×
Close
Sign Up
Login
Home
SCI Abstract
Library D
Events & Partner
WeMed
MDLA Events Platform
Events
Media Partners
Educational Partner
User Tools
FAQ/USER GUIDE
Language
English
中文/ Chinese
French
Português
Español
Arabic
Russian
Contact Us
×
Close
mdla_1
mdla_2
mdla_3
mdla_4
mdla_5
mdla_6
Categories
Cardiac & Cardiovascular Systems
31125
Global Medical University
5141
Allergy
1792
Anatomy & Morphology
1584
Andrology
379
Anesthesia & Intensive Care
1300
Anesthesiology
5399
Audiology & Speech-Language Pathology
347
Behavioral Sciences
105
Biochemical Research Methods
7243
Biochemistry & Molecular Biology
30077
Biodiversity Conservation
330
Biology
8515
Biophysics
8292
Biotechnology & Applied Microbiology
8662
Cardiovascular & Respiratory Systems
1413
Cell & Tissue Engineering
704
Cell Biology
11182
Chemistry, Analytical
4301
Chemistry, Applied
10948
Chemistry, Medicinal
8755
Chemistry, Multidisciplinary
18521
Clinical Immunology & Infectious Disease
423
Clinical Medicine
8962
Clinical Neurology
16636
Clinical Psychology & Psychiatry
1294
Critical Care Medicine
3163
Dentistry, Oral Surgery & Medicine
13544
Dermatology
7485
Developmental Biology
6954
Ecology
633
Education, Scientific Disciplines
2050
Emergency Medicine
4117
Endocrinology, Metabolism & Nutrition
24622
Engineering, Biomedical
3729
Entomology
489
Environmental Medicine & Public Health
4669
Evolutionary Biology
276
Gastroenterology & Hepatology
12236
General & Internal Medicine
7013
Genetics & Heredity
15196
Geriatrics & Gerontology
5075
Gerontology
382
Health Care Sciences & Services
16165
Health Policy & Services
604
Hematology
5578
Immunology
24850
Infectious Diseases
14017
Integrative & Complementary Medicine
2943
Medical Ethics
1239
Medical Informatics
2232
Medical Laboratory Technology
419
Medicine, General & Internal
44379
Medicine, Legal
532
Medicine, Research & Experimental
17792
Microbiology
23387
Mycology
0
Nanoscience & Nanotechnology
5368
Neuroimaging
1365
Neurology
4562
Neurosciences
39861
Nursing
9787
Nutrition & Dietetics
7849
Obstetrics & Gynecology
8277
Oncology
52486
Ophthalmology
9749
Optics
4279
Orthopedics
11803
Orthopedics, Rehabilitation & Sports Medicine
1828
Otolaryngology
1583
Otorhinolaryngology
4894
Parasitology
1167
Pathology
5148
Pediatrics
21618
Peripheral Vascular Disease
4767
Pharmacology & Pharmacy
35500
Pharmacology/Toxicology
12212
Physiology
8922
Polymer Science
542
Primary Health Care
837
Psychiatry
19132
Psychology
5240
Psychology, Applied
111
Psychology, Biological
390
Psychology, Clinical
811
Psychology, Developmental
273
Psychology, Educational
164
Psychology, Experimental
171
Psychology, Mathematical
0
Psychology, Multidisciplinary
1694
Psychology, Psychoanalysis
30
Psychology, Social
131
Public Health & Health Care Science
2225
Public, Environmental & Occupational Health
27291
Quantum Science & Technology
0
Radiology, Nuclear Medicine & Imaging
12500
Radiology, Nuclear Medicine & Medical Imaging
8264
Rehabilitation
3074
Remote Sensing
0
Reproductive Biology
2872
Reproductive Medicine
1212
Research/Laboratory Medicine & Medical Technology
4029
Respiratory System
7421
Rheumatology
6029
Social Sciences, Biomedical
1178
Substance Abuse
2771
Surgery
33928
Toxicology
4445
Transplantation
938
Tropical Medicine
300
Urology & Nephrology
12890
Veterinary Sciences
35
Virology
2551
Zoology
0
Channels
RESPIRATORY RESEARCH
696
