×
Close
Sign Up
Login
Home
SCI Abstract
Library D
Events & Partner
WeMed
MDLA Events Platform
Events
Media Partners
Educational Partner
User Tools
FAQ/USER GUIDE
Language
English
中文/ Chinese
French
Português
Español
Arabic
Russian
Contact Us
×
Close
mdla_1
mdla_2
mdla_3
mdla_4
mdla_5
mdla_6
Categories
Medicine, General & Internal
44379
Global Medical University
5141
Allergy
1792
Anatomy & Morphology
1584
Andrology
379
Anesthesia & Intensive Care
1300
Anesthesiology
5399
Audiology & Speech-Language Pathology
347
Behavioral Sciences
105
Biochemical Research Methods
7243
Biochemistry & Molecular Biology
30077
Biodiversity Conservation
330
Biology
8515
Biophysics
8292
Biotechnology & Applied Microbiology
8662
Cardiac & Cardiovascular Systems
31125
Cardiovascular & Respiratory Systems
1413
Cell & Tissue Engineering
704
Cell Biology
11182
Chemistry, Analytical
4301
Chemistry, Applied
10948
Chemistry, Medicinal
8755
Chemistry, Multidisciplinary
18521
Clinical Immunology & Infectious Disease
423
Clinical Medicine
8962
Clinical Neurology
16636
Clinical Psychology & Psychiatry
1294
Critical Care Medicine
3163
Dentistry, Oral Surgery & Medicine
13544
Dermatology
7485
Developmental Biology
6954
Ecology
633
Education, Scientific Disciplines
2050
Emergency Medicine
4117
Endocrinology, Metabolism & Nutrition
24622
Engineering, Biomedical
3729
Entomology
489
Environmental Medicine & Public Health
4669
Evolutionary Biology
276
Gastroenterology & Hepatology
12236
General & Internal Medicine
7013
Genetics & Heredity
15196
Geriatrics & Gerontology
5075
Gerontology
382
Health Care Sciences & Services
16165
Health Policy & Services
604
Hematology
5578
Immunology
24850
Infectious Diseases
14017
Integrative & Complementary Medicine
2943
Medical Ethics
1239
Medical Informatics
2232
Medical Laboratory Technology
419
Medicine, Legal
532
Medicine, Research & Experimental
17792
Microbiology
23387
Mycology
0
Nanoscience & Nanotechnology
5388
Neuroimaging
1365
Neurology
4562
Neurosciences
39861
Nursing
9787
Nutrition & Dietetics
7849
Obstetrics & Gynecology
8277
Oncology
52486
Ophthalmology
9749
Optics
4279
Orthopedics
11803
Orthopedics, Rehabilitation & Sports Medicine
1828
Otolaryngology
1583
Otorhinolaryngology
4894
Parasitology
1167
Pathology
5148
Pediatrics
21618
Peripheral Vascular Disease
4767
Pharmacology & Pharmacy
35500
Pharmacology/Toxicology
12212
Physiology
8922
Polymer Science
542
Primary Health Care
837
Psychiatry
19132
Psychology
5240
Psychology, Applied
111
Psychology, Biological
390
Psychology, Clinical
811
Psychology, Developmental
273
Psychology, Educational
164
Psychology, Experimental
171
Psychology, Mathematical
0
Psychology, Multidisciplinary
1694
Psychology, Psychoanalysis
30
Psychology, Social
131
Public Health & Health Care Science
2225
Public, Environmental & Occupational Health
27291
Quantum Science & Technology
0
Radiology, Nuclear Medicine & Imaging
12500
Radiology, Nuclear Medicine & Medical Imaging
8264
Rehabilitation
3074
Remote Sensing
0
Reproductive Biology
2872
Reproductive Medicine
1212
Research/Laboratory Medicine & Medical Technology
4029
Respiratory System
7421
Rheumatology
6029
Social Sciences, Biomedical
1178
Substance Abuse
2771
Surgery
33928
Toxicology
4445
Transplantation
938
Tropical Medicine
300
Urology & Nephrology
12890
Veterinary Sciences
35
Virology
2551
Zoology
0
Channels
FRONTIERS IN MEDICINE
6953
