×
Close
Sign Up
Login
Home
SCI Abstract
Library D
Events & Partner
WeMed
MDLA Events Platform
Events
Media Partners
Educational Partner
User Tools
FAQ/USER GUIDE
Language
English
中文/ Chinese
French
Português
Español
Arabic
Russian
Contact Us
×
Close
mdla_1
mdla_2
mdla_3
mdla_4
mdla_5
mdla_6
Categories
Gastroenterology & Hepatology
12236
Global Medical University
5141
Allergy
1792
Anatomy & Morphology
1584
Andrology
379
Anesthesia & Intensive Care
1300
Anesthesiology
5399
Audiology & Speech-Language Pathology
347
Behavioral Sciences
105
Biochemical Research Methods
7243
Biochemistry & Molecular Biology
30077
Biodiversity Conservation
330
Biology
8515
Biophysics
8292
Biotechnology & Applied Microbiology
8662
Cardiac & Cardiovascular Systems
31125
Cardiovascular & Respiratory Systems
1413
Cell & Tissue Engineering
704
Cell Biology
11182
Chemistry, Analytical
4301
Chemistry, Applied
10948
Chemistry, Medicinal
8755
Chemistry, Multidisciplinary
18521
Clinical Immunology & Infectious Disease
423
Clinical Medicine
8962
Clinical Neurology
16636
Clinical Psychology & Psychiatry
1294
Critical Care Medicine
3163
Dentistry, Oral Surgery & Medicine
13544
Dermatology
7485
Developmental Biology
6954
Ecology
633
Education, Scientific Disciplines
2050
Emergency Medicine
4117
Endocrinology, Metabolism & Nutrition
24622
Engineering, Biomedical
3729
Entomology
489
Environmental Medicine & Public Health
4669
Evolutionary Biology
276
General & Internal Medicine
7013
Genetics & Heredity
15196
Geriatrics & Gerontology
5075
Gerontology
382
Health Care Sciences & Services
16165
Health Policy & Services
604
Hematology
5578
Immunology
24850
Infectious Diseases
14017
Integrative & Complementary Medicine
2943
Medical Ethics
1239
Medical Informatics
2232
Medical Laboratory Technology
419
Medicine, General & Internal
44379
Medicine, Legal
532
Medicine, Research & Experimental
17792
Microbiology
23387
Mycology
0
Nanoscience & Nanotechnology
5388
Neuroimaging
1365
Neurology
4562
Neurosciences
39861
Nursing
9787
Nutrition & Dietetics
7849
Obstetrics & Gynecology
8277
Oncology
52486
Ophthalmology
9749
Optics
4279
Orthopedics
11803
Orthopedics, Rehabilitation & Sports Medicine
1828
Otolaryngology
1583
Otorhinolaryngology
4894
Parasitology
1167
Pathology
5148
Pediatrics
21618
Peripheral Vascular Disease
4767
Pharmacology & Pharmacy
35500
Pharmacology/Toxicology
12212
Physiology
8922
Polymer Science
542
Primary Health Care
837
Psychiatry
19132
Psychology
5240
Psychology, Applied
111
Psychology, Biological
390
Psychology, Clinical
811
Psychology, Developmental
273
Psychology, Educational
164
Psychology, Experimental
171
Psychology, Mathematical
0
Psychology, Multidisciplinary
1694
Psychology, Psychoanalysis
30
Psychology, Social
131
Public Health & Health Care Science
2225
Public, Environmental & Occupational Health
27291
Quantum Science & Technology
0
Radiology, Nuclear Medicine & Imaging
12500
Radiology, Nuclear Medicine & Medical Imaging
8264
Rehabilitation
3074
Remote Sensing
0
Reproductive Biology
2872
Reproductive Medicine
1212
Research/Laboratory Medicine & Medical Technology
4029
Respiratory System
7421
Rheumatology
6029
Social Sciences, Biomedical
1178
Substance Abuse
2771
Surgery
33928
Toxicology
4445
Transplantation
938
Tropical Medicine
300
Urology & Nephrology
12890
Veterinary Sciences
35
Virology
2551
Zoology
0
Channels
JOURNAL OF GASTROENTEROLOGY