CardioVascular and Interventional Radiology
721
Indian Journal of Cardiovascular Disease in Women
55
Cardiology
2
Archives of Disease in Childhood Fetal & Neonata
20
Heart current Issue
446
Medrxiv - Cardiovascular Medicine Medrxiv
1229
AMERICAN HEART JOURNAL
587
ATHEROSCLEROSIS
753
BASIC RESEARCH IN CARDIOLOGY
178
CARDIOVASCULAR DRUGS AND THERAPY
430
CIRCULATION
839
CIRCULATION-ARRHYTHMIA AND ELECTROPHYSIOLOGY
187
CIRCULATION-CARDIOVASCULAR IMAGING
234
CIRCULATION-CARDIOVASCULAR INTERVENTIONS
231
CIRCULATION-CARDIOVASCULAR QUALITY AND OUTCOMES
260
CIRCULATION-HEART FAILURE
261
CLINICAL RESEARCH IN CARDIOLOGY
536
CURRENT PROBLEMS IN CARDIOLOGY
972
ESC HEART FAILURE
329
EUROPEAN HEART JOURNAL-ACUTE CARDIOVASCULAR CARE
20
EUROPEAN JOURNAL OF PREVENTIVE CARDIOLOGY
28
GLOBAL HEART
147
HEART
497
HYPERTENSION
273
INTERNATIONAL JOURNAL OF CARDIOLOGY
1201
JAMA CARDIOLOGY
17
JOURNAL OF CARDIAC FAILURE
31
JOURNAL OF THE AMERICAN HEART ASSOCIATION
1612
JOURNAL OF THE AMERICAN SOCIETY OF ECHOCARDIOGRAPHY
663
NATURE REVIEWS CARDIOLOGY
411
PROGRESS IN CARDIOVASCULAR DISEASES
0
STROKE
907
TRENDS IN CARDIOVASCULAR MEDICINE
0
ANNALS OF CARDIOTHORACIC SURGERY
174
ANNALS OF NONINVASIVE ELECTROCARDIOLOGY
67
ANNALS OF THORACIC MEDICINE
10
BMC CARDIOVASCULAR DISORDERS
1159
CARDIOLOGY
150
CARDIOLOGY CLINICS
83
CARDIOLOGY IN REVIEW
12
CARDIORENAL MEDICINE
53
CARDIOVASCULAR DIAGNOSIS AND THERAPY
83
CATHETERIZATION AND CARDIOVASCULAR INTERVENTIONS
319
CLINICAL CARDIOLOGY
122
CONGENITAL HEART DISEASE
19
CURRENT OPINION IN CARDIOLOGY
60
ECHOCARDIOGRAPHY-A JOURNAL OF CARDIOVASCULAR ULTRASOUND AND ALLIED TECHNIQUES
167
FRONTIERS IN CARDIOVASCULAR MEDICINE
6373
HEART LUNG AND CIRCULATION
0
JOURNAL OF CARDIAC SURGERY
476
JOURNAL OF CARDIOPULMONARY REHABILITATION AND PREVENTION
73
JOURNAL OF CARDIOVASCULAR ELECTROPHYSIOLOGY
275
JOURNAL OF CARDIOVASCULAR MEDICINE
211
JOURNAL OF ELECTROCARDIOLOGY
404
JOURNAL OF INTERVENTIONAL CARDIAC ELECTROPHYSIOLOGY
845
REVIEWS IN CARDIOVASCULAR MEDICINE
16
HEART FAILURE CLINICS
59
JOURNAL OF GERIATRIC CARDIOLOGY
278
SEMINARS IN THORACIC AND CARDIOVASCULAR SURGERY
39
WORLD JOURNAL FOR PEDIATRIC AND CONGENITAL HEART SURGERY
88
ANNALS OF PEDIATRIC CARDIOLOGY
100
ARCHIVES OF CARDIOVASCULAR DISEASES SUPPLEMENTS
137
CARDIOGENETICS
41
CARDIOLOGY AND THERAPY
154
CARDIOVASCULAR ENDOCRINOLOGY & METABOLISM
58
CARDIOVASCULAR INNOVATIONS AND APPLICATIONS
154
CARDIOVASCULAR INTERVENTION AND THERAPEUTICS
268
CLINICAL MEDICINE INSIGHTS-CARDIOLOGY
11
COR ET VASA
185
CURRENT CARDIOLOGY REVIEWS
18
CURRENT CARDIOVASCULAR RISK REPORTS
90
EGYPTIAN HEART JOURNAL
252
EUROPEAN CARDIOLOGY REVIEW
8
HEART VIEWS
134
IRANIAN HEART JOURNAL
165
JOURNAL OF CARDIOVASCULAR ECHOGRAPHY
92
JOURNAL OF ECHOCARDIOGRAPHY
174
JOURNAL OF THE PRACTICE OF CARDIOVASCULAR SCIENCES
87
JRSM CARDIOVASCULAR DISEASE
20
RATIONAL PHARMACOTHERAPY IN CARDIOLOGY
19
RESEARCH IN CARDIOVASCULAR MEDICINE
52
PAKISTAN HEART JOURNAL
0
CURRENT CARDIOLOGY REPORTS
514
HEART AND VESSELS
535
INTERNATIONAL JOURNAL OF CARDIOVASCULAR IMAGING
743
JOURNAL OF THROMBOSIS AND THROMBOLYSIS
435
NETHERLANDS HEART JOURNAL
292
SCI Abstract
search
ALL
RECOMMENDED
+
Trends in influenza- and pneumonia-related mortality in lung cancer patients from 1999 to 2022: a retrospective CDC WONDER analysis
Lung cancer is the most frequent cause of cancer-related deaths in the United States and worldwide. Infectious diseases su...
