×
Close
Sign Up
Login
Home
SCI Abstract
Library D
Events & Partner
WeMed
MDLA Events Platform
Events
Media Partners
Educational Partner
User Tools
FAQ/USER GUIDE
Language
English
中文/ Chinese
French
Português
Español
Arabic
Russian
Contact Us
×
Close
mdla_1
mdla_2
mdla_3
mdla_4
mdla_5
mdla_6
Categories
Chemistry, Medicinal
8755
Global Medical University
5141
Allergy
1792
Anatomy & Morphology
1584
Andrology
379
Anesthesia & Intensive Care
1300
Anesthesiology
5399
Audiology & Speech-Language Pathology
347
Behavioral Sciences
105
Biochemical Research Methods
7243
Biochemistry & Molecular Biology
30077
Biodiversity Conservation
330
Biology
8515
Biophysics
8292
Biotechnology & Applied Microbiology
8662
Cardiac & Cardiovascular Systems
31125
Cardiovascular & Respiratory Systems
1413
Cell & Tissue Engineering
704
Cell Biology
11182
Chemistry, Analytical
4301
Chemistry, Applied
10948
Chemistry, Multidisciplinary
18521
Clinical Immunology & Infectious Disease
423
Clinical Medicine
8962
Clinical Neurology
16636
Clinical Psychology & Psychiatry
1294
Critical Care Medicine
3163
Dentistry, Oral Surgery & Medicine
13544
Dermatology
7485
Developmental Biology
6954
Ecology
633
Education, Scientific Disciplines
2050
Emergency Medicine
4117
Endocrinology, Metabolism & Nutrition
24622
Engineering, Biomedical
3729
Entomology
489
Environmental Medicine & Public Health
4669
Evolutionary Biology
276
Gastroenterology & Hepatology
12236
General & Internal Medicine
7013
Genetics & Heredity
15196
Geriatrics & Gerontology
5075
Gerontology
382
Health Care Sciences & Services
16165
Health Policy & Services
604
Hematology
5578
Immunology
24850
Infectious Diseases
14017
Integrative & Complementary Medicine
2943
Medical Ethics
1239
Medical Informatics
2232
Medical Laboratory Technology
419
Medicine, General & Internal
44379
Medicine, Legal
532
Medicine, Research & Experimental
17792
Microbiology
23387
Mycology
0
Nanoscience & Nanotechnology
5388
Neuroimaging
1365
Neurology
4562
Neurosciences
39861
Nursing
9787
Nutrition & Dietetics
7849
Obstetrics & Gynecology
8277
Oncology
52506
Ophthalmology
9749
Optics
4279
Orthopedics
11803
Orthopedics, Rehabilitation & Sports Medicine
1828
Otolaryngology
1583
Otorhinolaryngology
4894
Parasitology
1167
Pathology
5148
Pediatrics
21618
Peripheral Vascular Disease
4767
Pharmacology & Pharmacy
35500
Pharmacology/Toxicology
12212
Physiology
8922
Polymer Science
542
Primary Health Care
837
Psychiatry
19132
Psychology
5240
Psychology, Applied
111
Psychology, Biological
390
Psychology, Clinical
811
Psychology, Developmental
273
Psychology, Educational
164
Psychology, Experimental
171
Psychology, Mathematical
0
Psychology, Multidisciplinary
1694
Psychology, Psychoanalysis
30
Psychology, Social
131
Public Health & Health Care Science
2225
Public, Environmental & Occupational Health
27291
Quantum Science & Technology
0
Radiology, Nuclear Medicine & Imaging
12500
Radiology, Nuclear Medicine & Medical Imaging
8264
Rehabilitation
3074
Remote Sensing
0
Reproductive Biology
2872
Reproductive Medicine
1212
Research/Laboratory Medicine & Medical Technology
4029
Respiratory System
7421
Rheumatology
6029
Social Sciences, Biomedical
1178
Substance Abuse
2771
Surgery
33948
Toxicology
4445
Transplantation
938
Tropical Medicine
300
Urology & Nephrology
12890
Veterinary Sciences
35
Virology
2551
Zoology
0
Channels
MEDICINAL CHEMISTRY RESEARCH
486
DRUG DESIGN DEVELOPMENT AND THERAPY
876
EUROPEAN JOURNAL OF MEDICINAL CHEMISTRY
1780
FUTURE MEDICINAL CHEMISTRY
379
JOURNAL OF LABELLED COMPOUNDS & RADIOPHARMACEUTICALS
49
JOURNAL OF PERSONALIZED MEDICINE
2077
JOURNAL OF STRUCTURAL CHEMISTRY
608
MEDICINA-LITHUANIA
1734
AVICENNA JOURNAL OF PHYTOMEDICINE
186
RESEARCH IN PHARMACEUTICAL SCIENCES
111
NATURAL PRODUCTS AND BIOPROSPECTING
184
JOURNAL OF NATURAL MEDICINES
285
SCI Abstract
search
ALL
RECOMMENDED
+
Synthesis and antibacterial activity of environmentally friendly sulfonium compounds
The abuse and overuse of antibacterial drugs have caused the increasing drug resistance of pathogenic bacteria, which thre...