283
Hepatology Research
72
NEJM Gastroenterology
5
Medrxiv - Gastroenterolog
387
AMERICAN JOURNAL OF GASTROENTEROLOGY
482
BEST PRACTICE & RESEARCH CLINICAL GASTROENTEROLOGY
161
CLINICAL AND TRANSLATIONAL GASTROENTEROLOGY
282
DIGESTION
104
ENDOSCOPY
1136
GASTRIC CANCER
298
GASTROENTEROLOGY
33
GASTROINTESTINAL ENDOSCOPY
25
GUT
611
HEPATOLOGY
518
HEPATOLOGY INTERNATIONAL
434
INFLAMMATORY BOWEL DISEASES
20
JOURNAL OF GASTROENTEROLOGY AND HEPATOLOGY
295
JOURNAL OF PEDIATRIC GASTROENTEROLOGY AND NUTRITION
554
JOURNAL OF VIRAL HEPATITIS
105
LANCET GASTROENTEROLOGY & HEPATOLOGY
19
LIVER INTERNATIONAL
230
NATURE REVIEWS GASTROENTEROLOGY & HEPATOLOGY
435
UNITED EUROPEAN GASTROENTEROLOGY JOURNAL
19
ARAB JOURNAL OF GASTROENTEROLOGY
208
CURRENT OPINION IN GASTROENTEROLOGY
90
DIGESTIVE DISEASES
150
DISEASES OF THE ESOPHAGUS
30
EUROPEAN JOURNAL OF GASTROENTEROLOGY & HEPATOLOGY
251
GASTROENTEROLOGIA Y HEPATOLOGIA
386
JOURNAL OF DIGESTIVE DISEASES
76
SAUDI JOURNAL OF GASTROENTEROLOGY
118
THERAPEUTIC ADVANCES IN GASTROENTEROLOGY
87
VISCERAL MEDICINE
80
HEPATOBILIARY SURGERY AND NUTRITION
77
JOURNAL OF GASTROINTESTINAL AND LIVER DISEASES
274
REVISTA ESPANOLA DE ENFERMEDADES DIGESTIVAS
18
ACG CASE REPORTS JOURNAL
496
ANNALS OF GASTROENTEROLOGY
271
CLINICAL ENDOSCOPY
266
CLINICAL JOURNAL OF GASTROENTEROLOGY
463
ENDOSCOPY INTERNATIONAL OPEN
560
FRONTLINE GASTROENTEROLOGY
300
GASTROENTEROLOGY INSIGHTS
50
GASTROINTESTINAL TUMORS
19
GE PORTUGUESE JOURNAL OF GASTROENTEROLOGY
135
INDIAN JOURNAL OF GASTROENTEROLOGY
333
INTESTINAL RESEARCH
20
DIGESTIVE DISEASES AND SCIENCES
970
SCI Abstract
search
ALL
RECOMMENDED
+
Persistent body-weight change on achalasia and peroral endoscopic myotomy: a multicenter cohort study
The distribution of body weight in patients with achalasia and after peroral endoscopic myotomy (POEM) has not been invest...
Journal Of Gastroenterology
comment
0
thumb_up
0
The landscape of 142 Epstein–Barr viral whole genomes in gastric cancer
A substantial portion of gastric cancer (GC) is linked to Epstein–Barr virus (EBV) infection. The characteristics of...
Journal Of Gastroenterology
comment
0
thumb_up
0
Possibility of determining high quantitative fecal occult blood on stool surface using hyperspectral imaging
Fecal immunochemical tests are commonly performed for colorectal cancer screening. Instant fecal occult blood measurement ...
Journal Of Gastroenterology
comment
0
thumb_up
0
Impact of age at HBsAg seroclearance on hepatic outcomes and life expectancy in men with chronic HBV infection based on multi-state modeling of the natural history
The effects of age at HBsAg seroclearance on clinical outcomes and survival in chronic hepatitis B (CHB) have not been ade...
Journal Of Gastroenterology
comment
0
thumb_up
0
Comparison of outcomes between surgery and chemoradiotherapy after endoscopic resection for pT1a-MM with lymphovascular invasion or pT1b esophageal squamous cell carcinoma: Japanese multicenter propensity score-matched study
Lymphovascular invasion (LVI) or pT1b is noncurative after endoscopic resection (ER) for esophageal squamous cell carcinom...
Journal Of Gastroenterology
comment
0
thumb_up
0
Serum zinc levels as predictors of covert hepatic encephalopathy in patients with liver cirrhosis
Covert hepatic encephalopathy (CHE) significantly impacts the quality of life and prognosis in patients with liver cirrhos...
