×
Close
Sign Up
Login
Home
SCI Abstract
Library D
Events & Partner
WeMed
MDLA Events Platform
Events
Media Partners
Educational Partner
User Tools
FAQ/USER GUIDE
Language
English
中文/ Chinese
French
Português
Español
Arabic
Russian
Contact Us
×
Close
mdla_1
mdla_2
mdla_3
mdla_4
mdla_5
mdla_6
Categories
Dentistry, Oral Surgery & Medicine
13544
Global Medical University
5141
Allergy
1792
Anatomy & Morphology
1584
Andrology
379
Anesthesia & Intensive Care
1300
Anesthesiology
5399
Audiology & Speech-Language Pathology
347
Behavioral Sciences
105
Biochemical Research Methods
7243
Biochemistry & Molecular Biology
30077
Biodiversity Conservation
330
Biology
8515
Biophysics
8292
Biotechnology & Applied Microbiology
8662
Cardiac & Cardiovascular Systems
31125
Cardiovascular & Respiratory Systems
1413
Cell & Tissue Engineering
704
Cell Biology
11182
Chemistry, Analytical
4301
Chemistry, Applied
10948
Chemistry, Medicinal
8755
Chemistry, Multidisciplinary
18521
Clinical Immunology & Infectious Disease
423
Clinical Medicine
8962
Clinical Neurology
16636
Clinical Psychology & Psychiatry
1294
Critical Care Medicine
3163
Dermatology
7485
Developmental Biology
6954
Ecology
633
Education, Scientific Disciplines
2050
Emergency Medicine
4117
Endocrinology, Metabolism & Nutrition
24622
Engineering, Biomedical
3729
Entomology
489
Environmental Medicine & Public Health
4669
Evolutionary Biology
276
Gastroenterology & Hepatology
12236
General & Internal Medicine
7013
Genetics & Heredity
15196
Geriatrics & Gerontology
5075
Gerontology
382
Health Care Sciences & Services
16165
Health Policy & Services
604
Hematology
5578
Immunology
24850
Infectious Diseases
14017
Integrative & Complementary Medicine
2943
Medical Ethics
1239
Medical Informatics
2232
Medical Laboratory Technology
419
Medicine, General & Internal
44379
Medicine, Legal
532
Medicine, Research & Experimental
17792
Microbiology
23387
Mycology
0
Nanoscience & Nanotechnology
5388
Neuroimaging
1365
Neurology
4562
Neurosciences
39861
Nursing
9787
Nutrition & Dietetics
7849
Obstetrics & Gynecology
8277
Oncology
52506
Ophthalmology
9749
Optics
4279
Orthopedics
11803
Orthopedics, Rehabilitation & Sports Medicine
1828
Otolaryngology
1583
Otorhinolaryngology
4894
Parasitology
1167
Pathology
5148
Pediatrics
21618
Peripheral Vascular Disease
4767
Pharmacology & Pharmacy
35500
Pharmacology/Toxicology
12212
Physiology
8922
Polymer Science
542
Primary Health Care
837
Psychiatry
19132
Psychology
5240
Psychology, Applied
111
Psychology, Biological
390
Psychology, Clinical
811
Psychology, Developmental
273
Psychology, Educational
164
Psychology, Experimental
171
Psychology, Mathematical
0
Psychology, Multidisciplinary
1694
Psychology, Psychoanalysis
30
Psychology, Social
131
Public Health & Health Care Science
2225
Public, Environmental & Occupational Health
27291
Quantum Science & Technology
0
Radiology, Nuclear Medicine & Imaging
12500
Radiology, Nuclear Medicine & Medical Imaging
8264
Rehabilitation
3074
Remote Sensing
0
Reproductive Biology
2872
Reproductive Medicine
1212
Research/Laboratory Medicine & Medical Technology
4029
Respiratory System
7421
Rheumatology
6029
Social Sciences, Biomedical
1178
