×
Close
Sign Up
Login
Home
SCI Abstract
Library D
Events & Partner
WeMed
MDLA Events Platform
Events
Media Partners
Educational Partner
User Tools
FAQ/USER GUIDE
Language
English
中文/ Chinese
French
Português
Español
Arabic
Russian
Contact Us
×
Close
mdla_1
mdla_2
mdla_3
mdla_4
mdla_5
mdla_6
Categories
Chemistry, Multidisciplinary
18521
Global Medical University
5141
Allergy
1792
Anatomy & Morphology
1584
Andrology
379
Anesthesia & Intensive Care
1300
Anesthesiology
5399
Audiology & Speech-Language Pathology
347
Behavioral Sciences
105
Biochemical Research Methods
7243
Biochemistry & Molecular Biology
30077
Biodiversity Conservation
330
Biology
8515
Biophysics
8292
Biotechnology & Applied Microbiology
8662
Cardiac & Cardiovascular Systems
31125
Cardiovascular & Respiratory Systems
1413
Cell & Tissue Engineering
704
Cell Biology
11182
Chemistry, Analytical
4301
Chemistry, Applied
10948
Chemistry, Medicinal
8755
Clinical Immunology & Infectious Disease
423
Clinical Medicine
8962
Clinical Neurology
16636
Clinical Psychology & Psychiatry
1294
Critical Care Medicine
3163
Dentistry, Oral Surgery & Medicine
13544
Dermatology
7485
Developmental Biology
6954
Ecology
633
Education, Scientific Disciplines
2050
Emergency Medicine
4117
Endocrinology, Metabolism & Nutrition
24622
Engineering, Biomedical
3729
Entomology
489
Environmental Medicine & Public Health
4669
Evolutionary Biology
276
Gastroenterology & Hepatology
12236
General & Internal Medicine
7013
Genetics & Heredity
15196
Geriatrics & Gerontology
5075
Gerontology
382
Health Care Sciences & Services
16165
Health Policy & Services
604
Hematology
5578
Immunology
24850
Infectious Diseases
14017
Integrative & Complementary Medicine
2943
Medical Ethics
1239
Medical Informatics
2232
Medical Laboratory Technology
419
Medicine, General & Internal
44379
Medicine, Legal
532
Medicine, Research & Experimental
17792
Microbiology
23387
Mycology
0
Nanoscience & Nanotechnology
5388
Neuroimaging
1365
Neurology
4562
Neurosciences
39861
Nursing
9787
Nutrition & Dietetics
7849
Obstetrics & Gynecology
8277
Oncology
52506
Ophthalmology
9749
Optics
4279
Orthopedics
11803
Orthopedics, Rehabilitation & Sports Medicine
1828
Otolaryngology
1583
Otorhinolaryngology
4894
Parasitology
1167
Pathology
5148
Pediatrics
21618
Peripheral Vascular Disease
4767
Pharmacology & Pharmacy
35500
Pharmacology/Toxicology
12212
Physiology
8922
Polymer Science
542
Primary Health Care
837
Psychiatry
19132
Psychology
5240
Psychology, Applied
111
Psychology, Biological
390
Psychology, Clinical
811
Psychology, Developmental
273
Psychology, Educational
164
Psychology, Experimental
171
Psychology, Mathematical
0
Psychology, Multidisciplinary
1694
Psychology, Psychoanalysis
30
Psychology, Social
131
Public Health & Health Care Science
2225
Public, Environmental & Occupational Health
27291
Quantum Science & Technology
0
Radiology, Nuclear Medicine & Imaging
12500
Radiology, Nuclear Medicine & Medical Imaging
8264
Rehabilitation
3074
Remote Sensing
0
Reproductive Biology
2872
Reproductive Medicine
1212
Research/Laboratory Medicine & Medical Technology
4029
Respiratory System
7421
Rheumatology
6029
Social Sciences, Biomedical
1178
Substance Abuse
2771
Surgery
33928
Toxicology
4445
Transplantation
938
Tropical Medicine
300
Urology & Nephrology
12890
Veterinary Sciences
35
Virology
2551
Zoology
0
Channels
MOSCOW UNIVERSITY CHEMISTRY BULLETIN
166
ADVANCED SCIENCE
677
ANNALEN DER PHYSIK
107
