×
Close
Sign Up
Login
Home
SCI Abstract
Library D
Events & Partner
WeMed
MDLA Events Platform
Events
Media Partners
Educational Partner
User Tools
FAQ/USER GUIDE
Language
English
中文/ Chinese
French
Português
Español
Arabic
Russian
Contact Us
×
Close
mdla_1
mdla_2
mdla_3
mdla_4
mdla_5
mdla_6
Categories
Biotechnology & Applied Microbiology
8662
Global Medical University
5141
Allergy
1792
Anatomy & Morphology
1584
Andrology
379
Anesthesia & Intensive Care
1300
Anesthesiology
5399
Audiology & Speech-Language Pathology
347
Behavioral Sciences
105
Biochemical Research Methods
7243
Biochemistry & Molecular Biology
30077
Biodiversity Conservation
330
Biology
8515
Biophysics
8292
Cardiac & Cardiovascular Systems
31125
Cardiovascular & Respiratory Systems
1413
Cell & Tissue Engineering
704
Cell Biology
11182
Chemistry, Analytical
4301
Chemistry, Applied
10948
Chemistry, Medicinal
8755
Chemistry, Multidisciplinary
18521
Clinical Immunology & Infectious Disease
423
Clinical Medicine
8962
Clinical Neurology
16636
Clinical Psychology & Psychiatry
1294
Critical Care Medicine
3163
Dentistry, Oral Surgery & Medicine
13544
Dermatology
7485
Developmental Biology
6954
Ecology
633
Education, Scientific Disciplines
2050
Emergency Medicine
4117
Endocrinology, Metabolism & Nutrition
24622
Engineering, Biomedical
3729
Entomology
489
Environmental Medicine & Public Health
4669
Evolutionary Biology
276
Gastroenterology & Hepatology
12236
General & Internal Medicine
7013
Genetics & Heredity
15196
Geriatrics & Gerontology
5075
Gerontology
382
Health Care Sciences & Services
16165
Health Policy & Services
604
Hematology
5578
Immunology
24850
Infectious Diseases
14017
Integrative & Complementary Medicine
2943
Medical Ethics
1239
Medical Informatics
2232
Medical Laboratory Technology
419
Medicine, General & Internal
44379
Medicine, Legal
532
Medicine, Research & Experimental
17792
Microbiology
23387
Mycology
0
Nanoscience & Nanotechnology
5388
Neuroimaging
1365
Neurology
4562
Neurosciences
39861
Nursing
9787
Nutrition & Dietetics
7849
Obstetrics & Gynecology
8277
Oncology
52506
Ophthalmology
9749
Optics
4279
Orthopedics
11803
Orthopedics, Rehabilitation & Sports Medicine
1828
Otolaryngology
1583
Otorhinolaryngology
4894
Parasitology
1167
Pathology
5148
Pediatrics
21618
Peripheral Vascular Disease
4767
Pharmacology & Pharmacy
35500
Pharmacology/Toxicology
12212
Physiology
8922
Polymer Science
542
Primary Health Care
837
Psychiatry
19132
Psychology
5240
Psychology, Applied
111
Psychology, Biological
390
Psychology, Clinical
811
Psychology, Developmental
273
Psychology, Educational
164
Psychology, Experimental
171
Psychology, Mathematical
0
Psychology, Multidisciplinary
1694
Psychology, Psychoanalysis
30
Psychology, Social
131
Public Health & Health Care Science
2225
Public, Environmental & Occupational Health
27291
Quantum Science & Technology
0
Radiology, Nuclear Medicine & Imaging
12500
Radiology, Nuclear Medicine & Medical Imaging
8264
Rehabilitation
3074
Remote Sensing
0
Reproductive Biology
2872
Reproductive Medicine
1212
Research/Laboratory Medicine & Medical Technology
4029
Respiratory System
7421
Rheumatology
6029
Social Sciences, Biomedical
1178
Substance Abuse
2771
Surgery
33948
Toxicology
4445
Transplantation
938
Tropical Medicine
300
Urology & Nephrology
12890
Veterinary Sciences
35
Virology
2551
Zoology
0
Channels
FOLIA MICROBIOLOGICA
278
APPLIED MICROBIOLOGY AND BIOTECHNOLOGY
1261
BIOTECHNOLOGY ADVANCES
471
CURRENT OPINION IN MICROBIOLOGY
341
ENZYME AND MICROBIAL TECHNOLOGY
452
GENOME BIOLOGY
673
GENOMICS
692
JOURNAL OF BIOTECHNOLOGY
465
NATURE BIOTECHNOLOGY
840
AMB EXPRESS
399
BIOTECHNOLOGY AND APPLIED BIOCHEMISTRY
215
CYTOTECHNOLOGY
217
ELECTRONIC JOURNAL OF BIOTECHNOLOGY
177
GENOME
102
INTERNATIONAL JOURNAL OF BIOLOGICAL MARKERS
26
IRANIAN JOURNAL OF BIOTECHNOLOGY
115
JOURNAL OF APPLIED MICROBIOLOGY
414
JOURNAL OF BIOLOGICAL ENGINEERING
136
JOURNAL OF FOOD SAFETY
51
JOURNAL OF GENE MEDICINE
57
JOURNAL OF GENERAL VIROLOGY
409
LETTERS IN APPLIED MICROBIOLOGY
157
JOURNAL OF VIROLOGICAL METHODS
514
BIOSCIENCE BIOTECHNOLOGY RESEARCH COMMUNICATIONS
200
SCI Abstract
search
ALL
RECOMMENDED
+
Immobilization and characterization of the mycelia-embedded polylysine-alginate beads and their decolorization performance
Liquid fermented fungal mycelia with decolorization capability have potential applications in scale-up. In this work, the ...