Medicinal Chemistry Research
comment
0
thumb_up
0
Design, synthesis and insecticidal activities of novel m-diamide compounds containing n-propyl group
To develop a structurally novel and efficient insecticide, a series of meta-diamide compounds incorporating n-propyl group...
Medicinal Chemistry Research
comment
0
thumb_up
0
Design, synthesis and antifungal study of novel 2-aryl-3,4-dihydroisoquinolin-2-ium salts containing benzoate moieties
To discover natural-derived fungicides, three series of 2-aryl-3,4-dihydroisoquinolinium salts (6–8) containing benz...
Medicinal Chemistry Research
comment
0
thumb_up
0
Uncaria-derived compounds for cancer treatment: mechanistic insights and therapeutic potential
Uncaria is a traditional medicinal plant belonging to the Rubiaceae family, with a particularly strong presence in Asia, C...
Medicinal Chemistry Research
comment
0
thumb_up
0
Evaluation of cholinesterase enzyme inhibitory potential of dipterocarpol derivatives
Acetylcholinesterase (AChE) and butyrylcholinesterase (BChE) - are depression and neurodegenerative diseases that target e...
Medicinal Chemistry Research
comment
0
thumb_up
0
Phytochemical constituents isolated from Silene popovii Schischk
In this work, with the aim to find new and biologically active natural compounds, the chemical content of the apolar and p...
Medicinal Chemistry Research
comment
0
thumb_up
0
Integrating omics data for personalized medicine in treating psoriasis
Psoriasis is a chronic, multifactorial skin disorder characterized by the hyperproliferation of keratinocytes and persiste...
Medicinal Chemistry Research
comment
0
thumb_up
0
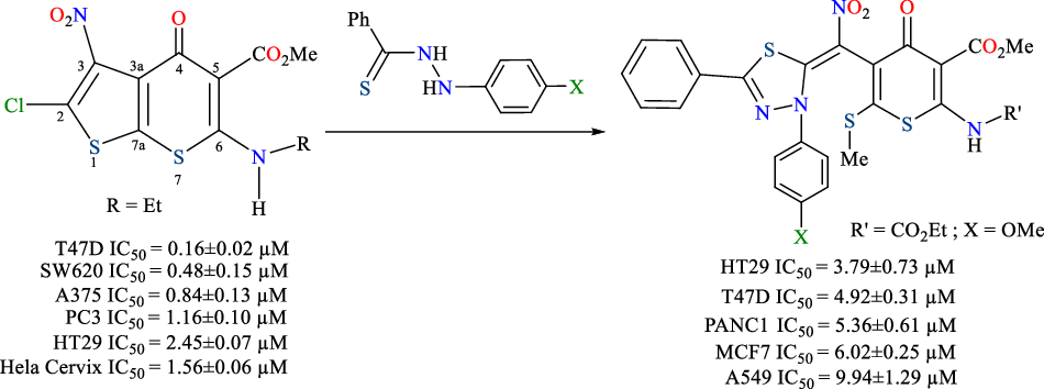
Thiophene ring-opening reactions. Part VII: synthesis and antitumor, anti-inflammatory, and antioxidant properties of 1,3,4‒thiadiazoline‒6-sulfanylthiopyran-4(1H)-one hybrids
The reaction of N′’(aryl)benzothiohydrazides with 2-chloro-6-((substituted)amino)-3-nitro-4-oxo-4H-thieno[2,3-...
Medicinal Chemistry Research
comment
0
thumb_up
0
Triphenylphosphonium (TPP) conjugates of 1,2,3-triazolyl nucleoside analogues. Synthesis, cytotoxicity and antimicrobial activity
A series of new triphenylphosphonium (TPP) conjugates of 1,2,3-triazolyl nucleoside analogues were synthesised by coupling...
Medicinal Chemistry Research
comment
0
thumb_up
0
A guide for asymmetric synthesis of morphine alkaloids
A collection of structurally related natural compounds derived from Papaver somniferum, the opium poppy, are known as the ...
Medicinal Chemistry Research
comment
0
thumb_up
0
Design and synthesis of aminothiazole-benzazole based amide: antiproliferative, antimigration activity and molecular docking studies
In this study, we synthesized a series of amide-functionalized aminothiazole-benzazole analogs for potential application i...
Medicinal Chemistry Research
comment
0
thumb_up
0
Synthesis and biological assessment of triazolo-quinazoline carbothioamide derivatives for p38 MAP kinase inhibition: in-silico and in-vitro approaches
A series of 4-Alkyl-5-oxo-N-(pyridin-3-yl)-4,5-dihydro [1,2,3] triazolo[1,5-a] quinazoline-3-carbothioamide compounds (8a-...
Medicinal Chemistry Research
comment
0
thumb_up
0
Synthesis, bacteria activity and molecular simulation of D-galactose-conjugated thiosemicarbazones of 3-aryl-4-formylsydnones
A series of D-galactose-conjugated substituted 4-formylsydnone thiosemicarbazones 4a-j were designed and synthesized from ...