Journal Of Gastroenterology
comment
0
thumb_up
0
Definitive-dose adjuvant radiotherapy following endoscopic submucosal dissection for superficial esophageal cancer
Prophylactic chemoradiation therapy (CRT) using 40–41.4 Gy post-endoscopic submucosal dissection (ESD) for ...
Journal Of Gastroenterology
comment
0
thumb_up
0
Utility of Mac-2 binding protein glycosylation isomer as an excellent biomarker for the prediction of liver fibrosis, activity, and hepatocellular carcinoma onset: an expert review
Mac-2 binding protein glycosylation isomer (M2BPGi) is a liver fibrosis biomarker that originated in Japan and has been co...
Journal Of Gastroenterology
comment
0
thumb_up
0
Standard technique in Japan for measuring hepatic venous pressure gradient
Direct measurement of portal venous pressure (PVP) is invasive, so the hepatic venous pressure gradient (HVPG) is commonly...
Journal Of Gastroenterology
comment
0
thumb_up
0
Liver transplantation for gastroenteropancreatic neuroendocrine liver metastasis: optimal patient selection and perioperative management in the era of multimodal treatments
Gastroenteropancreatic neuroendocrine tumors (NET) often metastasize to the liver. Although curative liver resection provi...
Journal Of Gastroenterology
comment
0
thumb_up
0
Anti-integrin αvβ6 autoantibody in primary sclerosing cholangitis: a Japanese nationwide study
Although specific biomarkers for primary sclerosing cholangitis (PSC) are required, no such biomarkers have been identifie...
Journal Of Gastroenterology
comment
0
thumb_up
0
Optimal direct oral anticoagulant for upper gastrointestinal endoscopic submucosal dissection
The patients taking direct oral anticoagulants (DOACs) are at high risk for developing ischemic stroke and delayed bleedin...
Journal Of Gastroenterology
comment
0
thumb_up
0
Anti-integrin αvβ6 antibody as a biomarker for diagnosing ulcerative colitis: a nationwide multicenter validation study
A serum biomarker for diagnosing ulcerative colitis (UC) remains to be established. Although we recently reported an anti-...
Journal Of Gastroenterology
comment
0
thumb_up
0
Effect of tumor microenvironment in pancreatic cancer on the loss of β-cell mass: implications for type 3c diabetes
To explore the complex interactions between the tumor microenvironment (TME) of pancreatic ductal adenocarcinoma (PDAC) an...
Journal Of Gastroenterology
comment
0
thumb_up
0
Migrasome-related prognostic signature TSPAN4 correlates with immune infiltrates and metabolic disturbances in hepatocellular carcinoma
We aim to comprehensively analyze and validate the prognostic efficacy of tetraspanin 4 (TSPAN4) and several other migraso...
Journal Of Gastroenterology
comment
0
thumb_up
0
Single-molecule sequencing of the whole HCV genome revealed envelope deletions in decompensated cirrhosis associated with NS2 and NS5A mutations
Defective hepatitis C virus (HCV) genomes with deletion of the envelope region have been occasionally reported by short-re...
Journal Of Gastroenterology
comment
0
thumb_up
0
Development of a novel oncolytic adenovirus controlled by CDX2 promoter for esophageal adenocarcinoma therapy
Prognosis of esophageal adenocarcinoma (EAC) is still poor. Therefore, the development of novel therapeutic modalities is ...
Journal Of Gastroenterology
comment
0
thumb_up
0
Multisample lipidomic profiles of irritable bowel syndrome and irritable bowel syndrome-like symptoms in patients with inflammatory bowel disease: new insight into the recognition of the same symptoms in different diseases
Overlapping clinical manifestations of irritable bowel syndrome (IBS) and IBS-like symptoms in patients with inflammatory ...
Journal Of Gastroenterology
comment
0
thumb_up
0
Association of pancreatic atrophy patterns with intraductal extension of early pancreatic ductal adenocarcinoma: a multicenter retrospective study
Focal pancreatic parenchymal atrophy (FPPA) and upstream pancreatic atrophy (UPA) may indicate the presence of early pancr...
Journal Of Gastroenterology
comment
0
thumb_up
0
CRAFITY score as a predictive marker for refractoriness to atezolizumab plus bevacizumab therapy in hepatocellular carcinoma: a multicenter retrospective study
Although atezolizumab plus bevacizumab (Atezo/Bev) therapy has been used as the preferred first-line treatment for advance...