Substance Abuse
2771
Surgery
33928
Toxicology
4445
Transplantation
938
Tropical Medicine
300
Urology & Nephrology
12890
Veterinary Sciences
35
Virology
2551
Zoology
0
Channels
BMC ORAL HEALTH
1320
Journal of Maxillofacial and Oral Surgery
511
Medrxiv - Dentistry And Oral Medicine Medrxiv
179
CLINICAL IMPLANT DENTISTRY AND RELATED RESEARCH
44
DENTAL MATERIALS
516
INTERNATIONAL ENDODONTIC JOURNAL
130
JOURNAL OF CLINICAL PERIODONTOLOGY
111
JOURNAL OF DENTAL RESEARCH
99
JOURNAL OF DENTAL SCIENCES
776
JOURNAL OF DENTISTRY
748
ORAL ONCOLOGY
0
PERIODONTOLOGY 2000
21
ARCHIVES OF ORAL BIOLOGY
523
AUSTRALIAN DENTAL JOURNAL
47
AUSTRALIAN ENDODONTIC JOURNAL
107
BRAZILIAN ORAL RESEARCH
0
BRITISH DENTAL JOURNAL
623
CARIES RESEARCH
95
DENTAL TRAUMATOLOGY
44
EUROPEAN JOURNAL OF DENTAL EDUCATION
117
EUROPEAN JOURNAL OF ORAL SCIENCES
42
HEAD & FACE MEDICINE
146
INTERNATIONAL DENTAL JOURNAL
20
INTERNATIONAL JOURNAL OF DENTAL HYGIENE
70
INTERNATIONAL JOURNAL OF ORAL SCIENCE
166
JOURNAL OF ADHESIVE DENTISTRY
95
JOURNAL OF APPLIED ORAL SCIENCE
0
JOURNAL OF DENTAL EDUCATION
274
JOURNAL OF ESTHETIC AND RESTORATIVE DENTISTRY
104
JOURNAL OF ORAL PATHOLOGY & MEDICINE
83
JOURNAL OF ORAL REHABILITATION
105
JOURNAL OF PERIODONTAL RESEARCH
75
JOURNAL OF PERIODONTOLOGY
230
JOURNAL OF PROSTHETIC DENTISTRY
1066
JOURNAL OF PROSTHODONTIC RESEARCH
0
JOURNAL OF PROSTHODONTICS-IMPLANT ESTHETIC AND RECONSTRUCTIVE DENTISTRY
121
JOURNAL OF PUBLIC HEALTH DENTISTRY
35
JOURNAL OF THE CANADIAN DENTAL ASSOCIATION
55
MOLECULAR ORAL MICROBIOLOGY
17
ORAL DISEASES
275
ORAL HEALTH & PREVENTIVE DENTISTRY
96
ORTHODONTICS & CRANIOFACIAL RESEARCH
105
INTERNATIONAL JOURNAL OF ORAL AND MAXILLOFACIAL SURGERY
29
JOURNAL OF CRANIO-MAXILLOFACIAL SURGERY
409
JOURNAL OF EVIDENCE-BASED DENTAL PRACTICE
275
JOURNAL OF ORAL AND MAXILLOFACIAL SURGERY
29
JOURNAL OF THE AMERICAN DENTAL ASSOCIATION
17
SAUDI DENTAL JOURNAL
460
ROMANIAN JOURNAL OF ORAL REHABILITATION
127
APOS TRENDS IN ORTHODONTICS
149
CLINICAL ADVANCES IN PERIODONTICS
46
CLINICAL AND EXPERIMENTAL DENTAL RESEARCH
106
CONTEMPORARY CLINICAL DENTISTRY
20
CRANIOMAXILLOFACIAL TRAUMA & RECONSTRUCTION
29
DENTAL HYPOTHESES
89
DENTISTRY JOURNAL
284
EUROPEAN ARCHIVES OF PAEDIATRIC DENTISTRY
277
INTERNATIONAL JOURNAL OF ESTHETIC DENTISTRY
85
INTERNATIONAL JOURNAL OF MEDICAL DENTISTRY
223
JDR CLINICAL & TRANSLATIONAL RESEARCH
26
JOURNAL OF DENTISTRY INDONESIA
133
JOURNAL OF INDIAN PROSTHODONTIC SOCIETY
13
JOURNAL OF INTERNATIONAL SOCIETY OF PREVENTIVE AND COMMUNITY DENTISTRY
120
JOURNAL OF MAXILLOFACIAL & ORAL SURGERY
44
JOURNAL OF ORTHODONTICS
41
JOURNAL OF OSSEOINTEGRATION
75
MAXILLOFACIAL PLASTIC AND RECONSTRUCTIVE SURGERY
127
ODOVTOS INTERNATIONAL JOURNAL OF DENTAL SCIENCES
74
OPEN DENTISTRY JOURNAL
20
ORAL AND MAXILLOFACIAL SURGERY-HEIDELBERG
311
INTERNATIONAL JOURNAL OF IMPLANT DENTISTRY
164
ODONTOLOGY
273
ORAL RADIOLOGY
258
INTERNATIONAL JOURNAL OF STOMATOLOGY & OCCLUSION MEDICINE
20
SCI Abstract
search
ALL
RECOMMENDED
+
Successful interdisciplinary retreatment after initial treatment failure in a cleft lip adolescent
Cleft lip and/or palate (CL/P) is the most common craniofacial birth defect. Patients with CL/P typically exhibit severe m...