BMJ open access
3279
ANNALS OF FAMILY MEDICINE
335
ANNALS OF INTERNAL MEDICINE
870
BIOMEDICINE & PHARMACOTHERAPY
0
BMC MEDICINE
820
BRITISH JOURNAL OF GENERAL PRACTICE
618
EUROPEAN JOURNAL OF INTERNAL MEDICINE
28
FORENSIC SCIENCE INTERNATIONAL-GENETICS
8
JOURNAL OF CLINICAL MEDICINE
4019
JOURNAL OF THE ROYAL SOCIETY OF MEDICINE
52
NEW ENGLAND JOURNAL OF MEDICINE
1289
AFRICAN HEALTH SCIENCES
260
AMERICAN JOURNAL OF THE MEDICAL SCIENCES
680
ANNALS OF SAUDI MEDICINE
79
BMJ OPEN
5529
CANADIAN FAMILY PHYSICIAN
654
CHINESE MEDICAL JOURNAL
1044
CLEVELAND CLINIC JOURNAL OF MEDICINE
291
DIAGNOSTICS
3053
INTERNAL MEDICINE JOURNAL
299
IRISH JOURNAL OF MEDICAL SCIENCE
888
JOURNAL OF EVALUATION IN CLINICAL PRACTICE
133
JOURNAL OF FAMILY PRACTICE
14
JOURNAL OF HOSPITAL MEDICINE
69
JOURNAL OF INVESTIGATIVE MEDICINE
214
JOURNAL OF THE NATIONAL MEDICAL ASSOCIATION
0
KOREAN JOURNAL OF INTERNAL MEDICINE
291
MEDICINE
2393
NATIONAL MEDICAL JOURNAL OF INDIA
193
POSTGRADUATE MEDICAL JOURNAL
310
SAO PAULO MEDICAL JOURNAL
0
SAUDI MEDICAL JOURNAL
542
SCOTTISH MEDICAL JOURNAL
18
SYSTEMATIC REVIEWS
552
INTERNATIONAL JOURNAL OF EVIDENCE-BASED HEALTHCARE
138
INTERNATIONAL JOURNAL OF MEDICAL SCIENCES
20
IRANIAN RED CRESCENT MEDICAL JOURNAL
299
JAAPA-JOURNAL OF THE AMERICAN ACADEMY OF PHYSICIAN ASSISTANTS
420
JOURNAL OF POSTGRADUATE MEDICINE
148
JOURNAL OF THE CHINESE MEDICAL ASSOCIATION
449
MAYO CLINIC PROCEEDINGS
68
MEDICAL JOURNAL OF AUSTRALIA
242
NIGERIAN JOURNAL OF CLINICAL PRACTICE
20
SEXUAL MEDICINE
18
UNIVERSITY OF TORONTO MEDICAL JOURNAL
21
UNIVERSA MEDICINA
132
SUDAN JOURNAL OF MEDICAL SCIENCES
182
SOUTH AFRICAN FAMILY PRACTICE
201
SCIENTIA MEDICA
87
SAUDI JOURNAL OF MEDICINE & MEDICAL SCIENCES
79
ACTA MEDICA INDONESIANA
7
ACUTE MEDICINE & SURGERY
53
ANNALS ABBASI SHAHEED HOSPITAL & KARACHI MEDICAL & DENTAL COLLEGE
167
ANNALS OF AFRICAN MEDICINE
191
ANNALS OF MEDICINE AND SURGERY
1412
BIOMEDICINE-TAIWAN
125
BMJ EVIDENCE-BASED MEDICINE
247
CASPIAN JOURNAL OF INTERNAL MEDICINE
18
CEYLON MEDICAL JOURNAL
62
CLINICAL CASE REPORTS
626
CLINICAL MANAGEMENT ISSUES
15
CLINICAL MEDICINE INSIGHTS-CASE REPORTS
21
CLINICS AND PRACTICE
135
GLOBAL JOURNAL OF MEDICAL PHARMACEUTICAL AND BIOMEDICAL UPDATE
89
IBNOSINA JOURNAL OF MEDICINE AND BIOMEDICAL SCIENCES
35
IIUM MEDICAL JOURNAL MALAYSIA
212
INDIAN JOURNAL OF MEDICAL SPECIALITIES
134
INTERNATIONAL JOURNAL OF ACADEMIC MEDICINE
74
INTERNATIONAL JOURNAL OF APPLIED AND BASIC MEDICAL RESEARCH
48
INTERNATIONAL JOURNAL OF HEALTH AND ALLIED SCIENCES
26
INTERNATIONAL JOURNAL OF HEALTH SCIENCES-IJHS
73
JOURNAL OF CONTEMPORARY MEDICAL SCIENCES
220
JOURNAL OF HEALTH AND ALLIED SCIENCES NU
300
JOURNAL OF INVESTIGATIVE MEDICINE HIGH IMPACT CASE REPORTS
98
JOURNAL OF LABORATORY PHYSICIANS
250
JOURNAL OF MEDICAL AND BIOMEDICAL SCIENCE
12
JOURNAL OF THE KOREAN MEDICAL ASSOCIATION
20
JOURNAL OF THE SCIENTIFIC SOCIETY
113
PROCEEDINGS OF SINGAPORE HEALTHCARE
57
KHYBER MEDICAL UNIVERSITY JOURNAL-KMUJ
227
MEDICINE AND HEALTH-KUALA LUMPUR
138
NIGERIAN POSTGRADUATE MEDICAL JOURNAL
101
NORTH AMERICAN JOURNAL OF MEDICAL SCIENCES
11
INTERNAL AND EMERGENCY MEDICINE
761
SCI Abstract
search
ALL
RECOMMENDED
+
Case report: A case of cutaneous anthrax guided by metagenomic next-generation sequencing technology
Anthrax is an acute zoonotic infectious disease caused by Bacillus anthracis. It is categorized as a Class B (reported wit...