Journal Of Gastroenterology
comment
0
thumb_up
0
Advances in omics data for eosinophilic esophagitis: moving towards multi-omics analyses
Eosinophilic esophagitis (EoE) is a chronic, allergic inflammatory disease of the esophagus characterized by eosinophil ac...
Journal Of Gastroenterology
comment
0
thumb_up
0
Small extracellular vesicles derived from adipose mesenchymal stem cells alleviate intestinal fibrosis by inhibiting the FAK/Akt signaling pathway via MFGE8
Intestinal fibrosis is one of the most frequent and severe complications of Crohn’s disease. Accumulating studies ha...
Journal Of Gastroenterology
comment
0
thumb_up
0
Cancer risk by length of Barrett’s esophagus in Japanese population: a nationwide multicenter retrospective cohort study
The cancer risk for each length of Barrett’s esophagus (BE) in Japanese is unknown. This nationwide, multi-instituti...
Journal Of Gastroenterology
comment
0
thumb_up
0
Alcohol-associated liver disease increases the risk of muscle loss and mortality in patients with cirrhosis
Rapid skeletal muscle loss adversely affects the clinical outcomes of liver cirrhosis. However, the relationships between ...
Journal Of Gastroenterology
comment
0
thumb_up
0
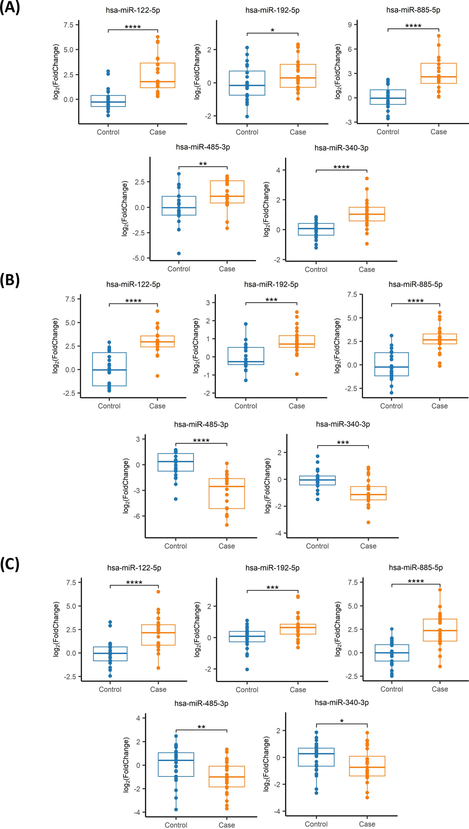
Profile of plasma microRNAs as a potential biomarker of Wilson’s disease
Wilson’s disease (WD) is a rare condition resulting from autosomal recessive mutations in ATP7B, a copper transporte...
Journal Of Gastroenterology
comment
0
thumb_up
0
Resistant starch reduces glycolysis by HK2 and suppresses high-fructose corn syrup-induced colon tumorigenesis
The intake of high-fructose corn syrup (HFCS) may increase the risk of colorectal cancer (CRC). This study aimed to explor...
Journal Of Gastroenterology
comment
0
thumb_up
0
The potential of an artificial intelligence for diagnosing MRI images in rectal cancer: multicenter collaborative trial
An artificial intelligence-based algorithm we developed, mrAI, satisfactorily segmented the rectal tumor, rectum, and meso...
Journal Of Gastroenterology
comment
0
thumb_up
0
Nrf2/ASPM axis regulated vasculogenic mimicry formation in hepatocellular carcinoma under hypoxia
Hypoxic microenvironment is a common feature of most solid tumors including hepatocellular carcinoma (HCC). Vasculogenic m...
Journal Of Gastroenterology
comment
0
thumb_up
0
Association of circulating cytokine levels and tissue-infiltrating myeloid cells with achalasia: results from Mendelian randomization and validation through clinical characteristics and single-cell RNA sequencing
Achalasia is a rare motility disorder of the esophagus often accompanied by immune dysregulation, yet specific underlying ...
Journal Of Gastroenterology
comment
0
thumb_up
0
Genomic profile and clinical features of MSI-H and TMB-high pancreatic cancers: real-world data from C-CAT database
Microsatellite instability high (MSI-H) and tumor mutational burden high (TMB-high) pancreatic cancer are rare, and inform...
Journal Of Gastroenterology
comment
0
thumb_up
0
Load More
Modal title
×
Modal title
×
Share
Login
Global News and Health Forum
Join Now!
Member Login
Remember me
Forgot password?
Or using
Linkedin