×
Close
Sign Up
Login
Home
SCI Abstract
Library D
Events & Partner
WeMed
MDLA Events Platform
Events
Media Partners
Educational Partner
User Tools
FAQ/USER GUIDE
Language
English
中文/ Chinese
French
Português
Español
Arabic
Russian
Contact Us
×
Close
mdla_1
mdla_2
mdla_3
mdla_4
mdla_5
mdla_6
Categories
Public, Environmental & Occupational Health
27292
Global Medical University
5141
Allergy
1792
Anatomy & Morphology
1584
Andrology
379
Anesthesia & Intensive Care
1300
Anesthesiology
5399
Audiology & Speech-Language Pathology
347
Behavioral Sciences
105
Biochemical Research Methods
7248
Biochemistry & Molecular Biology
30077
Biodiversity Conservation
330
Biology
8515
Biophysics
8297
Biotechnology & Applied Microbiology
8663
Cardiac & Cardiovascular Systems
31125
Cardiovascular & Respiratory Systems
1413
Cell & Tissue Engineering
704
Cell Biology
11182
Chemistry, Analytical
4301
Chemistry, Applied
10962
Chemistry, Medicinal
8755
Chemistry, Multidisciplinary
18521
Clinical Immunology & Infectious Disease
423
Clinical Medicine
8963
Clinical Neurology
16636
Clinical Psychology & Psychiatry
1294
Critical Care Medicine
3163
Dentistry, Oral Surgery & Medicine
13544
Dermatology
7485
Developmental Biology
6954
Ecology
633
Education, Scientific Disciplines
2050
Emergency Medicine
4120
Endocrinology, Metabolism & Nutrition
24626
Engineering, Biomedical
3729
Entomology
489
Environmental Medicine & Public Health
4669
Evolutionary Biology
276
Gastroenterology & Hepatology
12247
General & Internal Medicine
7013
Genetics & Heredity
15197
Geriatrics & Gerontology
5075
Gerontology
382
Health Care Sciences & Services
16168
Health Policy & Services
604
Hematology
5578
Immunology
24852
Infectious Diseases
14018
Integrative & Complementary Medicine
2943
Medical Ethics
1239
Medical Informatics
2232
Medical Laboratory Technology
419
Medicine, General & Internal
44379
Medicine, Legal
532
Medicine, Research & Experimental
17793
Microbiology
23388
Mycology
0
Nanoscience & Nanotechnology
5368
Neuroimaging
1366
Neurology
4562
Neurosciences
39862
Nursing
9787
Nutrition & Dietetics
7849
Obstetrics & Gynecology
8278
Oncology
52499
Ophthalmology
9752
Optics
4279
Orthopedics
11803
Orthopedics, Rehabilitation & Sports Medicine
1828
Otolaryngology
1584
Otorhinolaryngology
4894
Parasitology
1167
Pathology
5149
Pediatrics
21618
Peripheral Vascular Disease
4767
Pharmacology & Pharmacy
35501
Pharmacology/Toxicology
12212
Physiology
8922
Polymer Science
542
Primary Health Care
837
Psychiatry
19134
Psychology
5240
Psychology, Applied
111
Psychology, Biological
390
Psychology, Clinical
811
Psychology, Developmental
273
Psychology, Educational
164
Psychology, Experimental
171
Psychology, Mathematical
0
Psychology, Multidisciplinary
1694
Psychology, Psychoanalysis
30
Psychology, Social
131
Public Health & Health Care Science
2225
Quantum Science & Technology
0
Radiology, Nuclear Medicine & Imaging
12500
Radiology, Nuclear Medicine & Medical Imaging
8264
Rehabilitation
3076
Remote Sensing
0
Reproductive Biology
2872
Reproductive Medicine
1212
Research/Laboratory Medicine & Medical Technology
4029
Respiratory System
7421
Rheumatology
6031
Social Sciences, Biomedical
1178
Substance Abuse
2771
Surgery
33940
Toxicology
4445
Transplantation
938
