×
Close
Sign Up
Login
Home
SCI Abstract
Library D
Events & Partner
WeMed
MDLA Events Platform
Events
Media Partners
Educational Partner
User Tools
FAQ/USER GUIDE
Language
English
中文/ Chinese
French
Português
Español
Arabic
Russian
Contact Us
×
Close
mdla_1
mdla_2
mdla_3
mdla_4
mdla_5
mdla_6
Categories
Optics
4279
Global Medical University
5141
Allergy
1792
Anatomy & Morphology
1584
Andrology
379
Anesthesia & Intensive Care
1300
Anesthesiology
5399
Audiology & Speech-Language Pathology
347
Behavioral Sciences
105
Biochemical Research Methods
7243
Biochemistry & Molecular Biology
30077
Biodiversity Conservation
330
Biology
8515
Biophysics
8292
Biotechnology & Applied Microbiology
8662
Cardiac & Cardiovascular Systems
31125
Cardiovascular & Respiratory Systems
1413
Cell & Tissue Engineering
704
Cell Biology
11182
Chemistry, Analytical
4301
Chemistry, Applied
10948
Chemistry, Medicinal
8755
Chemistry, Multidisciplinary
18521
Clinical Immunology & Infectious Disease
423
Clinical Medicine
8962
Clinical Neurology
16636
Clinical Psychology & Psychiatry
1294
Critical Care Medicine
3163
Dentistry, Oral Surgery & Medicine
13544
Dermatology
7485
Developmental Biology
6954
Ecology
633
Education, Scientific Disciplines
2050
Emergency Medicine
4117
Endocrinology, Metabolism & Nutrition
24622
Engineering, Biomedical
3729
Entomology
489
Environmental Medicine & Public Health
4669
Evolutionary Biology
276
Gastroenterology & Hepatology
12236
General & Internal Medicine
7013
Genetics & Heredity
15196
Geriatrics & Gerontology
5075
Gerontology
382
Health Care Sciences & Services
16165
Health Policy & Services
604
Hematology
5578
Immunology
24850
Infectious Diseases
14017
Integrative & Complementary Medicine
2943
Medical Ethics
1239
Medical Informatics
2232
Medical Laboratory Technology
419
Medicine, General & Internal
44379
Medicine, Legal
532
Medicine, Research & Experimental
17792
Microbiology
23387
Mycology
0
Nanoscience & Nanotechnology
5388
Neuroimaging
1365
Neurology
4562
Neurosciences
39861
Nursing
9787
Nutrition & Dietetics
7849
Obstetrics & Gynecology
8277
Oncology
52486
Ophthalmology
9749
Orthopedics
11803
Orthopedics, Rehabilitation & Sports Medicine
1828
Otolaryngology
1583
Otorhinolaryngology
4894
Parasitology
1167
Pathology
5148
Pediatrics
21618
Peripheral Vascular Disease
4767
Pharmacology & Pharmacy
35500
Pharmacology/Toxicology
12212
Physiology
8922
Polymer Science
542
Primary Health Care
837
Psychiatry
19132
Psychology
5240
Psychology, Applied
111
Psychology, Biological
390
Psychology, Clinical
811
Psychology, Developmental
273
Psychology, Educational
164
Psychology, Experimental
171
Psychology, Mathematical
0
Psychology, Multidisciplinary
1694
Psychology, Psychoanalysis
30
Psychology, Social
131
Public Health & Health Care Science
2225
Public, Environmental & Occupational Health
27291
Quantum Science & Technology
0
Radiology, Nuclear Medicine & Imaging
12500
Radiology, Nuclear Medicine & Medical Imaging
8264
Rehabilitation
3074
Remote Sensing
0
Reproductive Biology
2872
Reproductive Medicine
1212
Research/Laboratory Medicine & Medical Technology
4029
Respiratory System
7421
Rheumatology
6029
Social Sciences, Biomedical
1178
Substance Abuse
2771
Surgery
33928
Toxicology
4445
Transplantation
938
Tropical Medicine
300
Urology & Nephrology
12890
Veterinary Sciences
35
Virology
2551
Zoology
0
Channels
ATMOSPHERIC AND OCEANIC OPTICS
311
APL PHOTONICS
224
JOURNAL OF BIOPHOTONICS
146
OPTICAL MATERIALS
0
OPTICAL MATERIALS EXPRESS
17
OPTICS COMMUNICATIONS
1619
JOURNAL OF OPTICS-INDIA
652
JOURNAL OF PHYSICS-PHOTONICS
117
KOREAN JOURNAL OF OPTICS AND PHOTONICS
290
OPTOELECTRONICS LETTERS
338
PHOTONICS LETTERS OF POLAND
84
OPTICAL REVIEW
246
OPTICS AND SPECTROSCOPY
235
SCI Abstract
search
ALL
RECOMMENDED
+
Simulation of Severe Weather Events in Western Siberia Using WRF Atmospheric Model
The intensity and frequency of severe weather events are currently increasing in Western Siberia. Weather Research and For...