BULLETIN OF THE CHEMICAL SOCIETY OF JAPAN
60
CARBON
12
CHEMCATCHEM
378
CHEMICAL COMMUNICATIONS
5230
CHEMICAL SCIENCE
2827
CHEMISTRY-AN ASIAN JOURNAL
394
CHEMPLUSCHEM
142
REVIEWS IN COMPUTATIONAL CHEMISTRY
99
ULTRASONICS SONOCHEMISTRY
1
ACTA CRYSTALLOGRAPHICA SECTION C-STRUCTURAL CHEMISTRY
71
APPLIED SCIENCES-BASEL
5421
BULLETIN OF THE CHEMICAL SOCIETY OF ETHIOPIA
308
CHEMISTRYOPEN
87
RUSSIAN JOURNAL OF GENERAL CHEMISTRY
659
CHEMICAL METHODOLOGIES
197
CHEMTEXTS
65
CURRENT GREEN CHEMISTRY
12
CURRENT MICROWAVE CHEMISTRY
6
EGYPTIAN JOURNAL OF CHEMISTRY
499
EURASIAN CHEMICO-TECHNOLOGICAL JOURNAL
68
JORDAN JOURNAL OF CHEMISTRY
5
JOURNAL OF CHEMISTRY AND TECHNOLOGIES
242
ORBITAL-THE ELECTRONIC JOURNAL OF CHEMISTRY
90
ORIENTAL JOURNAL OF CHEMISTRY
520
PHYSICAL CHEMISTRY RESEARCH
180
SCI Abstract
search
ALL
RECOMMENDED
+
Synthesis and Properties of Functionally Substituted Phthalocyanines: From Photocatalysis to Photodynamic Therapy
This review focuses on the main methods for obtaining functionally substituted phthalocyanine complexes, as well as the pr...
Moscow University Chemistry Bulletin
comment
0
thumb_up
0
Development of Thermoelectric Materials for Mid-Temperature Applications: Current State and Prospects
The development of efficient and environmentally friendly thermoelectric materials for mid-temperature applications, in th...
Moscow University Chemistry Bulletin
comment
0
thumb_up
0
Structural Analysis and Application in Dip Coating of Alumina Powder
This study focuses on producing alumina using a modified citrate method. The process involves thermally activating a chela...
Moscow University Chemistry Bulletin
comment
0
thumb_up
0
Vibrational Spectra of 2-(2'-Pyridyl)imidazole in a Solid and Solutions: Experiment and Quantum-Chemistry Calculations
FT-infrared and Raman spectra of 2-(2'-pyridyl)imidazole (2PI) in the solid state, as well as FTIR solutions spectra i...
Moscow University Chemistry Bulletin
comment
0
thumb_up
0
Firefly Luciferase: Historical Aspect
This review presents the history of research on the luciferin–luciferase system of fireflies Luciola mingrelica at t...
Moscow University Chemistry Bulletin
comment
0
thumb_up
0
The Reduction of the Oxidized Surface of Cobalt–Rhenium Alloys with Chromium from the Gas Phase
The development of new heat-resistant cobalt alloys for the aerospace industry allows exceeding the temperature capabiliti...
Moscow University Chemistry Bulletin
comment
0
thumb_up
0
Determination of Nitrate in Soil by Digital Image Colorimetry
A method for the determination of nitrate in soil with digital image colorimetry is proposed. This approach is based on ph...
Moscow University Chemistry Bulletin
comment
0
thumb_up
0
Measurement and Correlation of Deferiprone Solubility in 1-Propanol and Water Solvent Mixtures at Different Temperatures
This article dealt with the saturated solubility values of deferiprone (which is an iron chelator agent) in aqueous mixtur...
Moscow University Chemistry Bulletin
comment
0
thumb_up
0
Chemical Features of Long-Leaved Mint ( L.) Varieties
The content of phenolic compounds and essential oil of four samples of Mentha longifolia L. of various origins is determin...
Moscow University Chemistry Bulletin
comment
0
thumb_up
0
The Mechanism of Formation of a Host–Guest Complex between Rutin and 2-Hydroxypropyl-β-cyclodextrin
The interaction mechanism of plant antioxidants is studied with IR and NMR spectroscopies (rutin interacts with a 2-hydrox...