Tropical Medicine
300
Urology & Nephrology
12873
Veterinary Sciences
35
Virology
2554
Zoology
0
Channels
EUROPEAN JOURNAL OF EPIDEMIOLOGY
313
Journal of Public Health Management & Practice
18
Medrxiv - Public and Global Health
2500
CANCER EPIDEMIOLOGY BIOMARKERS & PREVENTION
157
EPIDEMIOLOGY
303
HEALTH & PLACE
482
JOURNAL OF ADOLESCENT HEALTH
43
JOURNAL OF CLINICAL EPIDEMIOLOGY
28
LANCET GLOBAL HEALTH
1
PREVENTIVE MEDICINE
381
SOCIAL SCIENCE & MEDICINE
0
AMERICAN JOURNAL OF INDUSTRIAL MEDICINE
54
ANNALS OF EPIDEMIOLOGY
463
ARCHIVES OF PUBLIC HEALTH
575
ASIA-PACIFIC JOURNAL OF PUBLIC HEALTH
102
AUSTRALIAN AND NEW ZEALAND JOURNAL OF PUBLIC HEALTH
84
COMMUNITY DENTISTRY AND ORAL EPIDEMIOLOGY
75
FRONTIERS IN PUBLIC HEALTH
7865
GEOHEALTH
53
GLOBAL HEALTH-SCIENCE AND PRACTICE
326
GLOBALIZATION AND HEALTH
299
HEALTH EXPECTATIONS
147
HEALTH POLICY AND PLANNING
7
HEALTH REPORTS
82
INJURY PREVENTION
284
INTERNATIONAL EMERGENCY NURSING
323
INTERNATIONAL JOURNAL OF ENVIRONMENTAL RESEARCH AND PUBLIC HEALTH
5766
INTERNATIONAL JOURNAL OF HEALTH GEOGRAPHICS
91
INTERNATIONAL JOURNAL OF HEALTH POLICY AND MANAGEMENT
321
JOURNAL OF HEALTH POPULATION AND NUTRITION
230
JOURNAL OF MEDICAL SCREENING
28
JOURNAL OF MIDWIFERY & WOMENS HEALTH
82
JOURNAL OF NEUROSCIENCE NURSING
63
JOURNAL OF OCCUPATIONAL AND ENVIRONMENTAL MEDICINE
93
JOURNAL OF OCCUPATIONAL HEALTH
66
JOURNAL OF OCCUPATIONAL MEDICINE AND TOXICOLOGY
93
JOURNAL OF PROFESSIONAL NURSING
418
JOURNAL OF RADIOLOGICAL PROTECTION
267
JOURNAL OF RURAL HEALTH
102
JOURNAL OF SCHOOL HEALTH
83
NOISE & HEALTH
57
PUBLIC HEALTH
0
PUBLIC HEALTH GENOMICS
42
REPRODUCTIVE HEALTH
487
JOURNAL OF PUBLIC HEALTH POLICY
62
MALAWI MEDICAL JOURNAL
134
REVISTA DE SAUDE PUBLICA
0
SCANDINAVIAN JOURNAL OF PUBLIC HEALTH
100
SEXUAL HEALTH
239
WORLD MEDICAL & HEALTH POLICY
60
SPATIAL AND SPATIO-TEMPORAL EPIDEMIOLOGY
167
SAFETY
111
AMERICAN JOURNAL OF LIFESTYLE MEDICINE
49
EMERGING THEMES IN EPIDEMIOLOGY
24
ENVIRONMENTAL HEALTH INSIGHTS
30
EPIDEMIOLOGIA E SERVICOS DE SAUDE
0
GLOBAL HEALTH RESEARCH AND POLICY
150
HEALTH BEHAVIOR AND POLICY REVIEW
92
HEALTH PROMOTION PRACTICE
89
INDIAN JOURNAL OF COMMUNITY HEALTH
353
INDIAN JOURNAL OF COMMUNITY MEDICINE
80
INDIAN JOURNAL OF OCCUPATIONAL AND ENVIRONMENTAL MEDICINE
109
INDIAN JOURNAL OF PUBLIC HEALTH
137
INFECTION DISEASE & HEALTH
2
INTERNATIONAL ARCHIVES OF HEALTH SCIENCES
73
JOURNAL OF FAMILY AND COMMUNITY MEDICINE
30
JOURNAL OF MARINE MEDICAL SOCIETY
20
JOURNAL OF PUBLIC HEALTH IN AFRICA
130
JOURNAL OF PUBLIC HEALTH RESEARCH
152
JOURNAL OF PUBLIC HEALTH-HEIDELBERG
287
JOURNAL OF THE EGYPTIAN PUBLIC HEALTH ASSOCIATION
84
PUBLIC HEALTH RESEARCH & PRACTICE
68
KESMAS-NATIONAL PUBLIC HEALTH JOURNAL
168
MEDIA PENELITIAN DAN PENGEMBANGAN KESEHATAN
52
NEW SOLUTIONS-A JOURNAL OF ENVIRONMENTAL AND OCCUPATIONAL HEALTH POLICY
38
INTERNATIONAL ARCHIVES OF OCCUPATIONAL AND ENVIRONMENTAL HEALTH
326
INTERNATIONAL JOURNAL OF PUBLIC HEALTH
26
JOURNAL OF BEHAVIORAL HEALTH SERVICES & RESEARCH
146
JOURNAL OF CANCER EDUCATION
450
SCI Abstract
search
ALL
RECOMMENDED
+
Maternal fatty acid intake and human embryonic growth: the Rotterdam Periconception Cohort
The required intake of macronutrients by women during the periconceptional period for optimal fetal growth is the subject ...