Atmospheric And Oceanic Optics
comment
0
thumb_up
0
Simulation of Greenhouse Gas Content in the Atmosphere of Oil- and Gas-Producing Areas
The technology of preparing the chemical raw material or fuel from associated petroleum gas envisages combustion of associ...
Atmospheric And Oceanic Optics
comment
0
thumb_up
0
Features of the Vertical Distribution of Air Temperature over Tomsk during Sudden Stratospheric Warming in Winter 2023 According to Data from the Siberian Lidar Station
Atmospheric temperature anomalies associated with sudden stratospheric warming events (SSWs) observed over the territory o...
Atmospheric And Oceanic Optics
comment
0
thumb_up
0
Control of the Spectral Composition of Coherent Radiation on Molecular Nitrogen Ions in Laser Plasma Using Two-Color Pumping
In recent years, laser sources created in airborne laser plasma by powerful femtosecond radiation pulses have been rapidly...
Atmospheric And Oceanic Optics
comment
0
thumb_up
0
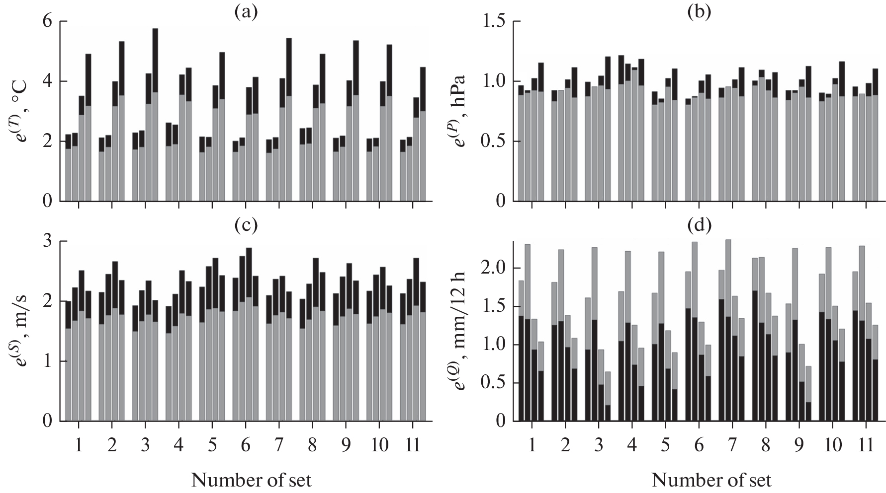
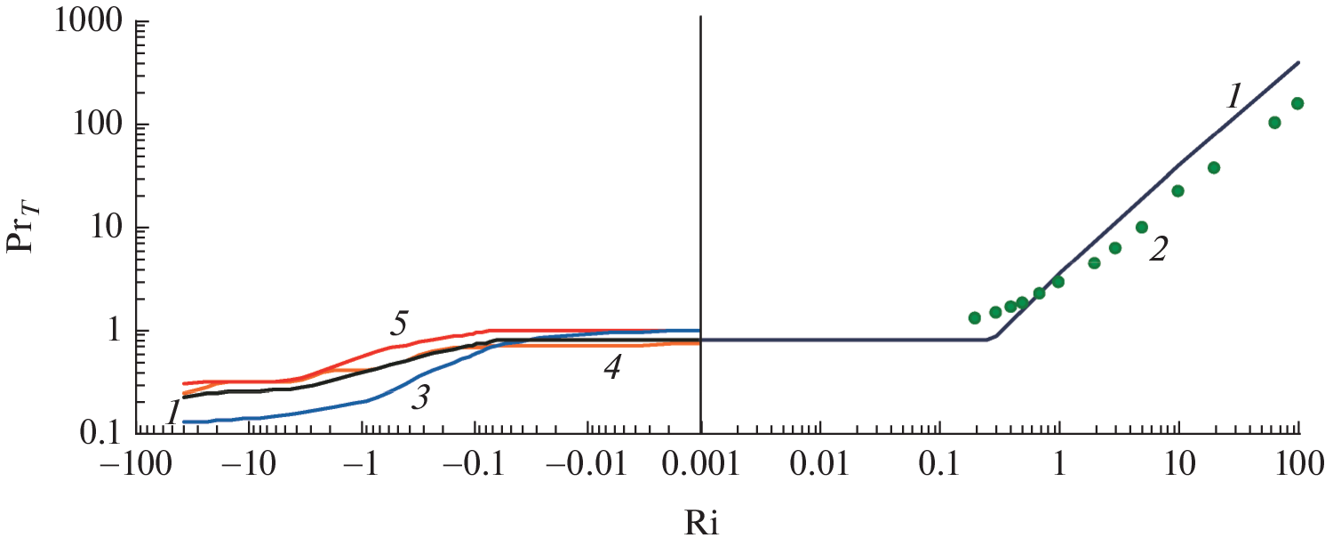
Experimental Verification of the Model Dependence of the Turbulent Prandtl Number on the Gradient Richardson Number
A formula has been derived which connects the structural constant of temperature fluctuations with the dissipation rate of...