Folia Microbiologica
comment
0
thumb_up
0
Different no-till grain production systems with spp. affect soil microbial community structure, biomass and activity in a tropical Ultisol
Tropical soils are prone to degradation. Adoption of conservation agricultural practices is essential to improve soil heal...
Folia Microbiologica
comment
0
thumb_up
0
Improving lipid production by for renewable fuel production based on machine learning
Microbial lipid fermentation encompasses intricate complex cell growth processes and heavily relies on expert experience f...
Folia Microbiologica
comment
0
thumb_up
0
Revisiting soil fungal biomarkers and conversion factors: Interspecific variability in phospholipid fatty acids, ergosterol and rDNA copy numbers
The abundances of fungi and bacteria in soil are used as simple predictors for carbon dynamics, and represent widely avail...
Folia Microbiologica
comment
0
thumb_up
0
Notes, outline, taxonomy and phylogeny of brown-spored hyphomycetes
Hyphomycetes are asexually reproducing parts in a fungal life cycle, and is an artificial classification. Hyphomycetes are...
Folia Microbiologica
comment
0
thumb_up
0
Anti-Candida activity and biocompatibility of silver nanoparticles associated with denture glaze: a new approach to the management of denture stomatitis
The association of silver nanoparticles (AgNps) to sealant agent Palaseal® can be a promising alternative for complet...
Folia Microbiologica
comment
0
thumb_up
0
The use of Bacillus subtilis as a cost-effective expression system for production of Cholera Toxin B fused factor VIII epitope regions applicable for inducing oral immune tolerance
Coagulation factor replacement therapy for the X-linked bleeding disorder Haemophilia, characterized by a deficiency of co...
Folia Microbiologica
comment
0
thumb_up
0
Microbial consortium with multifunctional attributes for the plant growth of eggplant (Solanum melongena L.)
In the past few decades, the pressure of higher food production to satisfy the demand of ever rising population has inevit...
Folia Microbiologica
comment
0
thumb_up
0
Synovial fluid alpha-defensins in Lyme arthritis—a useful marker
Lyme arthritis, one of the possible late manifestations of Lyme borreliosis, predominantly affects the supporting joints a...
Folia Microbiologica
comment
0
thumb_up
0
Immunobiological effects of lipopolysaccharide derived from Helicobacter pylori and influence of a proton pump inhibitor lansoprazole on human polymorphonuclear leukocytes
Helicobacter pylori colonizes the human gastric mucosa of more than half of the human population and has a unique lipopoly...
Folia Microbiologica
comment
0
thumb_up
0
Influence of a nanoscale coating on plucking fingers and stainless steel on attachment and detachment of Salmonella Enteritidis, Escherichia coli and Campylobacter jejuni
Gastroenteritis caused by Campylobacter represents the most common reported foodborne bacterial illness worldwide, followe...
Folia Microbiologica
comment
0
thumb_up
0
Gut microbiota composition in recurrent acute otitis media: a cross-sectional observational study
Recurrent acute otitis media (rAOM) poses a significant challenge in children aged 1 to 6 years, characterized by frequent...