Frontiers In Medicine
comment
0
thumb_up
0
Estimation of skin surface roughness in vivo based on optical coherence tomography combined with convolutional neural network
The texture of human skin is influenced by both external and internal factors, and changes in wrinkles can most directly r...
Frontiers In Medicine
comment
0
thumb_up
0
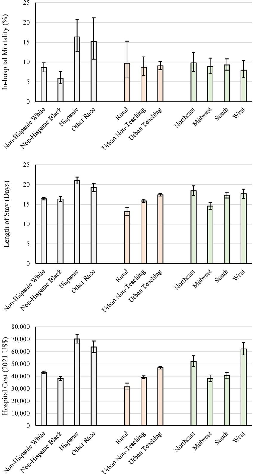
Demographic-based disparities in outcomes for adults with central line-associated bloodstream infections in the United States: a National Inpatient Sample database study (2016–2020)
IntroductionCentral line-associated bloodstream infections (CLABSI) are prevalent and preventable hospital-acquired infect...
Frontiers In Medicine
comment
0
thumb_up
0
Incidence and risk factors of prolonged recovery during procedural sedation in pediatrics
BackgroundSedation-related adverse events not only referred to a cause for morbidity and mortality but also included event...
Frontiers In Medicine
comment
0
thumb_up
0
Case report: Neoadjuvant-intent pembrolizumab resulted in complete response in a xeroderma pigmentosum patient with locally advanced resectable cutaneous squamous cell carcinoma of the nose
BackgroundAnti-PD1 antibodies have gained popularity in the treatment of skin cancers. These drugs have been FDA approved ...
Frontiers In Medicine
comment
0
thumb_up
0
Methylene blue therapy in addition to standard treatment for acute-phase septic shock: a pilot randomized controlled trial
PurposeMethylene blue (MB) has been used to increase blood pressure in patients with septic shock by acting on guanylate c...
Frontiers In Medicine
comment
0
thumb_up
0
Risk score model for predicting mortality among patients with lung cancer
BackgroundTo develop an accurate mortality risk predictive model among patients with lung cancer.MethodsThe development co...
Frontiers In Medicine
comment
0
thumb_up
0
Accumulated subcutaneous fat in abdomen is associated with long COVID-19 symptoms among non-hospitalized patients: a prospective observational study
IntroductionLong COVID-19 symptoms may have a variety of potential overlapping causes. In this study, we aimed to investig...
Frontiers In Medicine
comment
0
thumb_up
0
An overview of 18F-fluorodeoxyglucose positron emission tomography/computed tomography in giant cell arteritis
PET/CT is an imaging modality that is increasingly being used to diagnose large-vessel vasculitis. In the case of giant ce...
Frontiers In Medicine
comment
0
thumb_up
0
Isolated melanoma metastasis in a patient with large congenital nevus without detectable primary melanoma: a case report and review of literature
Giant congenital pigmented nevi constitute an extremely diverse group of skin lesions with varying morphologies. These nev...
Frontiers In Medicine
comment
0
thumb_up
0
Accuracy of intraoperative aberrometry versus preoperative biometry for intraocular lens power selection in short and long eyes
BackgroundTo compare the accuracy of intraoperative wavefront aberrometry using the ORA VLynk system with different biomet...
Frontiers In Medicine
comment
0
thumb_up
0
Regenerative topical skincare: stem cells and exosomes
Regenerative medicine and its offshoot, regenerative aesthetics, have been hot topics over the past 15 years. Studies with...
Frontiers In Medicine
comment
0
thumb_up
0
Pandemic-induced healthcare shifts: an observational analysis of maternal and neonatal outcomes in adolescent pregnancies
IntroductionThe COVID-19 pandemic caused widespread changes in healthcare delivery, particularly affecting vulnerable popu...
Frontiers In Medicine
comment
0
thumb_up
0
Possibility of diagnosing rotator cuff tears in areas with scarce medical resources: can non-standard anteroposterior radiographs accurately predict rotator cuff tears?