Bmc Oral Health
comment
0
thumb_up
0
Stability of alveolar ridge following horizontal guided bone regeneration after implant loading for 1 -2 years: a retrospective comparative study
This retrospective comparative study aimed to evaluate the effects of guided bone regeneration(GBR) on horizontal bone aug...
Bmc Oral Health
comment
0
thumb_up
0
Efficacy and tolerability of probiotics, prebiotics, and symbiotics consumption on oral complications of patients with thyroid and head and neck cancers: a systematic review and meta-analysis
Oral complications following cancer treatment are a challenging issue for oncologists. Several studies have demonstrated t...
Bmc Oral Health
comment
0
thumb_up
0
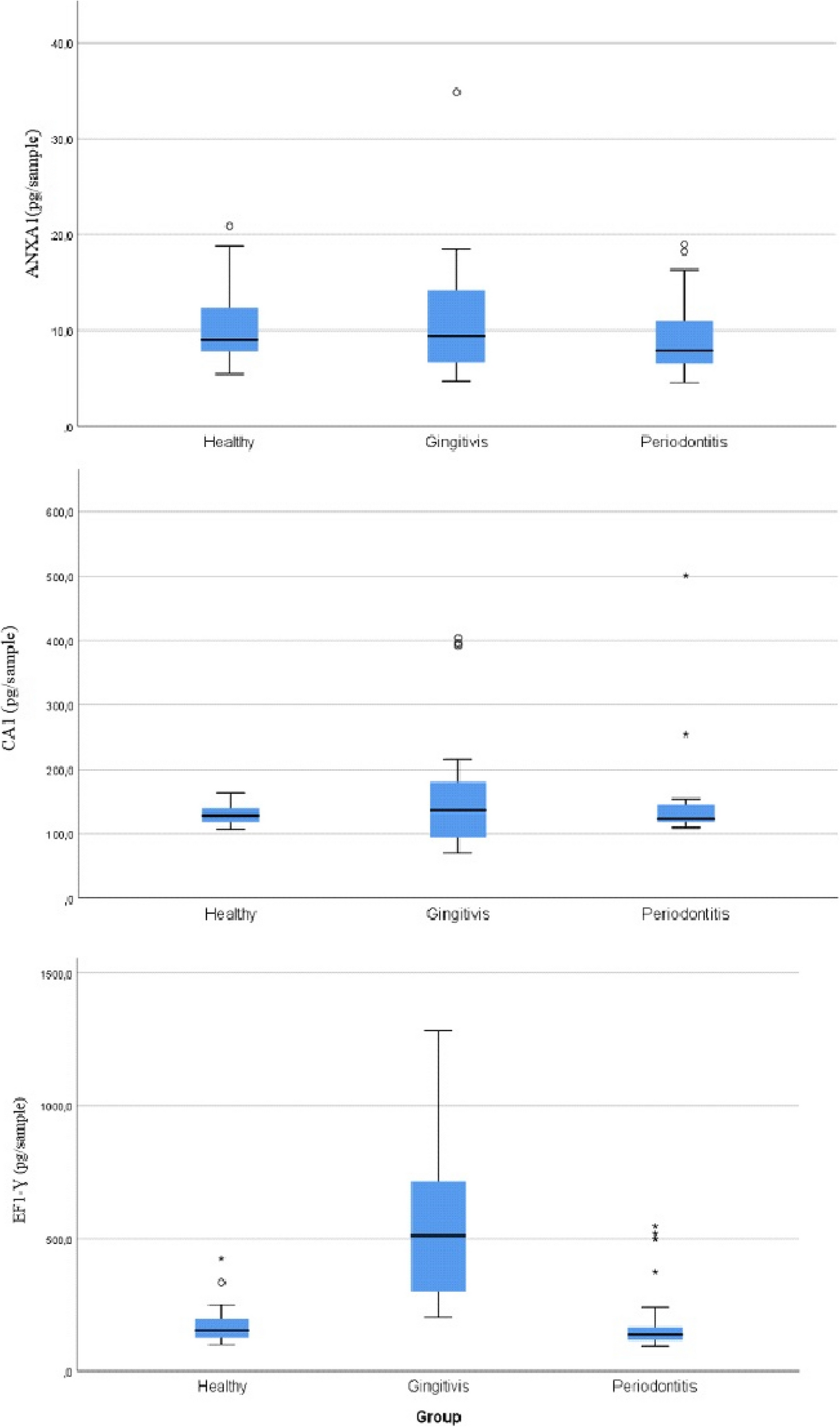
Evaluation of annexin A1, carbonic anhydrase 1, and elongation factor 1-gamma levels in periodontal diseases
Periodontitis arises from dysbiotic subgingival microbiota and an unresolved inflammatory response. Annexin A1 (ANXA1), Ca...
