×
Close
Sign Up
Login
Home
SCI Abstract
Library D
Events & Partner
WeMed
MDLA Events Platform
Events
Media Partners
Educational Partner
User Tools
FAQ/USER GUIDE
Language
English
中文/ Chinese
French
Português
Español
Arabic
Russian
Contact Us
×
Close
mdla_1
mdla_2
mdla_3
mdla_4
mdla_5
mdla_6
Categories
Psychiatry
19132
Global Medical University
5141
Allergy
1792
Anatomy & Morphology
1584
Andrology
379
Anesthesia & Intensive Care
1300
Anesthesiology
5399
Audiology & Speech-Language Pathology
347
Behavioral Sciences
105
Biochemical Research Methods
7243
Biochemistry & Molecular Biology
30077
Biodiversity Conservation
330
Biology
8515
Biophysics
8292
Biotechnology & Applied Microbiology
8662
Cardiac & Cardiovascular Systems
31125
Cardiovascular & Respiratory Systems
1413
Cell & Tissue Engineering
704
Cell Biology
11182
Chemistry, Analytical
4301
Chemistry, Applied
10948
Chemistry, Medicinal
8755
Chemistry, Multidisciplinary
18521
Clinical Immunology & Infectious Disease
423
Clinical Medicine
8962
Clinical Neurology
16636
Clinical Psychology & Psychiatry
1294
Critical Care Medicine
3163
Dentistry, Oral Surgery & Medicine
13544
Dermatology
7485
Developmental Biology
6954
Ecology
633
Education, Scientific Disciplines
2050
Emergency Medicine
4117
Endocrinology, Metabolism & Nutrition
24622
Engineering, Biomedical
3729
Entomology
489
Environmental Medicine & Public Health
4669
Evolutionary Biology
276
Gastroenterology & Hepatology
12236
General & Internal Medicine
7013
Genetics & Heredity
15196
Geriatrics & Gerontology
5075
Gerontology
382
Health Care Sciences & Services
16165
Health Policy & Services
604
Hematology
5578
Immunology
24850
Infectious Diseases
14017
Integrative & Complementary Medicine
2943
Medical Ethics
1239
Medical Informatics
2232
Medical Laboratory Technology
419
Medicine, General & Internal
44379
Medicine, Legal
532
Medicine, Research & Experimental
17792
Microbiology
23387
Mycology
0
Nanoscience & Nanotechnology
5368
Neuroimaging
1365
Neurology
4562
Neurosciences
39861
Nursing
9787
Nutrition & Dietetics
7849
Obstetrics & Gynecology
8277
Oncology
52486
Ophthalmology
9749
Optics
4279
Orthopedics
11803
Orthopedics, Rehabilitation & Sports Medicine
1828
Otolaryngology
1583
Otorhinolaryngology
4894
Parasitology
1167
Pathology
5148
Pediatrics
21618
Peripheral Vascular Disease
4767
Pharmacology & Pharmacy
35500
Pharmacology/Toxicology
12212
Physiology
8922
Polymer Science
542
Primary Health Care
837
Psychology
5240
Psychology, Applied
111
Psychology, Biological
390
Psychology, Clinical
811
Psychology, Developmental
273
Psychology, Educational
164
Psychology, Experimental
171
Psychology, Mathematical
0
Psychology, Multidisciplinary
1694
Psychology, Psychoanalysis
30
Psychology, Social
131
Public Health & Health Care Science
2225
Public, Environmental & Occupational Health