Folia Microbiologica
comment
0
thumb_up
0
Construction of Pseudomonas aeruginosa SDK-6 with synthetic lipase gene cassette and optimization of different parameters using response surface methodology for over-expression of recombinant lipase
Lipases are industrially important enzymes having vast applications in various fields. Cloning and expression of lipase en...
Folia Microbiologica
comment
0
thumb_up
0
Unveiling the microbial diversity of biofilms on titanium surfaces in full-scale water-cooling plants using metagenomics approach
Microbial colonization on the titanium condenser material (TCM) used in the cooling system leads to biofouling and corrosi...
Folia Microbiologica
comment
0
thumb_up
0
Biochemical characterization of a novel β-galactosidase from Pedobacter sp. with strong transglycosylation activity at low lactose concentration
A novel β-galactosidase gene (PbBgal35A) from Pedobacter sp. CAUYN2 was cloned and expressed in Escherichia coli. The...
Folia Microbiologica
comment
0
thumb_up
0
Antifungal and antibiofilm effect of duloxetine hydrochloride against Cryptococcus neoformans and Cryptococcus gattii
Cryptococcosis is an invasive mycosis caused mainly by Cryptococcus gattii and C. neoformans and is treated with amphoteri...
Folia Microbiologica
comment
0
thumb_up
0
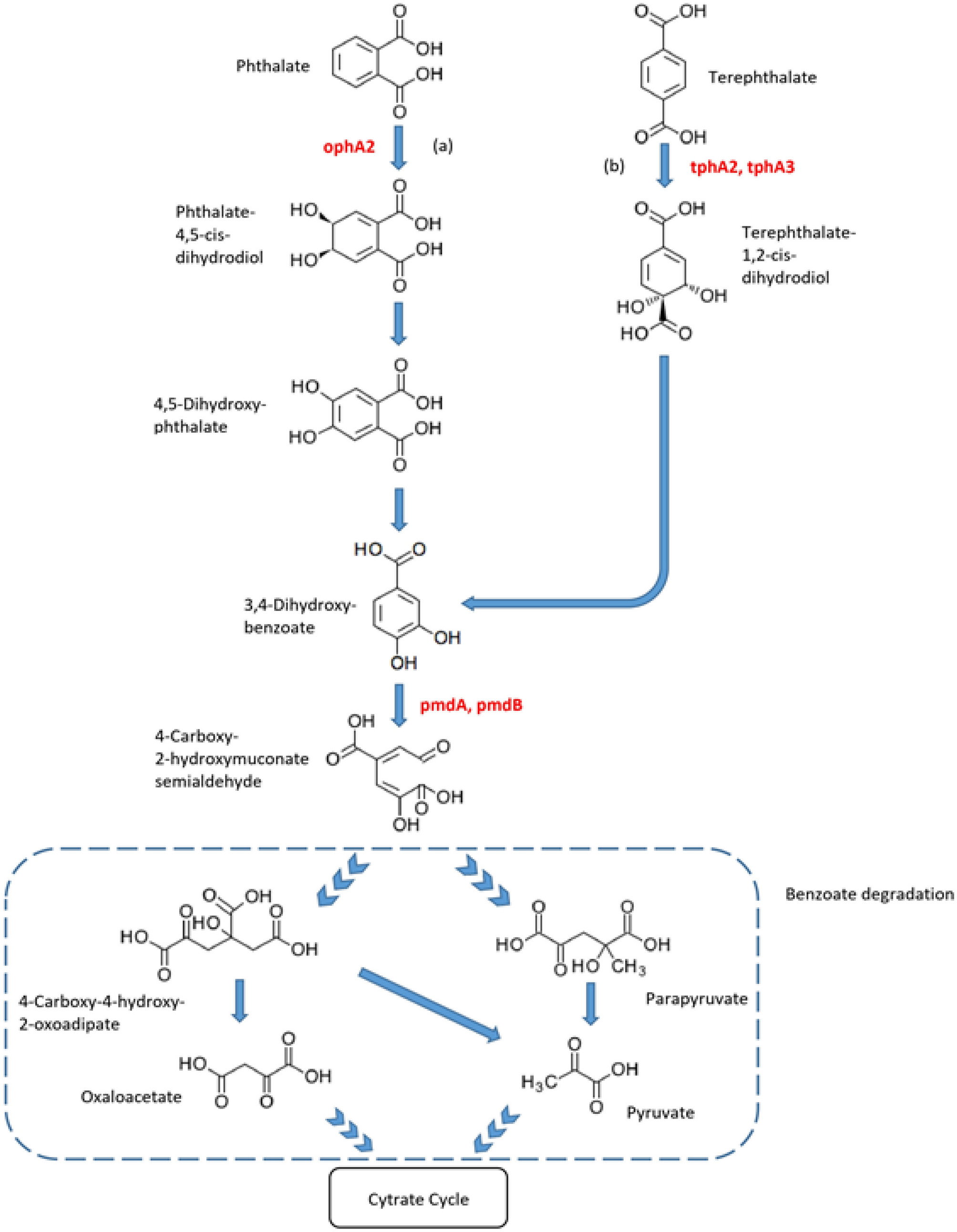
Biodegradation of phthalic acid and terephthalic acid by Comamonas testosteroni strains
Phthalic acid isomers are the monomers of phthalate molecules, also known as phthalic acid esters, widely employed in the ...