Respiratory Research
comment
0
thumb_up
0
The impact of the COVID-19 pandemic on the research productivity of K-awardees
The COVID-19 pandemic disrupted many aspects of academic research, particularly for early career investigators striving fo...
Respiratory Research
comment
0
thumb_up
0
Peripheral blood miRNAs are associated with airflow below threshold in children with asthma
MicroRNAs (miRNAs) are crucial post-transcriptional regulators involved in inflammatory diseases, such as asthma. Poor lun...
Respiratory Research
comment
0
thumb_up
0
Single, double, and triple-hit strategies to establish a long-term premature rabbit model of bronchopulmonary dysplasia
Bronchopulmonary dysplasia (BPD) is a chronic lung condition of premature neonates, yet without an established pharmacolog...
Respiratory Research
comment
0
thumb_up
0
Comparative analysis of ambient, in-home, and personal exposures reveals associations between breathing zone pollutant levels and asthma exacerbations in high-risk children
Air pollution is associated with poor asthma outcomes in children. However, most studies focus on ambient or indoor monito...
Respiratory Research
comment
0
thumb_up
0
Differences between women and men in prolonged weaning
In recent years, the importance of sex as a factor influencing medical care has received increasing attention in the field...
Respiratory Research
comment
0
thumb_up
0
Tezepelumab for severe asthma: elevating current practice to recognize epithelial driven profiles
An increasing amount of evidence supports the relevance of epithelium across the wide spectrum of asthma pathobiology. On ...
Respiratory Research
comment
0
thumb_up
0
Exploring the diagnostic and immune infiltration roles of disulfidptosis related genes in pulmonary hypertension
Pulmonary hypertension (PH) is marked by elevated pulmonary artery pressures due to various causes, impacting right heart ...
Respiratory Research
comment
0
thumb_up
0
Transmission electron microscopy of transbronchial lung cryobiopsy samples in a cohort of fibrotic interstitial lung disease patients – feasibility and implications of endothelial alterations
We evaluated the utility of transmission electron microscopy (TEM) in transbronchial lung cryobiopsy (TBLC) samples from 1...
Respiratory Research
comment
0
thumb_up
0
Treatment patterns and patient journey in progressive pulmonary fibrosis: a cross-sectional survey
For patients with interstitial lung diseases (ILDs) presenting with a progressive pulmonary fibrosis (PPF) phenotype, curr...