27291
Quantum Science & Technology
0
Radiology, Nuclear Medicine & Imaging
12500
Radiology, Nuclear Medicine & Medical Imaging
8264
Rehabilitation
3074
Remote Sensing
0
Reproductive Biology
2872
Reproductive Medicine
1212
Research/Laboratory Medicine & Medical Technology
4029
Respiratory System
7421
Rheumatology
6029
Social Sciences, Biomedical
1178
Substance Abuse
2771
Surgery
33928
Toxicology
4445
Transplantation
938
Tropical Medicine
300
Urology & Nephrology
12890
Veterinary Sciences
35
Virology
2551
Zoology
0
Channels
Evidence-Based Mental Health
158
Medrxiv - Psychiatry and Clinical Psychology
1425
ACTA PSYCHIATRICA SCANDINAVICA
64
AMERICAN JOURNAL OF PSYCHIATRY
380
BIOLOGICAL PSYCHIATRY
0
BRAIN BEHAVIOR AND IMMUNITY
0
CURRENT PSYCHIATRY REPORTS
236
EARLY INTERVENTION IN PSYCHIATRY
154
FRONTIERS IN PSYCHIATRY
5205
INTERNATIONAL JOURNAL OF BIPOLAR DISORDERS
81
JOURNAL OF AFFECTIVE DISORDERS
2999
JOURNAL OF NEUROLOGY NEUROSURGERY AND PSYCHIATRY
528
JOURNAL OF PSYCHIATRIC RESEARCH
1413
JOURNAL OF PSYCHOPHARMACOLOGY
67
LANCET PSYCHIATRY
0
THERAPEUTIC ADVANCES IN PSYCHOPHARMACOLOGY
23
ANNALS OF GENERAL PSYCHIATRY
105
ASIA-PACIFIC PSYCHIATRY
36
BMC PSYCHIATRY
1420
CLINICAL CHILD PSYCHOLOGY AND PSYCHIATRY
67
COMPREHENSIVE PSYCHIATRY
0
HUMAN PSYCHOPHARMACOLOGY-CLINICAL AND EXPERIMENTAL
32
INDIAN JOURNAL OF PSYCHIATRY
60
INTERNATIONAL JOURNAL OF METHODS IN PSYCHIATRIC RESEARCH
23
INTERNET INTERVENTIONS-THE APPLICATION OF INFORMATION TECHNOLOGY IN MENTAL AND BEHAVIOURAL HEALTH
96
JMIR MENTAL HEALTH
364
JOURNAL OF CLINICAL PSYCHOPHARMACOLOGY
203
JOURNAL OF EATING DISORDERS
489
JOURNAL OF GERIATRIC PSYCHIATRY AND NEUROLOGY
47
JOURNAL OF NEUROPSYCHOLOGY
29
JOURNAL OF OBSESSIVE-COMPULSIVE AND RELATED DISORDERS
0
JOURNAL OF PSYCHIATRIC AND MENTAL HEALTH NURSING
87
JOURNAL OF PSYCHIATRIC PRACTICE
198
JOURNAL OF SPORT & EXERCISE PSYCHOLOGY
118
NEUROPSYCHOBIOLOGY
59
PSYCHIATRIC SERVICES
567
PSYCHOGERIATRICS
81
PSYCHOLOGY AND PSYCHOTHERAPY-THEORY RESEARCH AND PRACTICE
45
PSYCHOLOGY OF SPORT AND EXERCISE
1
PSYCHOPATHOLOGY
107
QUARTERLY JOURNAL OF EXPERIMENTAL PSYCHOLOGY
144
PSYCHIATRY RESEARCH
1247
TRENDS IN PSYCHIATRY AND PSYCHOTHERAPY
0
SCANDINAVIAN JOURNAL OF CHILD AND ADOLESCENT PSYCHIATRY AND PSYCHOLOGY
20
BRITISH JOURNAL OF PSYCHOTHERAPY
49
INTERVENTION-INTERNATIONAL JOURNAL OF MENTAL HEALTH PSYCHOSOCIAL WORK AND COUNSELLING IN AREAS OF ARMED CONFLICT
53
NEUROPSYCHIATRIE
102
SOCIAL PSYCHIATRY AND PSYCHIATRIC EPIDEMIOLOGY
550
SCI Abstract
search
ALL
RECOMMENDED
+
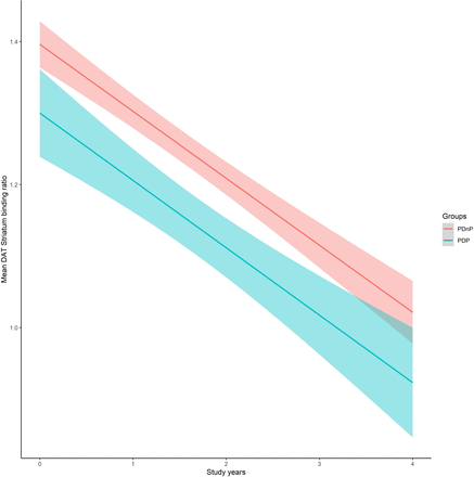
Decline in striatal binding ratio associated with accelerated decline in performance on symbol digit modality but not MoCA in Parkinsons Disease Psychosis
Background Cognitive deficits and reduced dopamine transporter (DAT) binding ratio have been reported in Parkinson’s disea...