Atmospheric And Oceanic Optics
comment
0
thumb_up
0
Estimation of Atmospheric Optical Parameters with Simultaneous Measurement of Vibrational-Rotational and Purely Rotational Raman Spectra
The paper considers the methodological features of determining the optical extinction and backscattering coefficients by s...
Atmospheric And Oceanic Optics
comment
0
thumb_up
0
The Nature of Hygroscopicity of Aerosol Haze Particles over Beijing
Atmospheric aerosols have a significant impact on air quality, climate, and human health. The comparison of gaseous impuri...
Atmospheric And Oceanic Optics
comment
0
thumb_up
0
Comparison between Greenhouse Gas Fluxes Measured with the Equipment of Yakovlev-40 Aircraft Laboratory and ZOTTO Observatory
The ongoing global warming leads to the need in continuous monitoring of greenhouse gas concentrations and the magnitude o...
Atmospheric And Oceanic Optics
comment
0
thumb_up
0
Light Backscattering by Horizontally Oriented Ice “Plate,” “Column,” and “Hollow Column” Particles of Cirrus Clouds
Cirrus clouds play an important part in the formation of our planet’s climate due to their influence on its radiatio...
Atmospheric And Oceanic Optics
comment
0
thumb_up
0
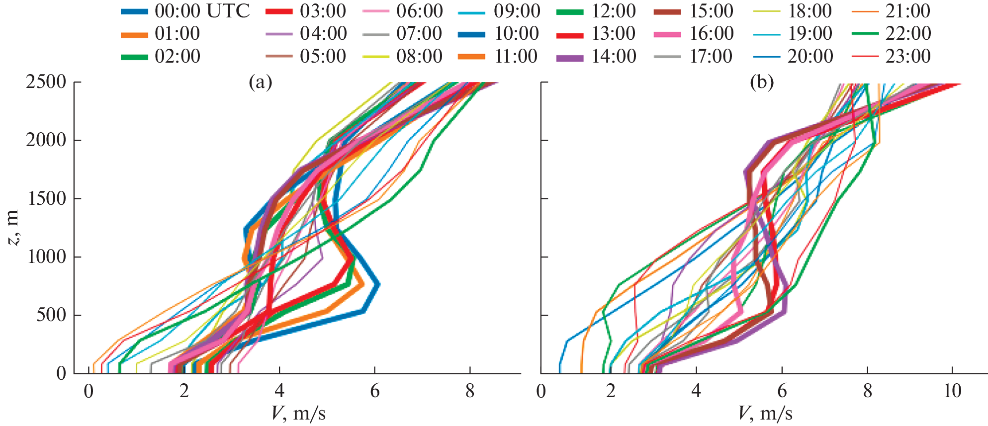
Lidar Studies of Wave Structures and Wind Turbulence in the Stable Atmospheric Boundary Layer
The study of internal gravity waves (IGWs) generated in the atmospheric boundary layer (ABL) under stable temperature stra...
Atmospheric And Oceanic Optics
comment
0
thumb_up
0
Optimization of THz Radiation Generation by Air Laser Profiling using Genetic Algorithm
The paper investigates the generation of terahertz (THz) radiation during filamentation. A possibility of increasing the g...
Atmospheric And Oceanic Optics
comment
0
thumb_up
0
Dynamics of Distribution of Aerosol Fractions in the Surface Air of the Boreal Zone of Western Siberia (Based on Observations at the Fonovaya Observatory)–Part 1: Comparison of the Periods of Summer Vegetation and Winter Dormancy of Woody Plants
We present the results of comparative characterization of fractional composition of surface aerosols in the period of summ...
Atmospheric And Oceanic Optics
comment
0
thumb_up
0
Spectral Composition of Temperature Turbulence for Different Surface Air Layer Stratification Types
Parameters of the spectral model of small-scale turbulence are the most important characteristics used to describe the pro...