Moscow University Chemistry Bulletin
comment
0
thumb_up
0
Interaction of Silver Clusters with 7-Aminocholesterol: Non-Empirical Study
The structures of small silver clusters (Agn, n = 1–3, n =13) and their complexes with 7-aminocholesterol (NCh) are ...
Moscow University Chemistry Bulletin
comment
0
thumb_up
0
Viscosity of Concentrated Dispersions of Spherical Particles in the Framework of a Structural Model
Within the framework of the structural rheological model, viscosity curves are examined for four types of colloidal disper...
Moscow University Chemistry Bulletin
comment
0
thumb_up
0
DFT Study of Dioxidine Oligomer Formation in the Gas Phase and CO Environment
This study carries out calculations of molecular clusters of dioxidine and dioxidine complexes with carbon dioxide (CO2) u...
Moscow University Chemistry Bulletin
comment
0
thumb_up
0
Surface Modified Nanozymes: Production, Properties, and Analytical Application
Nanozymes are synthetic nanomaterials with enzyme-like catalytic activity. Since catalytic reactions occur on the surface ...
Moscow University Chemistry Bulletin
comment
0
thumb_up
0
Photochemistry of Methyl Formate Radical Cations in Frozen CFCl Matrices
A novel mechanism has been discovered for the phototransformations of methyl formate radical cations (RCs) wherein an RC t...
Moscow University Chemistry Bulletin
comment
0
thumb_up
0
Calculation and Properties of a 3D-Molecular Shannon Entropy Using Interatomic Distance Histograms
Interatomic distance histograms (IDHs) are used to calculate the Shannon entropies (H) of a number of molecules. Consideri...
Moscow University Chemistry Bulletin
comment
0
thumb_up
0
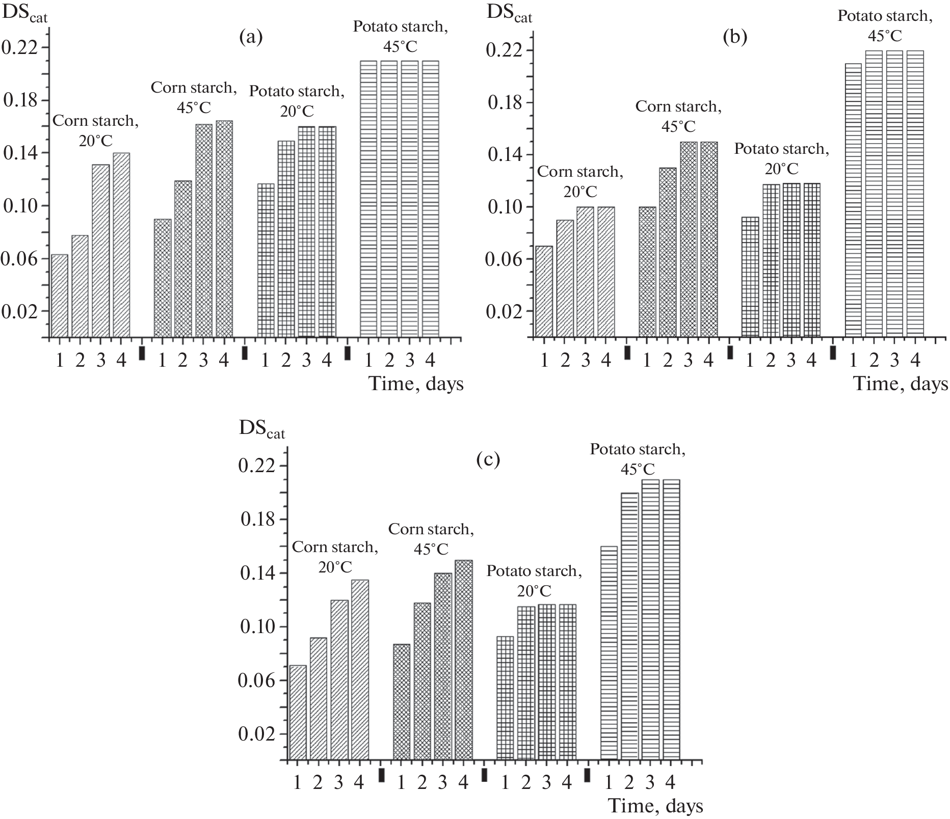
Obtaining and Studying the Properties of Highly Substituted Cationic Starches of Different Botanical Origins Crosslinked with Epichlorohydrin
A method of one-stage cationization and crosslinking of potato and corn starches using epichlorohydrin as a crosslinking a...
