×
Close
Sign Up
Login
Home
SCI Abstract
Library D
Events & Partner
WeMed
MDLA Events Platform
Events
Media Partners
Educational Partner
User Tools
FAQ/USER GUIDE
Language
English
中文/ Chinese
French
Português
Español
Arabic
Russian
Contact Us
×
Close
mdla_1
mdla_2
mdla_3
mdla_4
mdla_5
mdla_6
Categories
Psychology, Multidisciplinary
1694
Global Medical University
5141
Allergy
1792
Anatomy & Morphology
1584
Andrology
379
Anesthesia & Intensive Care
1300
Anesthesiology
5399
Audiology & Speech-Language Pathology
347
Behavioral Sciences
105
Biochemical Research Methods
7248
Biochemistry & Molecular Biology
30077
Biodiversity Conservation
330
Biology
8515
Biophysics
8297
Biotechnology & Applied Microbiology
8663
Cardiac & Cardiovascular Systems
31125
Cardiovascular & Respiratory Systems
1413
Cell & Tissue Engineering
704
Cell Biology
11182
Chemistry, Analytical
4301
Chemistry, Applied
10962
Chemistry, Medicinal
8755
Chemistry, Multidisciplinary
18521
Clinical Immunology & Infectious Disease
423
Clinical Medicine
8963
Clinical Neurology
16636
Clinical Psychology & Psychiatry
1294
Critical Care Medicine
3163
Dentistry, Oral Surgery & Medicine
13544
Dermatology
7485
Developmental Biology
6954
Ecology
633
Education, Scientific Disciplines
2050
Emergency Medicine
4120
Endocrinology, Metabolism & Nutrition
24626
Engineering, Biomedical
3729
Entomology
489
Environmental Medicine & Public Health
4669
Evolutionary Biology
276
Gastroenterology & Hepatology
12247
General & Internal Medicine
7013
Genetics & Heredity
15197
Geriatrics & Gerontology
5075
Gerontology
382
Health Care Sciences & Services
16168
Health Policy & Services
604
Hematology
5578
Immunology
24852
Infectious Diseases
14018
Integrative & Complementary Medicine
2943
Medical Ethics
1239
Medical Informatics
2232
Medical Laboratory Technology
419
Medicine, General & Internal
44379
Medicine, Legal
532
Medicine, Research & Experimental
17793
Microbiology
23388
Mycology
0
Nanoscience & Nanotechnology
5368
Neuroimaging
1366
Neurology
4562
Neurosciences
39862
Nursing
9787
Nutrition & Dietetics
7849
Obstetrics & Gynecology
8278
Oncology
52499
Ophthalmology
9752
Optics
4279
Orthopedics
11803
Orthopedics, Rehabilitation & Sports Medicine
1828
Otolaryngology
1584
Otorhinolaryngology
4894
Parasitology
1167
Pathology
5149
Pediatrics
21618
Peripheral Vascular Disease
4767
Pharmacology & Pharmacy
35501
Pharmacology/Toxicology
12212
Physiology
8922
Polymer Science
542
Primary Health Care
837
Psychiatry
19134
Psychology
5240
Psychology, Applied
111
Psychology, Biological
390
Psychology, Clinical
811
Psychology, Developmental
273
Psychology, Educational
164
Psychology, Experimental
171
Psychology, Mathematical
0
Psychology, Psychoanalysis
30
Psychology, Social
131
Public Health & Health Care Science
2225
Public, Environmental & Occupational Health
27292
Quantum Science & Technology
0
Radiology, Nuclear Medicine & Imaging
12500
Radiology, Nuclear Medicine & Medical Imaging
8264
Rehabilitation
3076
Remote Sensing
0
Reproductive Biology
2872
Reproductive Medicine
1212
Research/Laboratory Medicine & Medical Technology
4029
Respiratory System
7421
Rheumatology
6031
Social Sciences, Biomedical
1178
Substance Abuse
2771
Surgery
33928
Toxicology
4445
Transplantation
938
Tropical Medicine
300
Urology & Nephrology
12873
Veterinary Sciences
35
Virology
2554
Zoology
0
Channels
BEHAVIOR AND SOCIAL ISSUES
128
RIVISTA INTERNAZIONALE DI FILOSOFIA E PSICOLOGIA
79
ADULTSPAN JOURNAL
5
AMERICAN JOURNAL OF DANCE THERAPY
57
ANALYSIS OF VERBAL BEHAVIOR
73
BEHAVIORAL SCIENCES
437
EUROPES JOURNAL OF PSYCHOLOGY
101
EVOLUTIONARY PSYCHOLOGICAL SCIENCE
113
JOURNAL OF MUSLIM MENTAL HEALTH
2
PRIMENJENA PSIHOLOGIJA
79
PSYCHOLOGICAL STUDIES
192
PSYCHOLOGY LEARNING AND TEACHING-PLAT
20
PSYCHOTHERAPY AND POLITICS INTERNATIONAL
21
REVIEW OF PHILOSOPHY AND PSYCHOLOGY
214
PASTORAL PSYCHOLOGY
173
SCI Abstract
search
ALL
RECOMMENDED
+
Reducing Racial Bias Using a Conflicting Relations Paradigm: A Systematic Replication of Mizael et al. (2016)
Mizael et al. (The Psychological Record 66:451–462, 2016) successfully reduced negative evaluations of Black faces a...