Folia Microbiologica
comment
0
thumb_up
0
Rhizobacterial community and growth-promotion trait characteristics of Zea mays L. inoculated with Pseudomonas fluorescens UM270 in three different soils
There is an increasing demand for bioinoculants based on plant growth-promoting rhizobacteria (PGPR) for use in agricultur...
Folia Microbiologica
comment
0
thumb_up
0
Diversity and antimicrobial susceptibility patterns of clinical and environmental Salmonella enterica serovars in Western Saudi Arabia
The diverse environmental distribution of Salmonella makes it a global source of human gastrointestinal infections. This s...
Folia Microbiologica
comment
0
thumb_up
0
Evaluation of mango residues to produce hyaluronic acid by Streptococcus zooepidemicus
Mango processing generates significant amounts of residues (35–65%) that may represent environmental problems owed t...
Folia Microbiologica
comment
0
thumb_up
0
Evaluation of probiotic bifidobacteria strains from Iranian traditional dairy products for their anti-hyperlipidemic potential
This study investigated the therapeutic potential of probiotic bifidobacteria, isolated from Iranian fermented dairy produ...
Folia Microbiologica
comment
0
thumb_up
0
The phosphate-solubilising fungi in sustainable agriculture: unleashing the potential of fungal biofertilisers for plant growth
Phosphate-solubilising fungi (PSF) are beneficial microorganisms that play a pivotal role in plant growth by increasing th...
Folia Microbiologica
comment
0
thumb_up
0
Two novel bacteriophages isolated from the environment that can help control activated sludge foaming
Nocardia spp., which belongs to one of the Nocardio-form filamentous bacteria, is usually surface hydrophobic and when ove...
Folia Microbiologica
comment
0
thumb_up
0
Comparative analyses of gut microbiota reveal ammonia detoxification and nitrogen assimilation in Cyprinus carpio var. specularis
The complex niche of fish gut is often characterized by the associated microorganisms that have implications in fish gut-h...
Folia Microbiologica
comment
0
thumb_up
0
Characterization of virulence factors and antimicrobial resistance in Staphylococcus spp. isolated from clinical samples
The virulence factors, antibiotic resistance patterns, and the associated genetic elements have been investigated in Staph...
Folia Microbiologica
comment
0
thumb_up
0
Electrochemical biosensors for pathogenic microorganisms detection based on recognition elements
The worldwide spread of pathogenic microorganisms poses a significant risk to human health. Electrochemical biosensors hav...
Folia Microbiologica
comment
0
thumb_up
0
Halophilic lactic acid bacteria — Play a vital role in the fermented food industry
Halophilic lactic acid bacteria have been widely found in various high-salt fermented foods. The distribution of these spe...
Folia Microbiologica
comment
0
thumb_up
0
Identification of safe putative probiotics from various food products
The objective of this study was to isolate, identify, and assess the safety and functionality in vitro of putative probiot...
Folia Microbiologica
comment
0
thumb_up
0
Lactic acid bacteria as an eco-friendly approach in plant production: Current state and prospects
Since the late nineteenth century, the agricultural sector has experienced a tremendous increase in chemical use in respon...
Folia Microbiologica
comment
0
thumb_up
0
Characterization and technological functions of different lactic acid bacteria from traditionally produced Kırklareli white brined cheese during the ripening period
In the present study, the evolution of the physicochemical and microbiological characteristics of lactic acid bacteria (LA...
Folia Microbiologica
comment
0
thumb_up
0
Load More
Modal title
×
Modal title
×
Share
Login
Global News and Health Forum
Join Now!
Member Login
Remember me
Forgot password?
Or using
Linkedin