Evidence-based Mental Health
comment
0
thumb_up
0
Co-prescription of metformin and antipsychotics in severe mental illness: a UK primary care cohort study
Background Metformin is a pharmacological candidate to mitigate second-generation antipsychotic (SGA)-induced weight gain ...
Evidence-based Mental Health
comment
0
thumb_up
0
Measuring social environment factors of inpatients and outpatients with depression in Germany: a cross-sectional study
Background Social environment characteristics, including social relationships and cultural milieus, may influence the occu...
Evidence-based Mental Health
comment
0
thumb_up
0
Climate change worry and the association with future depression and anxiety: cross-national analysis of 11 European countries
Background Climate change affects people’s mental health directly and indirectly. Climate anxiety, characterised by persis...
Evidence-based Mental Health
comment
0
thumb_up
0
Single-session intervention with and without video support to prevent the worsening of emotional distress among healthcare workers during the SARS-CoV-2 pandemic: a randomised clinical trial
Background The SARS-CoV-2 pandemic was a major stressful event that significantly affected healthcare providers.Objective ...
Evidence-based Mental Health
comment
0
thumb_up
0
Predicting the incidence of depression in adolescence using a sociodemographic risk score: prospective follow-up of the IDEA-RiSCo study
Background Adolescence constitutes a critical window for preventing depression, but efforts have mostly targeted single ri...
Evidence-based Mental Health
comment
0
thumb_up
0
Risk of hospitalisation for first-onset psychosis or mania within a year of ADHD medication initiation in adults with ADHD
Background The prevalence of attention-deficit hyperactivity disorder (ADHD) drug treatment for youth and adults has been ...
Evidence-based Mental Health
comment
0
thumb_up
0
Methodological quality in randomised clinical trials of mental health apps: systematic review and longitudinal analysis
Question This study investigated the methodological rigour of randomised controlled trials (RCTs) of mental health apps fo...
Evidence-based Mental Health
comment
0
thumb_up
0
Psychotherapies for adults with complex presentations of PTSD: a clinical guideline and five systematic reviews with meta-analyses
Objective To develop a clinician-guided, research-based guideline for adult outpatient psychotherapy for complex presentat...
Evidence-based Mental Health
comment
0
thumb_up
0
Leveraging artificial intelligence in the prediction, diagnosis and treatment of depression and anxiety among perinatal women in low- and middle-income countries: a systematic review
Aim The adoption of artificial intelligence (AI) tools is gaining traction in maternal mental health (MMH) research. Despi...
Evidence-based Mental Health
comment
0
thumb_up
0
Access to treatment protocols and manuals for evidence-based psychological interventions for severe mental disorders: a survey of randomised trials included in network meta-analyses
Background Evidence-based psychological interventions for mental disorders are described in treatment protocols and manual...
Evidence-based Mental Health
comment
0
thumb_up
0
Increased prevalence of urticarial diseases and antihistamine/corticosteroid consumption in patients with attention-deficit/hyperactivity disorder
Objectives This nationwide cohort study investigated the association between attention-deficit/hyperactivity disorder (ADH...
Evidence-based Mental Health
comment
0
thumb_up
0
"I am not a priority": ethnic minority experiences of navigating mental health support and the need for culturally sensitive services during and beyond the pandemic
Background Existing health inequalities and the lack of timely and appropriate support have long been a reality for many e...
Evidence-based Mental Health
comment
0
thumb_up
0
Impact of the COVID-19 pandemic on antidepressant prescribing with a focus on people with learning disability and autism: an interrupted time series analysis in England using OpenSAFELY-TPP
Background COVID-19 restrictions led to increased reports of depressive symptoms in the general population and impacted he...
Evidence-based Mental Health
comment
0
thumb_up
0
Quality of melatonin use in children and adolescents: findings from a UK clinical audit
WHAT IS ALREADY KNOWN ON THIS TOPICMelatonin is commonly prescribed in UK services for children and adolescents, principal...
Evidence-based Mental Health
comment
0
thumb_up
0
A chatbot to improve adherence to internet-based cognitive-behavioural therapy among workers with subthreshold depression: a randomised controlled trial
WHAT IS ALREADY KNOWN ON THIS TOPICInternet-based cognitive–behavioural therapy (iCBT) is an effective intervention for su...
Evidence-based Mental Health
comment
0
thumb_up
0
Framework for understanding movement and physical activity in patients diagnosed with psychosis
WHAT IS ALREADY KNOWN ON THIS TOPICA recognised priority in mental healthcare is to increase physical activity and decreas...
