of The Chinese Medical Association
comment
0
thumb_up
0
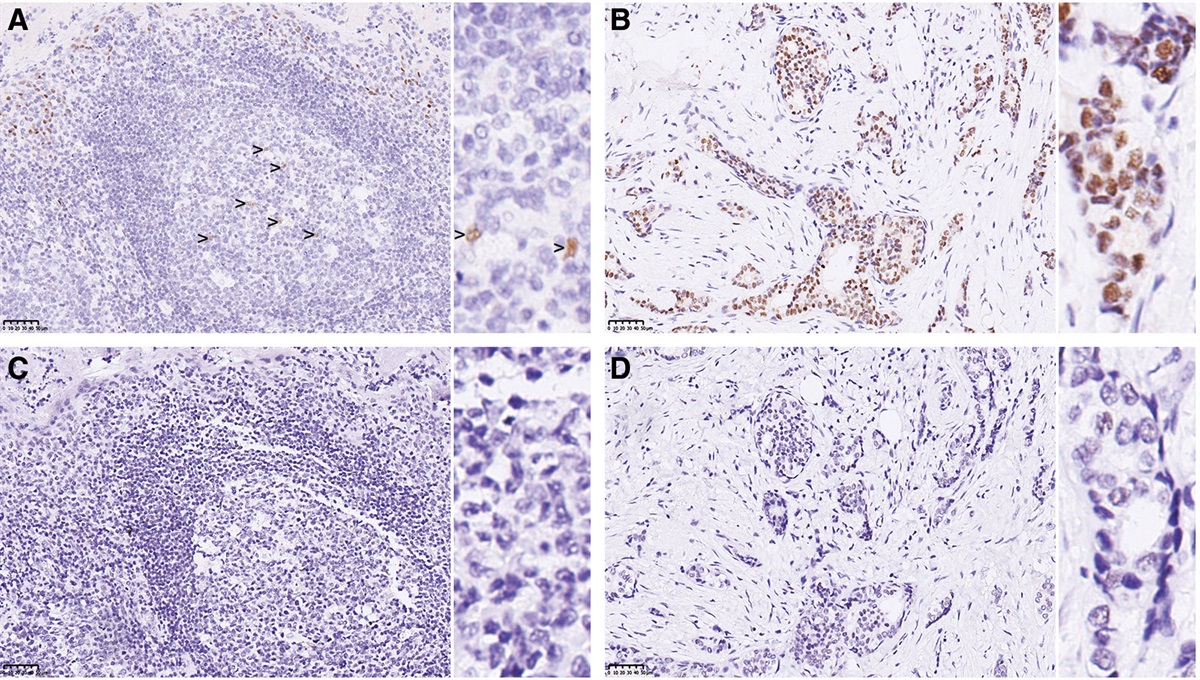
Tonsil tissue control is ideal for monitoring estrogen receptor immunohistochemical staining
Background: Estrogen receptor (ER) testing performed using immunohistochemistry (IHC) is a critic
Journal Of The Chinese Medical Association
comment
0
thumb_up
0
Clinical characteristics, risk factors, and outcomes of patients with polymicrobial Pseudomonas aeruginosa bloodstream infections
Background: Previous studies on polymicrobial Pseudomonas aeruginosa bloodstream infections (Pa-B
Journal Of The Chinese Medical Association
comment
0
thumb_up
0
HLA-DR genotypes in patients with systemic lupus erythematosus in Taiwan
Background: Different human leukocyte antigen (HLA)-DR genotypes have been known to be associated
Journal Of The Chinese Medical Association
comment
0
thumb_up
0
Sex and age differences of major cardiovascular events in patients after percutaneous coronary intervention
Background: Women usually have higher risk after receiving percutaneous coronary interventions (P
Journal Of The Chinese Medical Association
comment
0
thumb_up
0
GRAIL gene knockout mice protect against aging-related and noise-induced hearing loss
Background: Hearing loss is a global health issue and its etiopathologies involve complex molecul
Journal Of The Chinese Medical Association
comment
0
thumb_up
0
Winners of the 2022 honor awards for excellence at the annual meeting of the Chinese Medical Association-Taipei: Part II
The present editorial is a “Part II” after “Part I” outstanding research works,1–3 which announced another three 2022 Exce...
Journal Of The Chinese Medical Association
comment
0
thumb_up
0
The relationship between serum CA-125 level and recurrence in surgical stage I endometrial cancer patients
Background: The majority of patients diagnosed with early stage endometrial cancer have a favorab
Journal Of The Chinese Medical Association
comment
0
thumb_up
0
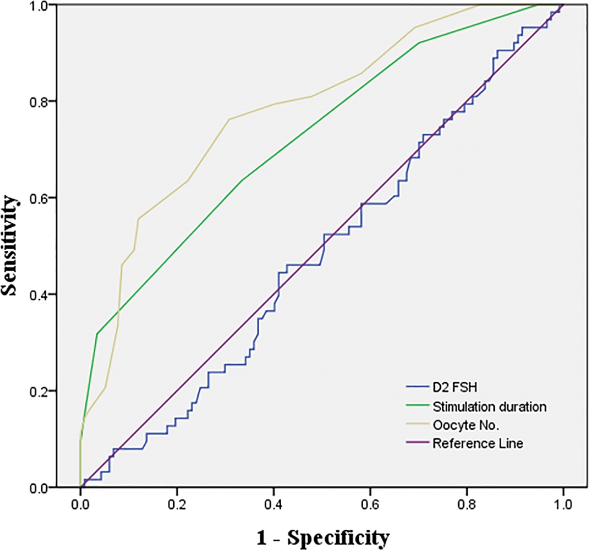
Factors associated with the efficacy of mature oocyte production after dual-trigger controlled ovarian stimulation using a GnRH antagonist protocol
Background: The number of mature oocytes retrieved plays a significant role in determining embryo
Journal Of The Chinese Medical Association
comment
0
thumb_up
0
Assessment of the detection accuracy of SARS-CoV-2 rapid antigen test in children and adolescents: An updated meta-analysis
Background: Real-time and appropriate antigen tests play a pivotal role in preventing severe acut
Journal Of The Chinese Medical Association
comment
0
thumb_up
0
Donor lymphocyte infusion for prophylaxis and treatment of relapse in pediatric hematologic malignancies after allogeneic hematopoietic stem cell transplant
Background: Donor lymphocyte infusion (DLI) is effective for managing patients with hematologic m
Journal Of The Chinese Medical Association
comment
0
thumb_up
0
Serum brain-derived neurotrophic factor levels as a predictor for Alzheimer disease progression
Background: Brain-derived neurotrophic factor (BDNF) has been implicated in the pathophysiology o
Journal Of The Chinese Medical Association
comment
0
thumb_up
0
Clinical standardization for the detection of hemispheric dominance for steady-state auditory evoked fields in normal hearing
Background: Steady-state auditory evoked responses (SSAERs) are promising indicators of major aud
Journal Of The Chinese Medical Association
comment
0
thumb_up
0
Using artificial intelligence algorithms to predict the overall survival of hemodialysis patients during the COVID-19 pandemic: A prospective cohort study
Background: Hemodialysis (HD) patients are a vulnerable population at high risk for severe compli
Journal Of The Chinese Medical Association
comment
0
thumb_up
0
Load More
Modal title
×
Modal title
×
Share
Login
Global News and Health Forum
Join Now!
Member Login
Remember me
Forgot password?
Or using
Linkedin