Medicinal Chemistry Research
comment
0
thumb_up
0
α-Glucosidase inhibitory activities of aromatic compounds from the rhizomes of Alpinia galanga
Inhibition of α-glucosidase is a widely recognized approach for managing hyperglycemia, particularly postprandial glu...
Medicinal Chemistry Research
comment
0
thumb_up
0
Antivirulence therapy: type IV pilus as a druggable target for bacterial infections
Virulence is an organism’s ability to infect the host and cause disease, and this ability is determined by the prese...
Medicinal Chemistry Research
comment
0
thumb_up
0
Review: Chemical and biological features of genus Paralemnalia soft corals
Marine soft corals are plentiful sources of a wide range of natural products. They include an extensive array of chemical ...
Medicinal Chemistry Research
comment
0
thumb_up
0
Exploration of potential antihypertensive peptides derived from farmed Chinese giant salamander (Andrias davidianus)
The alcalase digestate of farmed Chinese giant salamander meat powder (FCGSMP) demonstrated antihypertensive properties th...
Medicinal Chemistry Research
comment
0
thumb_up
0
Characterization of Allium tuberosum Rottl. peptides with dual inhibitory activities against angiotensin I converting enzyme and dipeptidyl peptidase-IV
Two peptides with dual functionality, namely LLPSY and NAPALVY, exhibit inhibitory effects on both angiotensin-I-convertin...
Medicinal Chemistry Research
comment
0
thumb_up
0
Extraction and purification, pharmacological action, synthesis and product development of salidroside: a review
Salidroside (Sal), a natural phenolic glycoside ubiquitous across all species of the Rhodiola genus, has garnered consider...
Medicinal Chemistry Research
comment
0
thumb_up
0
Design, synthesis and evaluation of imidazo[1,2-a]pyrazin-8(7H)-one derivatives as acetylcholinesterase inhibitors and antioxidants
A series of 8-(piperazin-1-yl)imidazo[1,2-a]pyrazine derivatives were designed and synthesized as acetylcholinesterase inh...
Medicinal Chemistry Research
comment
0
thumb_up
0
Design and discovery of monopolar spindle kinase 1 (MPS1/TTK) inhibitors by computational approaches
Monopolar spindle kinase 1 (MPS1, also called TTK) is an attractive target for the treatment of cancers. Five MPS1 inhibit...
Medicinal Chemistry Research
comment
0
thumb_up
0
Anticancer potential of delphinidin and its derivatives: therapeutic and mechanistic insights
Anthocyanins are water-soluble naturally occurring flavonoids present in fruits, flowers, leaves, and roots of fruit plant...
Medicinal Chemistry Research
comment
0
thumb_up
0
Targeting selective inhibitors of PARPs in drug discovery and development
Poly(ADP-ribose)polymerases (PARPs) have emerged as promising targets for the treatment of diseases, particularly in cance...
Medicinal Chemistry Research
comment
0
thumb_up
0
Synthesis and evaluation of novel biaryl oxazolidinones effective against gram-positive bacterial infections
Oxazolidinones are synthetic antibiotic class of compounds characterized by chemical structure, cyclic carbamate with R...
Medicinal Chemistry Research
comment
0
thumb_up
0
Synthesis and antiproliferative activity of 7-substituted amide estradiol derivatives
The modification of the 7-position in the estradiol structure has drawn significant attention from pharmacologists. In thi...
Medicinal Chemistry Research
comment
0
thumb_up
0
Facile access to novel furoyl-based amide retroisoster inhibitors of LuxR-regulated quorum sensing: conformation analysis and docking studies
A series of N-alkylfuran-2-carboxamide derivatives was easily prepared through direct acylation of diverse amines with 2-f...
Medicinal Chemistry Research
comment
0
thumb_up
0
Nafithromycin (MIQNAF®): ultramodern lactone ketolide designed to treat community acquired bacterial pneumonia (CABP)
Community acquired bacterial pneumoniae (CABP) infections is the major cause of mortality and morbidity, especially in eld...
Medicinal Chemistry Research
comment
0
thumb_up
0
Dauricine: a review of natural observation, pharmacology, and pharmacokinetics
Menispermum dauricum DC (the moonseed family Menispermaceae) was used to treat various diseases, such as inflammatory diso...
Medicinal Chemistry Research
comment
0
thumb_up
0
Design, synthesis and evaluation of sesamol-derived acetamides as dual inhibitors of monoamine oxidases and cholinesterases
A set of sesamol-derived acetamides was designed, synthesized, and evaluated against monoamine oxidases (MAO-A and MAO-B) ...
Medicinal Chemistry Research
comment
0
thumb_up
0
Synthesis and evaluation of 2-methylbenzothiazole derivatives as monoamine oxidase inhibitors
Neurodegenerative disorders are caused by the progressive death of neuronal cells in specific regions of the brain and spi...
Medicinal Chemistry Research
comment
0
thumb_up
0
Load More
Modal title
×
Modal title
×
Share
Login
Global News and Health Forum
Join Now!
Member Login
Remember me
Forgot password?
Or using
Linkedin