European Journal Of Epidemiology
comment
0
thumb_up
0
Risk of congenital malformations and miscarriages following maternal use of oral fluconazole during the first trimester of pregnancy: a systematic review and meta-analysis
The risks related to fluconazole use during the first trimester of pregnancy (T1) remain controversial. The aims of this s...
European Journal Of Epidemiology
comment
0
thumb_up
0
Gender issues in myopia: a changing paradigm in generations
Myopia is becoming an important cause of visual impairment. Determining risk profiles will help to develop targeted preven...
European Journal Of Epidemiology
comment
0
thumb_up
0
The Dutch Early-Stage Melanoma (D-ESMEL) study: a discovery set and validation cohort to predict the absolute risk of distant metastases in stage I/II cutaneous melanoma
Early-stage cutaneous melanoma patients generally have a favorable prognosis, yet a significant proportion of metastatic m...
European Journal Of Epidemiology
comment
0
thumb_up
0
Association of mental health in childhood, adolescence and young adulthood with cardiovascular risk factors and carotid remodeling below age 30 - results from the KiGGS cohort study
An association of mental health and in particular depression with cardiovascular disease has been shown in adults and to a...
European Journal Of Epidemiology
comment
0
thumb_up
0
Unidirectional and bidirectional causation between smoking and blood DNA methylation: evidence from twin-based Mendelian randomisation
Cigarette smoking is associated with numerous differentially-methylated genomic loci in multiple human tissues. These asso...
European Journal Of Epidemiology
comment
0
thumb_up
0
Infectious disease hospitalization after receipt of human papillomavirus vaccine: a nationwide register-based cohort study among Danish, Finnish, Norwegian, and Swedish girls
It has been suggested that non-live vaccines may increase susceptibility to non-targeted infections and that such deleteri...
European Journal Of Epidemiology
comment
0
thumb_up
0
The Stockholm early detection of cancer study (STEADY-CAN): rationale, design, data collection, and baseline characteristics for 2.7 million participants
The Stockholm Early Detection of Cancer Study (STEADY-CAN) cohort was established to investigate strategies for early canc...
European Journal Of Epidemiology
comment
0
thumb_up
0
Prevalence and incidence of mastocytosis in adults: a Danish nationwide register study
Mastocytosis is a group of rare heterogeneous diseases with a prevalence previously found to be 10–23 per 100,000 pe...
European Journal Of Epidemiology
comment
0
thumb_up
0
Association between preconception and early pregnancy exposure to fine particulate matter and nervous system anomalies: a nested case-control study
Although several environmental factors may increase the risk of nervous system anomalies, the association between exposure...
European Journal Of Epidemiology
comment
0
thumb_up
0
Prescription drug use in Danish children and adolescents 2005–2023
Continuous monitoring of pediatric drug utilization is important for ensuring rational use and prioritizing research. This...
European Journal Of Epidemiology
comment
0
thumb_up
0
Associations of Global Burden of Diseases study-derived dietary scores with mortality and chronic disease risk: a comprehensive analysis from the prospective NutriNet-Santé study
The Global Burden of Diseases (GBD) network has proposed theoretical minimum risk exposure level (TMREL) for leading risk ...
European Journal Of Epidemiology
comment
0
thumb_up
0
Cohort profile: the provincial opioid agonist treatment cohort in Ontario, Canada
Opioid Agonist Treatment (OAT) is the most effective intervention for opioid use disorder (OUD), but retention has decreas...