Respiratory Research
comment
0
thumb_up
0
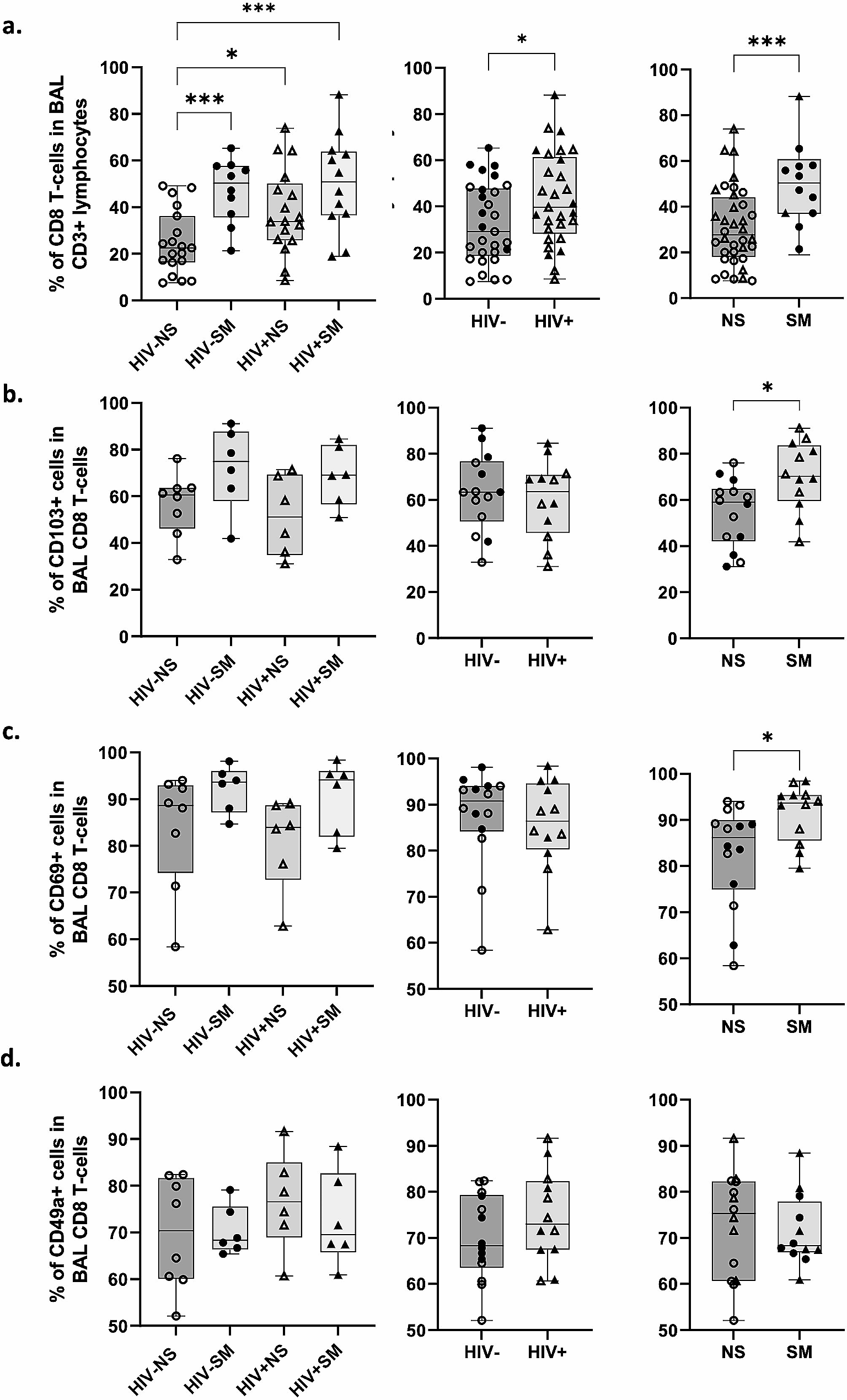
Dynamics of pulmonary mucosal cytotoxic CD8 T-cells in people living with HIV under suppressive antiretroviral therapy
Despite the success of antiretroviral therapy (ART), people living with HIV (PLWH) suffer from a high burden of pulmonary ...
Respiratory Research
comment
0
thumb_up
0
Clinical, radiological and histopathological features of patients with familial pulmonary fibrosis
In familial pulmonary fibrosis (FPF) at least two biological relatives are affected. Patients with FPF have diverse clinic...
Respiratory Research
comment
0
thumb_up
0
IPF-related new macrophage subpopulations and diagnostic biomarker identification - combine machine learning with single-cell analysis
Idiopathic pulmonary fibrosis (IPF) is a chronic disease of unknown etiology that lacks a specific treatment. In IPF, macr...
Respiratory Research
comment
0
thumb_up
0
Outcomes of different pulmonary rehabilitation protocols in patients under mechanical ventilation with difficult weaning: a retrospective cohort study
The endeavor of liberating patients from ventilator dependence within respiratory care centers (RCCs) poses considerable c...