Bmc Oral Health
comment
0
thumb_up
0
Postobturation Pain of three Novel Calcium Silicate-based sealers with asymptomatic irreversible pulpitis or necrotic pulp with chronic apical periodontitis: prospective clinical trial
Bioceramic-based root canal sealers are increasingly important in root canal treatment because of their biocompatible prop...
Bmc Oral Health
comment
0
thumb_up
0
Does salivary cortisol serve as a potential biomarker for temporomandibular disorders in adults?
The etiology of temporomandibular disorders (TMD) is multifactorial, involving a complex interplay of psychological and ph...
Bmc Oral Health
comment
0
thumb_up
0
The hyoid bone position and upper airway morphology among children with and without adenotonsillar hypertrophy: a cross-sectional study
Adenotonsillar hypertrophy (ATH) is a major cause of pediatric obstructive sleep apnea (OSA), potentially impacting cranio...
Bmc Oral Health
comment
0
thumb_up
0
The effect of two different contemporary chelating agents on vital pulp therapy in mature permanent teeth with irreversible pulpitis using bioceramic material: randomized clinical trial
Vital pulp therapy maintained functionality, vitality, and asymptomatic teeth. Compared to normal root canal treatment, pu...
Bmc Oral Health
comment
0
thumb_up
0
Antral membrane balloon technique versus Densah bur in crestal sinus lift with simultaneous implant placement: a randomized clinical trial
The posterior maxilla presents challenges for implant insertion because of the poor bone quality as well as the loss of ve...
Bmc Oral Health
comment
0
thumb_up
0
A novel formula for estimating the vertical dimension of occlusion using panoramic radiography
This study aimed to develop a new formula to easily estimate the vertical dimension of occlusion (VDO) by using the distan...
Bmc Oral Health
comment
0
thumb_up
0
Preventive effects of probiotics on dental caries in vitro and in vivo
Dental caries is a common disease in the oral cavity, and the microorganisms in the cavity are colonized in the form of de...
Bmc Oral Health
comment
0
thumb_up
0
Hyoid displacement during swallowing function for completely edentulous subjects rehabilitated with mandibular implant retained overdenture
Hyoid bone is attached to the mandible, tongue, larynx, temporal bone, and cervical spine via different types of muscles o...
Bmc Oral Health
comment
0
thumb_up
0
A pedicled buccal periosteal flap for the closure of oro-antral fistula
An oroantral fistula is a communication between the maxillary antrum and oral cavity. This pathological communication is f...
Bmc Oral Health
comment
0
thumb_up
0
Global, regional, and national burden of incidence, prevalence, and years lived with disability for facial fractures from 1990 to 2019: a systematic analysis for the Global Burden of Disease study 2019
Facial fractures are common injuries causing cosmetic, functional, and psychological damage. The purpose of this study was...
Bmc Oral Health
comment
0
thumb_up
0
Differential diagnosis of cemento-osseous dysplasia and periapical cyst using texture analysis of CBCT
Radiolucencies found at the root apex in patients with cemento-osseous dysplasia (COD) may be mistaken for periapical cyst...