European Journal Of Epidemiology
comment
0
thumb_up
0
Use of mortality tables by level of deprivation in the study of social inequalities in cancer survival
Previous studies have reported lower net survival probabilities for socioeconomically deprived patients, using non-depriva...
European Journal Of Epidemiology
comment
0
thumb_up
0
The 1001 nights-cohort – paving the way for future research on working hours, night work, circadian disruption, sleep, and health
Night work and circadian disruption are linked to major public health challenges, e.g. cancer, cardiometabolic disease, an...
European Journal Of Epidemiology
comment
0
thumb_up
0
Cohort profile: The BiCoVac cohort - a nationwide Danish cohort to assess short and long-term symptoms following COVID-19 vaccination
BiCoVac is a population-based Danish cohort aiming to examine whether Coronavirus disease 2019 (COVID-19) vaccines are ass...
European Journal Of Epidemiology
comment
0
thumb_up
0
The underestimated preventive effects of flexible sigmoidoscopy screening: re-analysis and meta-analysis of randomized trials
Flexible sigmoidoscopy (FS), which is less invasive, resource intensive and costly than colonoscopy, is among the recommen...
European Journal Of Epidemiology
comment
0
thumb_up
0
Continued decline in the incidence of myocardial infarction beyond the COVID-19 pandemic: a nationwide study of the Swedish population aged 60 and older during 2015–2022
The number of myocardial infarctions declined during the early COVID-19 pandemic but mechanisms behind these declines are ...
European Journal Of Epidemiology
comment
0
thumb_up
0
A multidisciplinary and structured investigation of three suspected clusters of transverse upper limb reduction defects in France
Introduction: Between 2019–2021, facing public concern, a scientific expert committee (SEC) reanalysed suspected clu...
European Journal Of Epidemiology
comment
0
thumb_up
0
The Chinese keratoconus (CKC) cohort study
The Chinese keratoconus (CKC) cohort study is a population-based longitudinal prospective cohort study in the Chinese popu...
European Journal Of Epidemiology
comment
0
thumb_up
0
Differences in metabolomic profiles between Black and White women in the U.S.: Analyses from two prospective cohorts
There is growing interest in incorporating metabolomics into public health practice. However, Black women are under-repres...
European Journal Of Epidemiology
comment
0
thumb_up
0
Serum neurofilament light chain as a prognostic marker of all-cause mortality in a national sample of US adults
Neurofilament light chain (NfL) is a neuron-specific structural protein released into the extracellular space, including b...