Behavior And Social Issues
comment
0
thumb_up
0
Prevalence of Needle Phobia Treatments for Participants with Neurodevelopmental Disorders
According to the Centers for Disease Control and Prevention, fear of needles affects one in four adults and two in three c...
Behavior And Social Issues
comment
0
thumb_up
0
A Behavioral Systems Approach to a Brazilian Restorative Justice Organization
Restorative justice (RJ) corresponds to a set of actions, programs, and practices to promote a more autonomous conflict re...
Behavior And Social Issues
comment
0
thumb_up
0
Three Recent Books on Social Media Manipulation, Misunderstanding Science, and Caring about Future People: Opportunities for Behavior Analysts
This article reviews three recent books that introduce challenging insights to and suggest critical implications for how b...
Behavior And Social Issues
comment
0
thumb_up
0
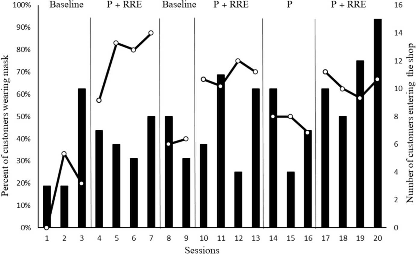
The Effect of Reduced Response Effort and Visual Prompts on Mask-Wearing
Mask-wearing is one of the most common transmission prevention behaviors (TPB) recommended by the Centers for Disease Cont...
Behavior And Social Issues
comment
0
thumb_up
0
Teaching Justice-Involved Adolescents Basic Financial Literacy Skills: A Preliminary Investigation
There are approximately 423,000 adjudicated delinquency cases each year in the United States. Previous research indicates ...
Behavior And Social Issues
comment
0
thumb_up
0
Increasing Independence in Meals Using Say-Do Correspondence Training
Children on the autism spectrum who avoid or refuse certain foods are at an increased risk of developing nutritional defic...
Behavior And Social Issues
comment
0
thumb_up
0
Reinforcement of Majority and Minority Conformity in a Single-Subject Design
Conformity can be understood as an increased probability of imitating the most frequent peer behavior observed within a gr...
Behavior And Social Issues
comment
0
thumb_up
0
Editorial: Identifying Barriers for Behavior Scientists Working on Social Issues
Alavosius, M. P., Gelino, B. W., & Rakos, R. F. (2022). Culturo-behavior science practicum: Analyses and intervention ...
Behavior And Social Issues
comment
0
thumb_up
0
The Analysis of Peer Attention as a Prerequisite for Observational Stimulus Control to Address Learning Conditions for Children with Disabilities
We analyzed the relation between peer attention (observation of peers) and observational cusps in preschool students with ...
Behavior And Social Issues
comment
0
thumb_up
0
The Effects of a Direct Instruction Curriculum Sequence on the Reading Comprehension Responses of Early Readers
Reading comprehension is critical for early learners’ academic success. Derived relations are an important feature o...
Behavior And Social Issues
comment
0
thumb_up
0
Community-Based Early Language and Literacy Screenings
Reading screenings are an essential element of a preventative model of education. Early language and literacy screenings c...
Behavior And Social Issues
comment
0
thumb_up
0
How a Daily Regimen of Operant Conditioning Might Explain the Power of the Search Engine Manipulation Effect (SEME)
Recent studies have shown that biased search results can produce substantial shifts in the opinions and voting preferences...
Behavior And Social Issues
comment
0
thumb_up
0
Improved Soft-Skill Competencies of ABA Professionals Following Training and Coaching: A Feasibility Study
The field of applied behavior analysis currently faces critique regarding the need for increased compassion and interprofe...