Bmc Oral Health
comment
0
thumb_up
0
Comparison of the shear bond strengths of two different polyetheretherketone (PEEK) framework materials and CAD–CAM veneer materials
This study evaluated the shear bond strength (SBS) of two different polyetheretherketone (PEEK) and CAD-CAM materials afte...
Bmc Oral Health
comment
0
thumb_up
0
Dental pulp cells cocultured with macrophages aggravate the inflammatory conditions stimulated by LPS
Pulp inflammation is complex interactions between different types of cells and cytokines. To mimic the interactions of dif...
Bmc Oral Health
comment
0
thumb_up
0
Chewing ability and associated factors in older adults in Germany. Results from GEDA 2019/2020-EHIS
Oral well-being is an important component of general well-being and quality of life, as it is greatly influenced by the ab...
Bmc Oral Health
comment
0
thumb_up
0
Unveiling professional and personal preferences of early career dentists during first year of employment at the Thai dental public sector: a one-year cross-sectional study
Despite the implementation of various government policies to retain Thai dentists in public sector, a high turnover rate a...
Bmc Oral Health
comment
0
thumb_up
0
Causal association of serum biomarkers with oral cavity and oropharyngeal cancer: a mendelian randomization study
Observational epidemiological studies revealed that multiple serum biomarkers can be associated with the risk of oral and ...
Bmc Oral Health
comment
0
thumb_up
0
A randomized controlled trial comparing conventional and piezosurgery methods in mandibular bone block harvesting from the retromolar region
Although piezosurgery is now commonly used for various applications in maxillofacial surgery, its advantages over conventi...
Bmc Oral Health
comment
0
thumb_up
0
Visualization of airborne droplets generated with dental handpieces and verification of the efficacy of high-volume evacuators: an in vitro study
The COVID-19 pandemic led to concerns about the potential airborne transmission of the virus during dental procedures, but...
Bmc Oral Health
comment
0
thumb_up
0
The effect of periapical bone defects on stress distribution in teeth with periapical periodontitis: a finite element analysis
Apical periodontitis directly affects the stress state of the affected tooth owing to the destruction of the periapical bo...
Bmc Oral Health
comment
0
thumb_up
0
Correction: Topical betamethasone and systemic colchicine for treatment of recurrent aphthous stomatitis: a randomised clinical trial
Open Access This article is licensed under a Creative Commons Attribution 4.0 International License, whi...
Bmc Oral Health
comment
0
thumb_up
0
Oral health behind the bars: oral health seeking behavior among jail prisoners at central jail of Peshawar, Pakistan: a cross-sectional study
The oral health care-seeking behavior among prison inmates is an overlooked area, often leading to deteriorating general h...
Bmc Oral Health
comment
0
thumb_up
0
Comparison between platelet rich fibrin as space filling material versus xenograft and alloplastic bone grafting materials in immediate implant placement: a randomized clinical trial
This study aimed to compare the efficacy of different gap filling materials in immediate implant in anterior and premolar ...
Bmc Oral Health
comment
0
thumb_up
0
Efficacy of Kinesio taping in post operative sequalae after surgical removal of mandibular third molars: a split mouth randomized control study
The surgical removal of impacted lower third molars produces a significant degree of trauma to the soft tissue and bony st...
Bmc Oral Health
comment
0
thumb_up
0
Knowledge, awareness, and perception of digital dentistry among Egyptian dentists: a cross-sectional study
Digital dentistry has revolutionized the way dental treatment is offered to patients. It became essential for dental pract...
Bmc Oral Health
comment
0
thumb_up
0
Associations between the 3D position of the mental foramen with sagittal skeletal relationships (classes I, II, and III) and vertical facial growth patterns (normal, long, and short faces) in different ages and sexes: a retrospective cohort study of 360 CBCTs
The 3D position of the mental foramen (MF) is of significant clinical value in dental implantology and mandibular surgerie...
Bmc Oral Health
comment
0
thumb_up
0
Change in surface properties of two different dental resin composites after using various beverages and brushing
The study aimed to evaluate the influence of various beverages; with and without brushing; on the surface mechanical prope...
Bmc Oral Health
comment
0
thumb_up
0
Load More
Modal title
×
Modal title
×
Share
Login
Global News and Health Forum
Join Now!
Member Login
Remember me
Forgot password?
Or using
Linkedin