Atmospheric And Oceanic Optics
comment
0
thumb_up
0
Calculation of CO-shift Coefficients of SO Lines: ν + ν Band
Parameters of the SO2–CO2 line profile are important to study the carbon dioxide atmospheres of terrestrial planets ...
Atmospheric And Oceanic Optics
comment
0
thumb_up
0
Influence of Air Movement Structure on Microphysical Properties of the Atmosphere over Listvyanka
The relationship between sulfur dioxide (SO2) concentration and small-scale turbulence within Southern Baikal is understud...
Atmospheric And Oceanic Optics
comment
0
thumb_up
0
A System for Predicting Pollutant Transport in the Atmosphere
A system has been developed for numerical prediction of concentrations of pollutants in the atmosphere and their transform...
Atmospheric And Oceanic Optics
comment
0
thumb_up
0
Air Temperature Variance under Conditions of Temperature Inversion
The effect of vertical and horizontal turbulent heat fluxes on the air temperature variance under conditions of temperatur...
Atmospheric And Oceanic Optics
comment
0
thumb_up
0
Vertical Distribution of Ozone in the Upper Troposphere–Stratosphere according to lidar Sounding Data at the Siberian Lidar Station in 2023
The paper analyzes lidar measurements of vertical ozone distribution in the lower stratosphere–upper troposphere at ...
Atmospheric And Oceanic Optics
comment
0
thumb_up
0
Aerosol Sounding of the Troposphere and Stratosphere by Lidar and Aerological Technologies
Weather conditions are a natural limitation of the use of remote lidar sensing methods of the atmosphere, while the direct...
Atmospheric And Oceanic Optics
comment
0
thumb_up
0
Cloud Recognition in Hyperspectral Satellite Images Using an Explainable Machine Learning Model
Problem of developing algorithm based upon neutral networks and machine learning to find clouds on hyperspectral images ar...
Atmospheric And Oceanic Optics
comment
0
thumb_up
0
Wind Effect on H2O Absorption Lines Perturbed by He, Ar, Kr, and Xe Pressure
The effect of two factors, i.e., the dependence of the broadening coefficients γ and shifting coefficient δ on t...
Atmospheric And Oceanic Optics
comment
0
thumb_up
0
Wind Effect on H2O Absorption Lines Perturbed by He, Ar, Kr, and Xe Pressure
The effect of two factors, i.e., the dependence of the broadening coefficients γ and shifting coefficient δ on t...
Atmospheric And Oceanic Optics
comment
0
thumb_up
0
Ground-Level Atmospheric Turbulence in the Sayan Solar Observatory in Summer 2023
Estimating the influence of atmospheric turbulence on the quality of astronomical images requires appropriate investigatio...
Atmospheric And Oceanic Optics
comment
0
thumb_up
0
Polar Stratosphere Dynamics During Early Sudden Stratospheric Warmings
Sudden stratospheric warming (SSW) significantly impacts the weather in the troposphere and the dynamics of the upper atmo...
Atmospheric And Oceanic Optics
comment
0
thumb_up
0
Rossby Wave Breaking in the Stratosphere: Part I—Climatology and Long-Term Variability
The processes of planetary wave breaking (Rossby Wave Breaking – RWB) significantly contribute to variability in str...
Atmospheric And Oceanic Optics
comment
0
thumb_up
0
Effect of Diffusion Doping of ZnGeP2 with Mg and Ca Atoms on the Optical Properties of Single Crystals
The effect of impurity Mg and Ca atoms on the optical breakdown threshold of a nonlinear ZnGeP2 crystal at a wavelength of...
Atmospheric And Oceanic Optics
comment
0
thumb_up
0
Penning Neon Laser Pumped by a Pulsed Inductive Longitudinal Discharge
Laser radiation in the yellow wavelength range is widely used in ophthalmology due to its effectiveness and unique propert...
Atmospheric And Oceanic Optics
comment
0
thumb_up
0
Scaling of Europium Vapor Laser
IR lasers are widely used in various fields of science and technology. In this regard, expanding the spectral range and ob...
Atmospheric And Oceanic Optics
comment
0
thumb_up
0
The Use of the Turbulent Lidar for Aviation Safety
Clear air turbulence (CAT) constitutes the highest danger for aviation in the free atmosphere in the altitude range 6̵...
Atmospheric And Oceanic Optics
comment
0
thumb_up
0
Tunable Alexandrite Laser for Lidar Systems
Development of laser technologies increases requirements for lasers being developed which generate narrow-band radiation a...
Atmospheric And Oceanic Optics
comment
0
thumb_up
0
Load More
Modal title
×
Modal title
×
Share
Login
Global News and Health Forum
Join Now!
Member Login
Remember me
Forgot password?
Or using
Linkedin