Moscow University Chemistry Bulletin
comment
0
thumb_up
0
Intramolecular Femtosecond Energy Conversion in Chlorosomes of Photosynthesizing Green Bacteria
In the green bacterium Chloroflexus aurantiacus, photosynthesis begins with light absorption by unique light-harvesting co...
Moscow University Chemistry Bulletin
comment
0
thumb_up
0
Optimization of Covalent DNA Immobilization for Contact Printing Method
The contact printing method is widely used to create microchips and develop highly sensitive biosensors. This method is ba...
Moscow University Chemistry Bulletin
comment
0
thumb_up
0
Methylation of Coproporphyrin as a Protective Mechanism in Mycobacteria under Adverse Conditions
The transition of active Mycolicibacterium smegmatis cells to a dormant state under acidification conditions is accompanie...
Moscow University Chemistry Bulletin
comment
0
thumb_up
0
Application of MF3 Microbial Recombinant Protein in Refolding of Plant Chitinase
Expression of recombinant proteins is important for studying their biological functions. For the primary description of pr...
Moscow University Chemistry Bulletin
comment
0
thumb_up
0
Protein Engineering of Lactate Oxidase
Lactate oxidase is a practically important enzyme widely used to detect L-lactate in medical diagnostics and in the food i...
Moscow University Chemistry Bulletin
comment
0
thumb_up
0
High Throughput Screening in Drug Discovery: Problems and Solutions
World-wide introduction of high throughput screening (HTS) methods in drug discovery research did not result in the increa...
Moscow University Chemistry Bulletin
comment
0
thumb_up
0
Strategies of N-Glycosidic Bond Cleavage by DNA Repair Enzymes
DNA glycosylases are enzymes that hydrolyze the N-glycosidic bond of damaged nucleotides, initiating the process of base e...
Moscow University Chemistry Bulletin
comment
0
thumb_up
0
Computer Modeling of the Mechanisms of Enzymatic Reactions: Lessons from 20 Years of Practice
The combined quantum mechanics/molecular mechanics method is most often used to describe the molecular mechanisms of enzym...
Moscow University Chemistry Bulletin
comment
0
thumb_up
0
Modern Methods of Aptamer Chemical Modification and Principles of Aptamer Library Selection
Aptamers are promising for a wide application range in biomedicine and various diagnostic systems due to their unique prop...
Moscow University Chemistry Bulletin
comment
0
thumb_up
0
Post-Translational Modifications of the Sulfhydryl Group of the Cysteine Residue of Glyceraldehyde-3-phosphate Dehydrogenase
The main types of oxidative post-translational modifications of the glycolytic enzyme glyceraldehyde-3-phosphate dehydroge...
Moscow University Chemistry Bulletin
comment
0
thumb_up
0
Hydrodechlorination of Diclofenac in an Aqueous Solution over Pd/ZrO2 and Pd/ZrO2SiO2 Catalysts
Pd/ZrO2 and Pd/ZrO2SiO2 catalysts prepared by wet impregnation and reduced with H2 under mild (30°C, aqueous suspensi...
Moscow University Chemistry Bulletin
comment
0
thumb_up
0
Antibacterial Activity of Amphiphiles Based on Indolyl-3-Carboxylic Acids and L-Lysine with an Ethylenediamine Linker
Recently, due to the growth in bacterial infections resistant to antibiotics, there is an urgent need for developing alter...
Moscow University Chemistry Bulletin
comment
0
thumb_up
0
Regulation of Enzyme-Dependent Lysis of Microbial Cells: Is the Effector Target an Enzyme or Substrate?
In this study, an attempt is made to analyze the published data regarding the effectors of bacterial lysis in the presence...
Moscow University Chemistry Bulletin
comment
0
thumb_up
0
Load More
Modal title
×
Modal title
×
Share
Login
Global News and Health Forum
Join Now!
Member Login
Remember me
Forgot password?
Or using
Linkedin