BackgroundDue to the scarcity and high cost of MRI in resource-constrained regions, prompt diagnosis and treatment of rota...
Frontiers In Medicine
comment
0
thumb_up
0
An osmolarity dependent mechanism partially ameliorates retinal cysts and rescues cone function in a mouse model of X-linked retinoschisis
IntroductionX-linked retinoschisis (XLRS) is a vitreoretinal dystrophy caused by RS1 gene mutations which disrupt retinosc...
Frontiers In Medicine
comment
0
thumb_up
0
Constrictive bronchiolitis and paraneoplastic pemphigus caused by unicentric Castleman disease in a young woman: a case report
IntroductionConstrictive bronchiolitis is a rare and severe condition characterized by progressive and irreversible obstru...
Frontiers In Medicine
comment
0
thumb_up
0
Detection of cardiac neuroendocrine tumour metastases by somatostatin receptor PET/CT: a systematic review and meta-analysis
BackgroundCardiac neuroendocrine tumour metastases (CNTM) are rare, but advancements in molecular imaging including somato...
Frontiers In Medicine
comment
0
thumb_up
0
Comparing ovarian reserve parameters after laparoscopic endometrioma resection in the follicular vs. luteal phase: a prospective cohort study
ObjectiveTo evaluate whether performing laparoscopic endometrioma surgery in the follicular or luteal phase affects change...
Frontiers In Medicine
comment
0
thumb_up
0
Association between central corneal thickness and systemic lupus erythematosus: a cross-sectional study protocol
IntroductionSystemic lupus erythematosus (SLE) is a chronic autoimmune disease affecting multiple systems and classified u...
Frontiers In Medicine
comment
0
thumb_up
0
Editorial: Advances in neuroanatomy
Anatomy; Skull base; Neurosurgery, Neurology; Neuroimaging studies; neuromolecular anatomy, Spine Knowledge of the anatomy...
Frontiers In Medicine
comment
0
thumb_up
0
Comparison of effect and safety of phacoemulsification surgery performed by resident and attending physicians
AimThe objective of this study is to compare the effect and safety of phacoemulsification surgery performed by resident an...
Frontiers In Medicine
comment
0
thumb_up
0
The role of artificial intelligence in disease prediction: using ensemble model to predict disease mellitus
The traditional complications of diabetes are well known and continue to pose a considerable burden to millions of people ...
Frontiers In Medicine
comment
0
thumb_up
0
Clinical predictive value of pre-pregnancy tests for unexplained recurrent spontaneous abortion: a retrospective study
IntroductionEarly prediction and intervention are crucial for the prognosis of unexplained recurrent spontaneous abortion ...
Frontiers In Medicine
comment
0
thumb_up
0
Enhancing the ophthalmic AI assessment with a fundus image quality classifier using local and global attention mechanisms
BackgroundThe assessment of image quality (IQA) plays a pivotal role in the realm of image-based computer-aided diagnosis ...
Frontiers In Medicine
comment
0
thumb_up
0
The future of medicine: an outline attempt using state-of-the-art business and scientific trends
IntroductionCurrently, there is a lot of discussion about the future of medicine. From research and development to regulat...
Frontiers In Medicine
comment
0
thumb_up
0
Predicting intraoperative major blood loss in microsurgery for brain arteriovenous malformations
ObjectiveIntraoperative blood loss poses a great challenge for brain arteriovenous malformation (AVM) microsurgery, althou...
Frontiers In Medicine
comment
0
thumb_up
0
In India, most principal investigators have run very few trials over the years
BackgroundIn the past, clinical trials run in India have been the subject of criticism. Among other steps to improve the t...
Frontiers In Medicine
comment
0
thumb_up
0
A review of psoriasis image analysis based on machine learning
Machine Learning (ML), an Artificial Intelligence (AI) technique that includes both Traditional Machine Learning (TML) and...
Frontiers In Medicine
comment
0
thumb_up
0
Heparanase inhibitor improves clinical study in patients with septic cardiomyopathy
ObjectiveSeptic cardiomyopathy (SCM), a prevalent and critical condition in individuals suffering from sepsis and septic s...
Frontiers In Medicine
comment
0
thumb_up
0
Peri- and intra-nodular radiomic features based on 18F-FDG PET/CT to distinguish lung adenocarcinomas from pulmonary granulomas
ObjectiveTo compare the effectiveness of radiomic features based on 18F-FDG PET/CT images within (intranodular) and around...
Frontiers In Medicine
comment
0
thumb_up
0
Load More
Modal title
×
Modal title
×
Share
Login
Global News and Health Forum
Join Now!
Member Login
Remember me
Forgot password?
Or using
Linkedin