Evidence-based Mental Health
comment
0
thumb_up
0
Waiting-list interventions for children and young people using child and adolescent mental health services: a systematic review
WHAT IS ALREADY KNOWN ON THIS TOPICWHAT THIS STUDY ADDSWaiting list interventions have the potential to support children, ...
Evidence-based Mental Health
comment
0
thumb_up
0
Thematic analysis of Prevention of Future Death reports for suicide: January 2021 to October 2022
WHAT IS ALREADY KNOWN ON THIS TOPICHOW THIS STUDY MIGHT AFFECT RESEARCH, PRACTICE OR POLICYIntroductionIn the last three d...
Evidence-based Mental Health
comment
0
thumb_up
0
Beneficial and harmful effects of tricyclic antidepressants for adults with major depressive disorder: a systematic review with meta-analysis and trial sequential analysis
WHAT IS ALREADY KNOWN ON THIS TOPICTricyclic antidepressants are used to treat major depressive disorder worldwide.The Nat...
Evidence-based Mental Health
comment
0
thumb_up
0
Suicide deaths associated with climate change-induced heat anomalies in Australia: a time series regression analysis
BackgroundThe escalating impacts of global climate change on health and well-being are gaining attention, underscoring the...
Evidence-based Mental Health
comment
0
thumb_up
0
Single session of interpretation bias modification helped to improve fear of COVID-19 and COVID-19-related post-traumatic stress symptoms
BackgroundPost-traumatic stress symptoms (PTSS) include re-experiencing the traumatic experience, avoidance of stimuli ass...
Evidence-based Mental Health
comment
0
thumb_up
0
Estimating the joint association of adverse childhood experiences and asthma with subsequent depressive symptoms: a marginal structural modelling approach
WHAT IS ALREADY KNOWN ON THIS TOPICAdverse childhood experiences (ACEs) and asthma are independent risk factors for elevat...
Evidence-based Mental Health
comment
0
thumb_up
0
Influence of study characteristics, methodological rigour and publication bias on efficacy of pharmacotherapy in obsessive-compulsive disorder: a systematic review and meta-analysis of randomised, placebo-controlled trials
BackgroundObsessive-compulsive disorder (OCD) is characterised by persistent thoughts, images and/or sensory perceptions t...
Evidence-based Mental Health
comment
0
thumb_up
0
Are web-based stress management interventions effective as an indirect treatment for depression? An individual participant data meta-analysis of six randomised trials
WHAT IS ALREADY KNOWN ON THIS TOPICWeb-based interventions have been shown to be effective in treating depression, but upt...
Evidence-based Mental Health
comment
0
thumb_up
0
All-cause and suicide mortalities among adolescents and young adults who contacted specialised gender identity services in Finland in 1996-2019: a register study
WHAT IS ALREADY KNOWN ON THIS TOPICNo previous study has examined all-cause and suicide mortalities of gender-referred ado...
Evidence-based Mental Health
comment
0
thumb_up
0
Predictors of increased affective symptoms and suicidal ideation during the COVID-19 pandemic: results from a large-scale study of 14 271 Thai adults
WHAT IS ALREADY KNOWN ON THIS TOPICWHAT THIS STUDY ADDSDuring the COVID-19 pandemic, an increase in affective symptoms pri...
Evidence-based Mental Health
comment
0
thumb_up
0
Internet-based behavioural activation therapy versus online psychoeducation for self-reported suicidal ideation in individuals with depression in Indonesia: a secondary analysis of an RCT
WHAT IS ALREADY KNOWN ON THIS TOPICHOW THIS STUDY MIGHT AFFECT RESEARCH, PRACTICE OR POLICYIntroductionSoutheast Asia has ...
Evidence-based Mental Health
comment
0
thumb_up
0
Understanding effect size: an international online survey among psychiatrists, psychologists, physicians from other medical specialities, dentists and other health professionals
WHAT IS ALREADY KNOWN ON THIS TOPICMost effect size indices are poorly understood by clinicians.The magnitude of effect si...
Evidence-based Mental Health
comment
0
thumb_up
0
Prescriptions of antidepressants and anxiolytics in France 2012-2022 and changes with the COVID-19 pandemic: interrupted time series analysis
Main findingsIn this ITS analysis of French outpatient pharmacy sales data, we found an increase in overall antidepressant...
Evidence-based Mental Health
comment
0
thumb_up
0
Load More
Modal title
×
Modal title
×
Share
Login
Global News and Health Forum
Join Now!
Member Login
Remember me
Forgot password?
Or using
Linkedin