Respiratory Research
comment
0
thumb_up
0
Trigonelline hydrochloride attenuates silica-induced pulmonary fibrosis by orchestrating fibroblast to myofibroblast differentiation
Silicosis represents a paramount occupational health hazard globally, with its incidence, morbidity, and mortality on an u...
Respiratory Research
comment
0
thumb_up
0
Airway disease decreases the therapeutic potential of epithelial stem cells
Tissue-engineered tracheal grafts (TETG) can be recellularized by the host or pre-seeded with host-derived cells. However,...
Respiratory Research
comment
0
thumb_up
0
Hemoadsorption in acute respiratory distress syndrome patients requiring venovenous extracorporeal membrane oxygenation: a systematic review
Venovenous extracorporeal membrane oxygenation (VV ECMO) has been widely used for severe acute respiratory distress syndro...
Respiratory Research
comment
0
thumb_up
0
Signaling pathways and potential therapeutic targets in acute respiratory distress syndrome (ARDS)
Acute respiratory distress syndrome (ARDS) is a common condition associated with critically ill patients, characterized by...
Respiratory Research
comment
0
thumb_up
0
Microbes little helpers and suppliers for therapeutic asthma approaches
Bronchial asthma is a prevalent and increasingly chronic inflammatory lung disease affecting over 300 million people globa...
Respiratory Research
comment
0
thumb_up
0
Identification of kynurenine and quinolinic acid as promising serum biomarkers for drug-induced interstitial lung diseases
Drug-induced interstitial lung disease (DILD) is a lung injury caused by various types of drugs and is a serious problem i...
Respiratory Research
comment
0
thumb_up
0
An epithelial gene signature of trans-IL-6 signaling defines a subgroup of type 2-low asthma
Asthma is stratified into type 2-high and type 2-low inflammatory phenotypes. Limited success has been achieved in develop...
Respiratory Research
comment
0
thumb_up
0
Clinical impact of pre-existing acute exacerbation in patients with interstitial lung disease who underwent lung transplantation
Acute exacerbation of interstitial lung disease (AE-ILD) significantly impacts prognosis, leading to high mortality rates....
Respiratory Research
comment
0
thumb_up
0
Characterization and inhibition of inflammasome responses in severe and non-severe asthma
Increased airway NLRP3 inflammasome-mediated IL-1β responses may underpin severe neutrophilic asthma. However, whethe...
Respiratory Research
comment
0
thumb_up
0
Ambient atmospheric PM worsens mouse lung injury induced by influenza A virus through lysosomal dysfunction
Particulate matter (PM) air pollution poses a significant risk to respiratory health and is especially linked with various...
Respiratory Research
comment
0
thumb_up
0
PTK2-associated gene signature could predict the prognosis of IPF
Idiopathic pulmonary fibrosis (IPF) is a progressive and fatal lung disease with a poor prognosis. Current/available clini...
Respiratory Research
comment
0
thumb_up
0
Lower myostatin and higher MUC1 levels are associated with better response to mepolizumab and omalizumab in asthma: a protein–protein interaction analyses
Biomarkers are needed to inform the choice of biologic therapy in patients with asthma given the increasing number of biol...
Respiratory Research
comment
0
thumb_up
0
Prediction of the number of asthma patients using environmental factors based on deep learning algorithms
Air pollution, weather, pollen, and influenza are typical aggravating factors for asthma. Previous studies have identified...
Respiratory Research
comment
0
thumb_up
0
CSE triggers ferroptosis via SIRT4-mediated GNPAT deacetylation in the pathogenesis of COPD
It is now understood that ferroptosis plays a significant role in the progression of chronic obstructive pulmonary disease...
Respiratory Research
comment
0
thumb_up
0
In vitro co-culture studies and the crucial role of fibroblast-immune cell crosstalk in IPF pathogenesis
IPF is a fatal lung disease characterized by intensive remodeling of lung tissue leading to respiratory failure. The remod...
Respiratory Research
comment
0
thumb_up
0
METTL3-mediated m6A RNA methylation induces the differentiation of lung resident mesenchymal stem cells into myofibroblasts via the miR-21/PTEN pathway
The accumulation of myofibroblasts is the key pathological feature of pulmonary fibrosis (PF). Aberrant differentiation of...
Respiratory Research
comment
0
thumb_up
0
Load More
Modal title
×
Modal title
×
Share
Login
Global News and Health Forum
Join Now!
Member Login
Remember me
Forgot password?
Or using
Linkedin