Behavior And Social Issues
comment
0
thumb_up
0
Culturo-Behavioral Contributions to a Sustainable Market: The Interplay of Producers’ and Consumers’ Practices
Sustainability is a relevant and pressing theme in which concepts and tools of cultural systems analysis should be applied...
Behavior And Social Issues
comment
0
thumb_up
0
Math Matters: From the Basics to Problem Solving in a South African Township
Nearly 30 years after the end of apartheid in South Africa, the education system has yet to provide learners with an adequ...
Behavior And Social Issues
comment
0
thumb_up
0
Behavioral Skills Training and Literacy: Supporting Reading Instructors in Adult Education Centers
Providing effective reading instruction to parents with low literacy is imperative due to the significant implications of ...
Behavior And Social Issues
comment
0
thumb_up
0
The Effect of the Establishment of Preference for Math on Rate of Learning for Pre-Kindergarten Students
Conditioned reinforcement for math, or math enjoyment, may be critical for students. If so, this should be established as ...
Behavior And Social Issues
comment
0
thumb_up
0
Process Evaluation of a Problem-Solving Approach for Analyzing Literacy Practices within a Multi-Tiered System of Supports Framework
A Multi-Tiered System of Supports (MTSS) framework features a structured problem-solving process and the use of assessment...
Behavior And Social Issues
comment
0
thumb_up
0
A Strategic Science of Teaching for a More Just Education System
This paper describes a strategic science of teaching (SST) and its application to effective education as a form of social ...
Behavior And Social Issues
comment
0
thumb_up
0
A Model Dependent Scoping Review of Research on Sexism and Racism in Major Behavior Analytic Journals
Behavior analysts are becoming increasingly aware of and involved in the study of issues related to sex, gender, and racia...
Behavior And Social Issues
comment
0
thumb_up
0
A Preliminary Analysis of Incidental Bidirectional Naming and Derived Listener and Speaker Relations for Literacy Responses
In the realm of behavioral research, significant contributions have greatly advanced reading studies, influencing educatio...
Behavior And Social Issues
comment
0
thumb_up
0
Effects of a Composite-to-Component Vocal Phoneme Segmentation Intervention on Remediating Kindergarteners’ Difficulties in Learning to Read
Early readers who have learned letter–sound correspondences do not always learn to read words through best practice ...
Behavior And Social Issues
comment
0
thumb_up
0
Instructivism in Literacy as a Means for Social Justice: An Effective Path Forward with Direct Instruction Reading
In this paper, we reflect on the existing literacy achievement gap in the United States, the interconnected variables that...
Behavior And Social Issues
comment
0
thumb_up
0
Between the Lines: Integrating the Science of Reading and the Science of Behavior to Improve Reading Outcomes for Australian Children
Many Australian students fail to meet an acceptable standard of reading proficiency. This can negatively impact their acad...
Behavior And Social Issues
comment
0
thumb_up
0
Survey of Faculty Perspectives, Actions, and Barriers to Culturally Responsive Mentorship
Behavior analysts have recently increased efforts toward providing culturally responsive clinical practice. Although the e...
Behavior And Social Issues
comment
0
thumb_up
0
Using a Simple Discrimination Procedure with Compound Class-Specific Consequences to Teach Early Reading Skills
Emergent-learning arrangements may represent an effective method for establishing reading prerequisite skills with childre...
Behavior And Social Issues
comment
0
thumb_up
0
A Comparison of Paired Kinesthetic Movements and With-in Stimulus Pictures on Literacy Skills Acquisition with Young Children
Reading difficulties during childhood often continue during adulthood and result in adverse effects. Multisensory instruct...
Behavior And Social Issues
comment
0
thumb_up
0
Advancing Research and Practice in Culturo-Behavior Science: A Call to Action
Many current and aspiring behavior scientists have expressed uncertainty and interest regarding how to get more involved i...
Behavior And Social Issues
comment
0
thumb_up
0
Avoiding 1.5 °C of Global Warming: Introduction to Part II of the Special Section on Behavior and Cultural Systems Analysis for Climate Change
Acuff, S. F., Amlung, M., Dennhardt, A. A., MacKillop, J., & Murphy, J. G. (2020). Experimental manipulations of behav...
Behavior And Social Issues
comment
0
thumb_up
0
Load More
Modal title
×
Modal title
×
Share
Login
Global News and Health Forum
Join Now!
Member Login
Remember me
Forgot password?
Or using
Linkedin