European Journal Of Epidemiology
comment
0
thumb_up
0
Non-linear Mendelian randomization: detection of biases using negative controls with a focus on BMI, Vitamin D and LDL cholesterol
Mendelian randomisation (MR) is an established technique in epidemiological investigation, using the principle of random a...
European Journal Of Epidemiology
comment
0
thumb_up
0
Stress and anxiety during pregnancy and length of gestation: a federated study using data from five Canadian and European birth cohorts
While its etiology is not fully elucidated, preterm birth represents a major public health concern as it is the leading ca...
European Journal Of Epidemiology
comment
0
thumb_up
0
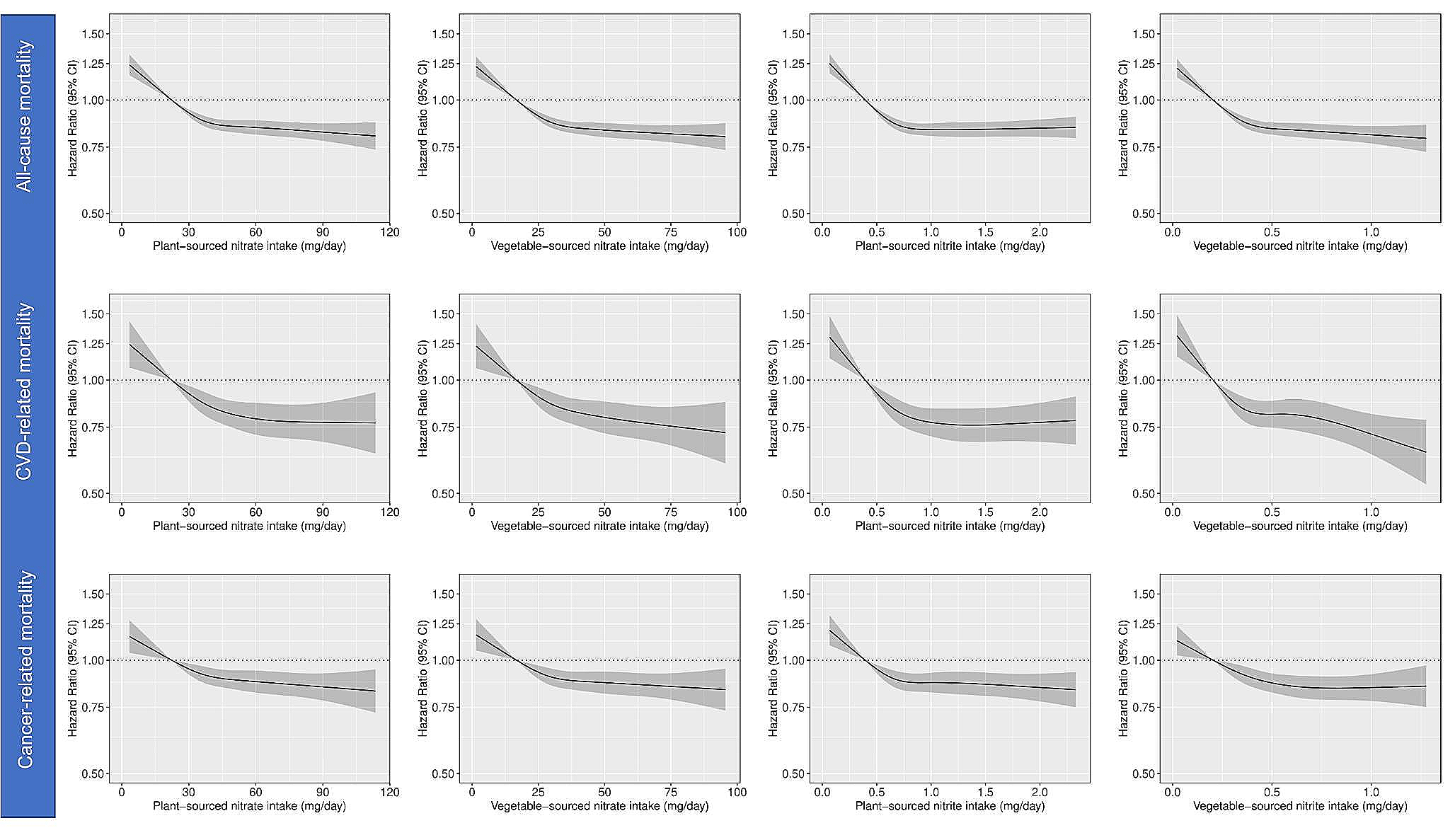
Source-specific nitrate intake and all-cause mortality in the Danish Diet, Cancer, and Health Study
Nitrate and nitrite are naturally occurring in both plant- and animal-sourced foods, are used as additives in the processi...
European Journal Of Epidemiology
comment
0
thumb_up
0
Assessing the validity of a Parkinson’s care evaluation: the PRIME-NL study
The PRIME-NL study prospectively evaluates a new integrated and personalized care model for people with parkinsonism, incl...
European Journal Of Epidemiology
comment
0
thumb_up
0
Use of the instrumental inequalities in simulated mendelian randomization analyses with coarsened exposures
Mendelian randomization (MR) requires strong unverifiable assumptions to estimate causal effects. However, for categorical...
European Journal Of Epidemiology
comment
0
thumb_up
0
Trends in incidence and mortality of early-onset cancer in Germany between 1999 and 2019
Evidence on the recent temporal trend in the incidence and mortality of early-onset cancer, i.e., cancer diagnosed at ages...
European Journal Of Epidemiology
comment
0
thumb_up
0
Familial confounding or measurement error? How to interpret findings from sibling and co-twin control studies
Epidemiological researchers often examine associations between risk factors and health outcomes in non-experimental design...
European Journal Of Epidemiology
comment
0
thumb_up
0
Sex hormone-binding globulin may explain sex differences for glucose homeostasis and incidence of type 2 diabetes: the KORA study
Research has indicated that sex hormone-binding globulin (SHBG) is associated with glucose homeostasis and may play a role...
European Journal Of Epidemiology
comment
0
thumb_up
0
Load More
Modal title
×
Modal title
×
Share
Login
Global News and Health Forum
Join Now!
Member Login
Remember me
Forgot password?
Or using
Linkedin